Improvement of technologies for recycling waste petroleum
- Авторлар: Kulagina T.A.1, Dubrovskaya O.G.1, Zaytseva E.N.1, Krylyshkin R.N.1
-
Мекемелер:
- Siberian Federal University
- Шығарылым: Том 335, № 6 (2024)
- Беттер: 46-54
- Бөлім: Articles
- URL: https://bakhtiniada.ru/2500-1019/article/view/263543
- DOI: https://doi.org/10.18799/24131830/2024/6/4607
- ID: 263543
Дәйексөз келтіру
Толық мәтін
Аннотация
Relevance. Currently, the rational and economical use of petroleum products is of particular importance. This applies, among other things, to all known types of oils. Waste oils entering the natural environment are only partially neutralized as a result of natural processes. Most of them are a source of pollution of soils, water bodies and atmospheric air, leading to disruption of the reproduction of birds, fish, mammals, and having a harmful effect on humans. Thus, the widespread problem of collecting and recycling waste petroleum products is a relevant, cost-effective and knowledge-intensive area; since with the correct organization of regeneration, the cost of recovered oils is 40–70% lower than the cost of fresh oils with almost the same quality.
Aim. To improve the technology of recycling spent petroleum products in the conditions of the northern territories in order to achieve eco- and energy efficiency. After the regeneration stage, used oils can be used for their intended purpose – returned to equipment lubrication systems, this is up to 70–80% of the original amount of waste oil generated. The remaining, “unrecovered” amount of 20–30% is burned in the form of a water-fuel mixture at enterprises equipped with liquid fuel boilers. The information available in the literature is insufficient to create an effective system for the disposal of used oils and other petroleum products, especially in the circumpolar territories. A differentiated approach to the problem is required, taking into account the peculiarities of the climate, the remoteness of the Arctic territories from the transport infrastructure, with mandatory compliance with environmental standards.
Methods. Cavitation technology (i. e. cavitation effects) and the LSTM (Long Short-Term Memory) deep learning method for processing hydrocarbon waste using the example of industrial oil W30 and, accordingly, modeling the migration of pollutants from industrial objects in open natural water sources.
Results and conclusions. The results obtained indicate that the integrated use of raw materials is the result of the most complete, economically and environmentally justified application of all advantageous components contained in raw materials, as well as in production waste. Any hydrocarbon waste can be considered as secondary material resources that can be used for economic purposes, partially or completely replacing traditional types of material, raw materials and fuel and energy resources, the main value of which is their constant reproducibility in the production sector.
Негізгі сөздер
Толық мәтін
Введение
Ежегодно в России потребляется порядка 1,85 млн т масел, при этом собирается всего около 500 тыс. Согласно действующему Временному положению об организации сбора и рационального использования отработанных нефтепродуктов величина среднего показателя норматива сбора по отработанным маслам составляет 0,5. То есть от годового количества потребления сбор должен составлять 925 тыс. т отработанного масла. Существующие в стране легальные мощности по утилизации [1] готовы ежегодно перерабатывать около 100 т, а значит, не учтенными остаются порядка 400 т нефтепродуктов.
Отработанные нефтяные масла и смазочные материалы, не вовлеченные в процесс утилизации [2], попадают в незаконный оборот топливных продуктов, которые, являясь преимущественно отходами 3-го класса опасности, сжигаются, загрязняя окружающую среду бесконтрольными выбросами опасных продуктов горения [3].
По данным источника [4] более благополучные ситуации с отработанными нефтепродуктами складываются:
в европейской части страны (Вологодская, Курская, Смоленская, Саратовская области, республика Коми, республика Татарстан и пр.), где осуществляется сбор и накопление масел;
Красноярском и Краснодарском крае, Волгоградской, Иркутской, Томской, Новосибирской и Амурской областях – сбор и утилизация.
В республике Удмуртия, Омской области, Алтайском и Приморском крае ведутся поиск и переговоры с потенциальными партнерами переработчиками.
Количественные показатели сбора отработанных масел от объемов потребляемого исходного смазочного материала по субъектам РФ складываются так (%):
Центральный – 150,8;
Приволжский – 108,8;
Уральский – 102,1;
Сибирский – 70,4;
Северо-западный – 58,5;
Южный – 56,3;
Дальневосточный – 29,1.
Ту же величину сбора, но относительно сфер образования отработанных масел можно представить так (%):
промышленность – 290,6;
физические лица – 68,5;
строительство – 47,8;
автомобильный транспорт – 37,3;
сельское хозяйство – 35,1;
армия – 13,1;
ж/д транспорт – 8,8;
флот – 5,4;
авиация – 4,4;
прочее – 65,3;
Экологически безопасное использование отработанных смазочных материалов предполагает их переработку с получением товарных продуктов самого различного назначения (топлив, масел, пластичных смазок, СОТС, консервационных материалов и др.) [5]. Современное состояние вопроса безопасной утилизации сталкивается с трудностями и в теории, и на практике [6].
Восстановленное топливо не уступает качеству первично изготовленного, в отработанном масле доля содержания ценных углеводородов достаточно высока [7]. Из отработок удаляются механические примеси, продукты окисления, а глубина очистки дает максимальный выход базового масла [8].
Оптимальный метод утилизации должен сочетать в себе следующие характеристики:
высокое качество очистки;
экономичность технологии;
возможность переработки максимального объема отработанного масла;
минимально возможная продолжительность процесса;
максимальная автоматизация производственных операций;
безопасность для человека и окружающей среды;
получение вторичного сырья, востребованного на рынке [9].
Отработанные масла после этапа регенерации могут использоваться по прямому назначению – возвращаться в системы смазки оборудования, это до 75–80 % от исходного количества образующегося отработанного масла, оставшееся, «невосстановленное», в количестве 20–25 % – сжигаться в виде водотопливной смеси на предприятиях, оборудованных котлами на жидком топливе. Действующие требования Росприроднадзора по прекращению бесцельного сжигания отработанных масел ставят задачу получения из отработанных индустриальных масел двух видов товарного продукта: исходного масла и топлива.
Специфические свойства водотопливной смеси определяются свойствами составляющих системы жидкость–жидкость [10]. Углеводородсодержащие отходы [11] характеризуются повышенной вязкостью, наличием крупных и абразивных частиц дисперсной фазы, склонной к образованию осадков [12], и рядом других отклонений от стандартных топлив, препятствующих использованию этих топлив вместо топливного мазута без специальной обработки [13].
Кавитационная обработка [14], способствующая активации жидких сред [15], изменяющая свойства и интенсифицирующая химико-технологические процессы, может применяться как непосредственно к отработанным индустриальным маслам с целью улучшения их физико-химических характеристик [16] и к водотопливным смесям для создания устойчивых эмульсий [17], так и к воде, изменяя ее физико-химическое состояние.
Целью работы было оценить влияние кавитационного воздействия на свойства отработанных индустриальных масел и их возможный возврат в хозяйственную деятельность предприятий, а также воды и её структурных изменений до и после заморозки для эффективного использования при создании водотопливных эмульсий для сжигания в малых котельных районов Крайнего севера.
Материалы и методы
В эксперименте исследовалась активированная вода до и после замораживания, а также три пробы индустриального масла W30:
исходное матричное масло – проба № 1;
отработанное масло – проба № 2;
отработанное масло после кавитационного воздействия – пробы № 3а и 3б.
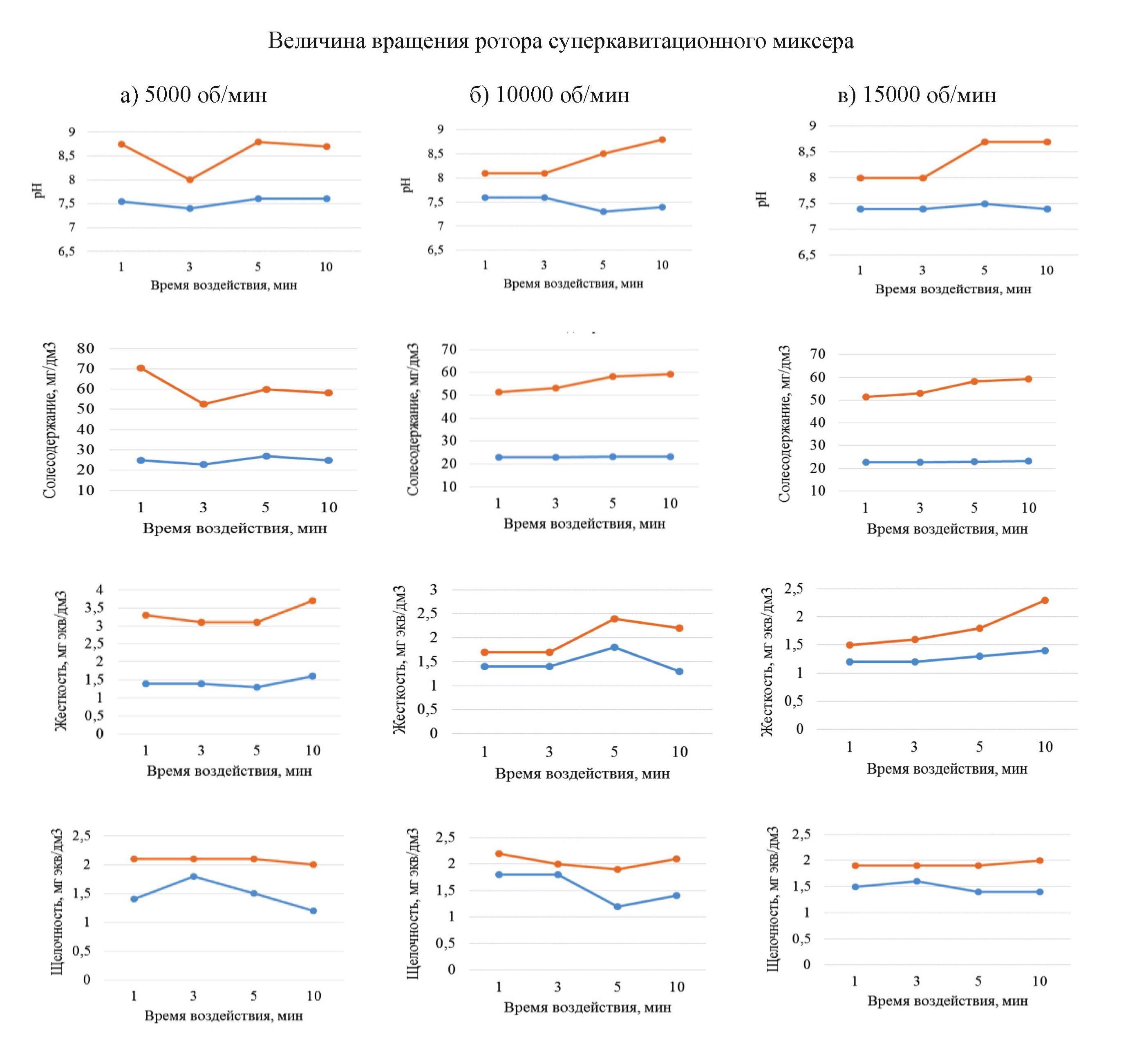
Двенадцать проб воды, каждая по 500 мл, подверглись кавитационной обработке: время обработки 1, 3, 5 и 10 мин, скорость вращения кавитатора в каждом случае составляло 5, 10 и 15 тыс. оборотов в мин. Следом за каждым воздействием проба анализировалась по величине водородного показателя рН, удельной электропроводности (УЭП), температуре. После поочередной разморозки у исследуемых образцов измерялись следующие параметры:
для воды – водородный показатель рН, УЭП, солесодержание, жесткость, щелочность и температура;
для отработанного масла – водородный показатель, вязкость и коэффициент фильтрации.
Исследования проводились с использованием следующего оборудования: термометр лабораторный ТЛ-4, рН-метр/ионометр ИТАН, кондуктометр МАРК 603, вискозиметр ВПЖТ-1, фильтрационный аппарат УОФТ, морозильная камера Бирюса. Для определения жесткости воды использовались МУ 08-47/234, щелочности МУ 08-47/232. Кавитационная обработка выполнялась на установках двух типов: ультразвуковом генераторе и суперкавитационном миксере марка Silverston 5L.
Работа с отработанным маслом проводилась в два этапа:
1) для исходного и отработанного масла были определены параметры вязкости, значение рН и коэффициенты фильтрации;
2) отработанное масло, представленное пробой № 2, подвергли кавитационной обработке двумя способами: ультразвуковой, мощностью 400 Гц, и в суперкавитационном миксере при числе оборотов ротора 7600 об/мин, с последующим определением заявленных ранее физико-химических характеристик. Время обработки составило, соответственно: 5, 7, 10 и 15 мин.
Результаты исследования и их обсуждение
Значения показателей и анализируемых данных по активированной воде представлены в табл. 1. Графическую зависимость полученных числовых значений параметров активированной воды после заморозки можно увидеть на рис. 1.
Таблица 1. Результаты измерений
Table 1. Measurement results
№ пробы Sample no. | Обороты, тыс./мин Turnovers, ths/min | Время, мин. Time, min. | рН | УЭП (МАРК 603) UEP (MARK 603) | t, °С | № пробы Sample no. | Обороты, тыс./мин Turnovers, ths/min | Время, мин. Time, min. | рН | УЭП (МАРК 603) UEP (MARK 603) | t, °С |
1 | 15 | 1 | 8,7 | 114 | 30,5 | 7 | 15 | 5 | 9,4 | 116 | 27,5 |
2 | 10 | 1 | 8,1 | 121 | 24 | 8 | 10 | 5 | 9,4 | 125 | 25 |
3 | 5 | 1 | 8,2 | 131 | 22,5 | 9 | 5 | 5 | 8,7 | 128 | 24 |
4 | 15 | 3 | 9,1 | 134 | 29 | 10 | 15 | 10 | 10 | 152 | 28 |
5 | 10 | 3 | 9,3 | 130 | 24,5 | 11 | 10 | 10 | 10,2 | 129 | 25 |
6 | 5 | 3 | 9,3 | 111 | 23 | 12 | 5 | 10 | 9,3 | 133 | 24 |
солесодержание – менее 1 гр/дм3 щелочность – не менее 0,5 мг-экв/дм3 жесткость – 0–4 мг-экв/дм3 | salt content – less than 1 g/dm3 alkalinity – not less than 0.5 mg-eq/dm3 hardness – 0–4 mg-eq/dm3 | ||||||||||
Рис. 1. Зависимости физико-химических параметров воды от времени кавитационной обработки: – кавитированная вода после разморозки; – кавитированная вода до заморозки
Fig. 1. Dependences of physical and chemical parameters of water on cavitation treatment time: cavitated water after defrost; cavitated water before freezing
При работе любые виды смазочных материалов соприкасаются с металлами, подвергаются воздействию температуры, давления, кислорода воздуха, минеральных примесей и других факторов, под влиянием которых с течением времени происходит изменение свойств масла, называемое старением (табл. 2) [13].
Таблица 2. Характеристика масел марки W30
Table 2. Characteristics of W30 oils
Образец (цветность) Sample (color) | Вязкость, ν (40 °С), мм2/с Viscosity, ν (40°C), mm2/s | Кислотное число, КОН/г Acid number, KOH/g | Температура застывания, °С Solidification temperature, °С | Плотность при 20 °С, кг/м3 Density at 20°C, kg/m3 | Элементарный состав, мас. % Elemental composition, wt % | ||||
С | Н | N | S | О | |||||
А | 1 | 2 | 3 | 4 | 5 | 6 | 7 | 8 | 9 |
Матричное масло (светло-желтое) Matrix oil (light yellow) | 3,0250 | 9 | -15,2 | 865 | 85,9 | 15,7 | 0,10 | 0,20 | 0,10 |
Отработанное масло (темно-коричневое) Used oil (dark brown) | 3,2667 | 12 | -11,9 | 905 | 87,4 | 11,2 | 0,31 | 0,41 | 2,65 |
Кавитационная обработка отработанных индустриальных масел способствовала изменению их физико-химических свойств: вязкости, величины водородного показателя, минерального состава, что подтверждается следующими результатами.
Показатели вязкости заявленных образцов (табл. 3) исходного и отработанного масел были определены по формуле (1) по ГОСТ 33-2016:
(1)
где С – постоянная вискозиметра, мм2/с2; tср – среднеарифметическое значение времени обработки, с.
Таблица 3. Значения вязкости тестируемых образцов
Table 3. Viscosity values of the tested samples
Номер пробы Sample no. | Время обработки, с Processing time, s | Среднеарифметическая величина обработки, с Arithmetic mean value of processing, s | Постоянная вискозиметра, мм2/с2 Viscometer constant, mm2/s2 | Кинематическая вязкость, ν мм2/с при t=23,8 °С Kinematic viscosity, ν mm2/s at t=23,8 °C | Класс вязкости по ISO 3448 Viscosity class to ISO 3448 |
№ 1 | 31,33 | 31,17 | 0,09705 | 3,0250 | 3 (νср=2,88–3,52 мм2/с) (νcr=2.88–3.52 mm2/s) |
31,30 | |||||
30,87 | |||||
№ 2 | 33,79 | 33,66 | 3,2667 | ||
33,34 | |||||
33,86 |
Величина водородного показателя этих же образцов составила:
проба № 1 рН=8,85;
проба № 2 рН=9,71.
Коэффициент фильтрации масла находится по формуле (2) по ГОСТ 19006-73:
(2)
где t1 – время фильтрации первых двух см3 масла; t2 – время фильтрации последних двух см3 масла.
Начальные два см3 масла в первой пробе фильтровались в течение 15,19 с, последние – в течение 62,56 с, т. е. коэффициент фильтрации по формуле (2) равен 4,12. Для второй пробы:
Увеличение коэффициентов фильтрации в отработанном масле более чем в 7 раз свидетельствует о присутствии тяжелых загрязнителей, таких как смолистые вещества, механические примеси и пр.
Далее, отработанное масло пробы № 2 подвергли кавитационной обработке на двух типах установок: ультразвуковой и гидродинамической. Для дальнейшего исследования получили серии проб с результатами в зависимости от типа установки (табл. 4).
Таблица 4. Полученные результаты тестируемых образцов
Table 4. Obtained results of tested samples
Тип кавитационного воздействия Type of cavitation impact | Ультразвуковой Ultrasonic | Суперкавитационный Supercavitation
| ||||||||||||||||||||||
Время, мин Time, min | 5 | 7 | 10 | 15 | 5 | 7 | 10 | 15 | ||||||||||||||||
Время истечения, с Expiration time, s | 43,73 | 44,04 | 44,18 | 48,54 | 47,84 | 48,10 | 48,59 | 48,94 | 49,09 | 49,07 | 48,66 | 48,92 | 46,09 | 47,37 | 47,61 | 48,61 | 47,01 | 48,27 | 49,51 | 47,93 | 49,45 | 49,66 | 48,07 | 49,79 |
tср, с (s) | 43,98 | 48,16 | 48,87 | 48,88 | 47,02 | 47,96 | 48,96 | 49,17 | ||||||||||||||||
С, мм2/с2 mm2/s2 | 0,09705 | |||||||||||||||||||||||
ν, мм2/с (при t=23,8 °С) ν, mm2/s (at t=23,8 оС) | 4,2683 | 4,6730 | 4,7428 | 4,7438 | 4,5633 | 4,6545 | 4,7515 | 4,7719 | ||||||||||||||||
рН | 8,20 | 7,92 | 7,80 | 7,63 | 8,21 | 8,06 | 7,70 | 7,47 | ||||||||||||||||
5 класс вязкости по ISO 3448 (νср=4,14–5,06 мм2/с) Viscosity class 5 according to ISO 3448 (νcp=4.14–5.06 mm2/s) | ||||||||||||||||||||||||
Результаты исследования говорят о том, что процесс кавитации позволяет поднять класс вязкости отработанного масла с 3 до 5 (рис. 2), то есть оно становится гуще, плотнее, а следовательно, увеличиваются максимальные нагрузки, при которых масла сохраняют свои свойства. Графическое сравнение полученных результатов можно увидеть на рис. 2, 3.
Рис. 2. Сравнение показателей вязкости масла – исходного, отработанного и после кавитационного воздействия
Fig. 2. Comparison of oil viscosity indicators – original, used and after cavitation exposure
Рис. 3. Результаты определения величины водородного показателя рН
Fig. 3. Results of determining the pH value
Кроме того, величина водородного показателя проб, подвергшихся кавитации, находится в диапазоне 6–8 (рис. 3), что является оптимальным даже для исходных матричных масел. В отличие от проб № 1, 2, где в первом случае масло содержит присадки, а во втором закислен в процессе эксплуатации оборудования.
Полученные данные и наблюдения за фильтрацией проб № 1, 2 (табл. 3) дают понимание о наличии в отработанном масле осадка, содержащего минеральные примеси, свинец, продукты износа деталей оборудования и т. д. У отработанного масла после кавитационной обработки визуально наблюдается эффект выпадения осадка и присутствия запаха серы уже спустя 10 минут от начала воздействия.
Таким образом, получая повышенный класс вязкости по ISO 3448 восстановленного масла, и с учетом наличия осадка в тестируемом образце [18], было найдено оптимальное соотношение получаемого полезного продукта после кавитационной обработки: 70–80 % идет на повторное использование в хозяйственной деятельности, оставшаяся доля в количестве 20–30 % углеводородного осадка может быть отправлена на сжигание, при обязательном условии создания кавитационно обработанной ВТС с содержанием воды до 10–15 % [19].
Заключение
Эффективность утилизации отработанных масел и других нефтепродуктов в условиях Крайнего Севера может быть достигнута с учетом комплексного подхода за счет использования эффектов гидродинамического воздействия.
Полученные результаты дают право утверждать, что размороженная активированная вода сохраняет свои приобретенные физико-химические свойства. Перевод кавитационно обработанной воды в твердое агрегатное состояние делает возможным ее доставку на удаленные расстояния. Ее естественное замерзание в районах с низкими температурами не будет носить фатального характера, и она может использоваться для создания водотопливных эмульсий на предприятиях, работающих на жидком топливе.
Комплексное потребление ресурсов – это результат наиболее полного, экономически и экологически оправданного использования всех полезных компонентов, содержащихся в сырье, а также в отходах производства [20]. Любые углеводородные отходы можно рассматривать в качестве вторичных материальных ресурсов, которые допустимо использовать в хозяйственных целях, частично или полностью замещая традиционные виды материально-сырьевых и топливно-энергетических ресурсов, главной ценностью которых является их постоянная воспроизводимость в производственном секторе.
Авторлар туралы
Tatiana Kulagina
Siberian Federal University
Хат алмасуға жауапты Автор.
Email: tak.sfu@gmail.com
ORCID iD: 0000-0003-2601-9570
Dr. Sc., Professor, Head of the Technosphere and Environmental Safety Department
Ресей, 5, Borisiv street, Krasnoyarsk, 660074Olga Dubrovskaya
Siberian Federal University
Email: dubrovskayaolga@mail.ru
Cand. Sc., Associate Professor
Ресей, 82/1, Svobodniy avenue, Krasnoyarsk, 660041Elena Zaytseva
Siberian Federal University
Email: Lenap1978@mail.ru
Senior Lecturer
Ресей, 5, Borisiv street, Krasnoyarsk, 660074Roman Krylyshkin
Siberian Federal University
Email: roma@z-gorod.ru
Postgraduate Student
Ресей, 5, Borisiv street, Krasnoyarsk, 660074Әдебиет тізімі
- Krapivsky E.I. Oil sludge: destruction, utilization, decontamination: monograph. Moscow, Infra Engineering Publ., 2021. 432 p. (In Russ.)
- Filippova O.P., Kalaeva S.Z., Tskhovrebov E.S., Sergeev E.S. Technological aspects of environmentally safe utilization of used oils. Vestnik of Tver State Technical University. Series: Construction. Electrical engineering and chemical technologies, 2023, vol. 4 (20), pp. 91–96. (In Russ.)
- Chenavaz R.Y., Dimitrov S. From waste to wealth: policies to promote the circular economy. Journal of Cleaner Production, 2024, vol. 443, pp. 1–11.
- Kulagin V.A., Kulagina L.V., Shtym K.A. Prospects of cavitation technologies development: theory and practice. Safety and monitoring of natural and technogenic systems. Novosibirsk, FIC IVT Publ., 2023. pp. 51–55. (In Russ.)
- Krylyshkin R.N., Gurina R.V. Energy efficiency of the thermal utilization of the oil residues. Yenisei thermophysics. Theses of reports of the I All-Russian scientific conference with international participation. Krasnoyarsk, SFU Publ., 2023. pp. 372–373. (In Russ.)
- Shtripling L.O., Tokarev V.V., Gerzhberg Y.M., Kraus Y.A., Logunova Y.V. Processing and utilization of oil sludge and oil-contaminated materials formed in places of extraction, transportation and processing of hydrocarbon raw materials: monograph. Novosibirsk, Siberian Branch of the Russian Academy of Sciences Publ., 2013. 174 p. (In Russ.)
- Kulagina T.A., Gurina R.V. High-temperature coking as an effective processing of oil residues. Science, education, production in solving environmental problems (Ecology-2022). Materials of XVIII International Scientific and Technical Conference. Ufa, FGBOU VO UGATU Publ., 2022. Vol. 2, pp 131–134. (In Russ.)
- Kulagina T.A., Khagleyev P.E., Zaitseva E.N. Handling of industrial and highly hazardous wastes. Krasnoyarsk, SFU Publ., 2021. 512 p. (In Russ.)
- Szaja A., Montusiewicz A., Lebiocka M. Challenges of hydrodynamic cavitation of organic wastes. Applied sciences. Lublin, Poland, 2022. doi: 10.3390/app12157936
- Wang B., Jiao H., Su H., Wang T. Degradation of pefloxacin by hybrid hydrodynamic cavitation with H2O2 and O3. Chemosphere, 2022. doi: 10.1016/j.chemosphere.2022.135299
- Aftanaziv I., Malovanyy M., Shevchuk L., Strogan O., Strutynska L. Economic and environmental benefits of using cavitation treated fuel in vehicles of internal combustion engines. Communications, 2022, vol. 3 (24), рр. 158–169.
- Stebeleva O.P., Kashkina L.V., Minakov A.V., Vshivkova O.A. Impact of hydrodynamic cavitation on the properties of coal-water fuel: an experimental study. ACS Omega, 2022, vol. 7, pp. 37369–37378.
- Lakshmi N.J., Surabhi P., Gogate P.R., Pandit A.B. Treatment of bio-refractory real effluent from polymer processing industry using cavitation-based hybrid treatment techniques. Arabian Journal for Science and Engineering, 2023, vol. 12, pp. 1–20.
- Yusuf A.A., Ampah J.D., Soudagar M.E., Veza I., Kingsley U., Afrane S., Jin C., Liu H. Effects of hybrid nanoparticle additives in n-butanol/waste plastic oil/diesel blends on combustion, particulate and gaseous emissions from diesel engine evaluated with entropy-weighted PROMETHEE II and TOPSIS: environmental and health risks of plastic waste. Energy Conversion and Management, 2022. doi: 10.1016/j.enconman.2022.115758
- Radziuk A.Yu., Istiagina E.B., Kulagina L.V., Zhuikov A.V. Current state of cavitation technology use (brief review). Bulletin of the Tomsk Polytechnic University. Geo Assets Engineering, 2022, vol. 333, no. 9, pp. 209–218. (In Russ.) doi: 10.18799/24131830/2022/9/3623
- Ekaterinchev A.V., Baranova M.P. Significance of physical and chemical processes in energy technologies. 21 century: fundamental science and technology. Proceedings of XXX international scientific-practical conference. Bengaluru, Karnataka, India, 2022. рр. 88–91.
- Yao Y., Sun Y., Wang X., Song Y., Wang Z. Insight into the sludge reduction performances by hydrodynamic cavitation. Journal of Water Process Engineering, 2022, vol. 49, pp. 1–8.
- Gulkov A.N., Sukhova T.N., Osipova E.B. Model study of cavitation in viscous media by the example of oil. Mining information and analytical bulletin (scientific and technical journal), 2013, vol. S3, рр. 46–52. (In Russ.)
- Kulagina T.A. Development of modes of combustion of watered furnace fuel oils and water-fuel emulsions. Cand. Diss. Krasnoyarsk, 2000. 178 p. (In Russ.)
- Gurina R.V. Utilization of accumulated and generated wastes of oil industry. Ecology and Life Safety. Collection of articles of the XVIII International Scientific and Practical Conference. Penza, FGBOU VO Penza GAU Publ., 2018. рр. 127–131. (In Russ.)
Қосымша файлдар





