Integral phytotoxicity of oil-contaminated chernozem after remediation with biochar and bacterial preparation
- Authors: Minnikova T.V.1, Kolesnikov S.I.1, Minin N.S.1
-
Affiliations:
- Southern Federal University
- Issue: Vol 335, No 5 (2024)
- Pages: 95-106
- Section: Articles
- URL: https://bakhtiniada.ru/2500-1019/article/view/263257
- DOI: https://doi.org/10.18799/24131830/2024/5/4337
- ID: 263257
Cite item
Full Text
Abstract
Relevance. Soil pollution with oil has a significant impact on soil fertility and productivity when growing crops. During soil remediation, insufficient attention is paid to soil phytotoxicity assessment in terms of the intensity of the initial growth and development of plants. The results of the study of ordinary chernozem phytotoxicity evaluation on the example of winter barley (Hordeum vulgare L.) after remediation with biochar and a bacterial preparation, containing strains of Bacillus & Paenibacillus, are presented.
Aim. To evaluate ordinary chernozem integral phytotoxicity after remediation with biochar and a bacterial preparation, containing strains of Bacillus and Paenibacillus.
Objects. Ordinary heavy loamy chernozem, under model conditions, which 5% of the soil mass are oil-contaminated. For soil remediation from oil pollution, biochar and a bacterial preparation with Bacillus & Paenibacillus strains were applied in various combinations: independent application of ameliorants, joint application, inoculation of bacterial preparation with Bacillus & Paenibacillus on biochar. The period of soil incubation with biochar and bacterial preparation with Bacillus & Paenibacillus is 30 days.
Methods. The residual oil content was determined by the method of extraction with carbon tetrachloride with detection on an infrared analyzer. Soil phytotoxicity after remediation was assessed by indicators of the intensity of initial growth and development of winter barley (Hordeum vulgare L.): germination, germination rate, germination energy, germination friendliness, shoot length, root length, shoot phytomass, root phytomass. As a result of determining these indicators, a complex integral indicator of soil phytotoxicity (IIPht) was calculated.
Results. The combined use of biochar with of bacterial preparation with Bacillus & Paenibacillus in oil-contaminated soil leads to the most effective reduction in oil content than when self-introduced and inoculated with of bacterial preparation with Bacillus & Paenibacillus on biochar at the recommended and 100-fold dose, the efficiency is 33 and 58%, respectively. Based on the analysis of phytotoxicity, the highest sensitivity of indicators of barley initial growth intensity was established: germination, friendliness and germination rate. With the independent application of biochar and of bacterial preparation with Bacillus & Paenibacillus, the most informative indicators are shoot phytomass, germination and germination rate; with the combined application of biochar and of bacterial preparation with Bacillus & Paenibacillus, germination energy, shoot length and shoot phytomass; with inoculation of of bacterial preparation with Bacillus & Paenibacillus on a biochar, root length, phytomass of shoots and roots. The study of the phytotoxicity of oil-contaminated Haplic Chernozem after remediation made it possible to establish the ecological efficiency and expediency of using only biochar and biochar inoculated with of bacterial preparation with Bacillus & Paenibacillus.
Full Text
Введение
Нефтяные розливы оказывают непосредственное воздействие на физико-химические (окислительно-восстановительный потенциал, гидрофобность, проницаемость и пористость почвы) и агрохимические (содержание органического вещества, соотношение C:N, C:P, содержание легкорастворимых солей, pH и др.) показатели почвы [1–7]. В нефти содержатся соединения тяжелых металлов (никель и ванадий) и другие неорганические соединения, повышающие содержание легкорастворимых солей в почве [8–10]. Содержание в нефти высокой концентрации углерода и соединений азота изменяет соотношение C:N в почве, что влияет на состояние почвенной биоты. Загрязнение почв нефтью оказывает воздействие на дикорастущие и сельскохозяйственные растения [11]. В нефтезагрязненных почвах снижается доступность для растений элементов минерального питания: азота, фосфора и калия. С учетом изменения пористости и аэрации почв, структуры и температуры почвы, а также нарушения жизнедеятельности биоты рост и развитие сельскохозяйственных растений ухудшается [12, 13].
Загрязнение почв нефтью снижает оптимальный рост сельскохозяйственных культур, влияя на показатели интенсивности начального роста и развития семян, а также на продуктивность растений и устойчивость к различным возбудителям и болезням [14–17]. Как последствие нефтяного загрязнения почвы происходит нарушение соотношения между углеродом, азотом и фосфором, что влияет на усвоение микроэлементов и в итоге на жизнедеятельность растений [18–20].
При биоремедиации нефтезагрязненных почв самым чувствительным показателем состояния почвы после внесения ремедиантов является фитотоксичность почв [21, 22]. К растениям, наиболее чувствительным к нефтяному загрязнению, относят редис (Raphanus sativus L.), салат (Lactuca sativum L.), кукурузу (Zea mays L.), горчицу (Sinapis Cibum L.), лук (Allium cepa L.) [23], ячмень (Hordeum vulgare L.) и клевер (Trifolium praténse L.) [24–27]. Поэтому одним из направлений очистки почв от нефти и нефтепродуктов является посадка различных сельскохозяйственных культур или их сочетания с микробными препаратами [28, 29]. Также для ремедиации нефтезагрязненных почв эффективно внесение таких углеродистых сорбентов, как биочар [30–32]. Биочар оказывает стимулирующее воздействие на ферменты азотного цикла (уреаза, протеаза и др.) и бактерии-аммонификаторы [33]. Внесение биочара с Enterobacter sp. MN17 увеличило содержание хлорофилла а и b, скорости транспирации, устьичной и подустьичной проводимости и скорости фотосинтеза маша (Vigna radiata L.) сорта AZRI-2006, выращенного на почве, загрязненной дизельным топливом [34].
Цель – оценить интегральную фитотоксичность нефтезагрязненного чернозема после ремедиации биочаром и бактериальным препаратом, содержащим штаммы Bacillus и Paenibacillus. Для реализации цели были поставлены следующие задачи: 1) проанализировать остаточное содержание нефти чернозема по истечении 30 суток эксперимента; 2) измерить показатели интенсивности начального роста и развития семян ячменя, выращенного на нефтезагрязненном черноземе; 3) сравнить интегральную фитотоксичность нефтезагрязненного чернозема после ремедиации при самостоятельном, совместном и инокулированном внесении биочара; 4) оценить информативность и чувствительность биологических показателей после ремедиации.
Материалы и методы
Для оценки фитотоксичности почв при загрязнении нефтью после внесения биочара и бактериального препарата, содержащего штаммы Bacillus и Paenibacillus в виде раствора, анализировали самую плодородную почву в мире – чернозем обыкновенный, или Haplic Chernozem Loamic [35]. Для закладки модельного эксперимента почву отбирали с верхнего слоя (Апах) пашни Ботанического сада Южного федерального университета (47°14'17.54″N; 39°38'33.22″E). Почва обладает следующими физико-химическими свойствами: рНакт.=8,2, плотность почвы – 1,29 г/см3, порозность – 51 %, содержание органического вещества – 4,0 %, ЕКО – 38,0 мг×экв/100 г почвы, тяжелосуглинистый гранулометрический состав: содержание песка – 29,8 %, ила – 17,7 %, глины – 52,5 %.
Для эксперимента использовали нефть, предоставленную Новошахтинским нефтеперерабатывающим заводом. В почву вносили нефть в концентрации 5 % от массы почвы. Именно такой уровень загрязнения почв нефтью характеризует среднюю степень загрязнения почв [36].
Для очистки нефтезагрязненной почвы от нефти и восстановления ее экологического состояния, пригодного для выращивания сельскохозяйственных культур, в нефтезагрязненную почву вносили биочар и бактериальный препарат, содержащий штаммы Bacillus и Paenibacillus в виде раствора. Бактериальный препарат с биофунгицидным действием в отношении грибов рода Fusarium на основе консорциума штаммов аэробных спорообразующих бактерий B. amyloliquefaciens V3.14 и R4.6, P. polymyxa R5.31, а также P. peoriae O1.27, O2.11, R3.13, R4.5 и R6.14, и P. jamilae K1.14, R4.24 был разработан в лаборатории новых биопрепаратов Академии биологии и биотехнологии Южного федерального университета. Биопрепарат основан на технологии жидкофазной ферментации культурами бактерий жидкой питательной среды на основе 2,5 % свекловичной мелассы от объёма и комплекса солей (Азофоска) в концентрации 1,95 г/л, что соответствует 1:25 по соотношению N (азот):C (углерод) [37]. Концентрация жизнеспособных спор бактерий в получаемом биопрепарате не менее 1∙109 КОЕ/мл. В данном исследовании бактериальный препарат (БП) вносили в рекомендуемой концентрации 20 мл/га, или 7500 КОЕ/кг почвы. Такая доза применяется на сельскохозяйственных полях для подавления грибов р. Fusarium при обработке растений по листу. В связи с этим дополнительно была исследована в 100 раз большая концентрация препарата (БП×100). Исследовали самостоятельное и совместное внесение биочара и БП, а также инокуляцию БП на биочаре.
В рамках модельного эксперимента почву в вегетационных сосудах увлажняли и загрязняли нефтью в концентрации 5 % от массы почвы. В загрязненную почву вносили биочар (1 % от массы почвы), бактериальный препарат, содержащий штаммы Bacillus и Paenibacillus (в рекомендуемой и в 100 раз увеличенной дозе). Экспозицию вегетационных сосудов проводили в течение 30 суток при поддержании постоянной влажности почвы и температуры воздуха в климатической камере Binder KBW. Через 30 суток от начала эксперимента в образцах почвы определяли остаточное содержание нефти и фитотоксические показатели почвы. При оценке остаточного содержания нефти проводили сравнение с нефтезагрязненной почвой без ремедиантов (нефтезагрязненный фон).
Для оценки фитотоксичности почвы в полученных вариантах почвы выращивали озимый ячмень (Hordeum vulgare L.). Длительность выращивания ячменя составляла 7 дней. В течение этого периода фиксировали показатели интенсивности начального роста семян ячменя: всхожесть, скорость, энергию и дружность прорастания [38]. Через 7 суток каждое растение измеряли по показателям: длина побега и корня, фитомасса побега и корня. Анализ данных проводили по сравнению с контролем с нефтезагрязненной почвой без ремедиантов (нефтезагрязненный фон).
Дружность прорастания семян ячменя определяли по формуле (1):
(1)
где B – полная всхожесть; n – число дней прорастания семян.
Энергию прорастания семян ячменя определяли по формуле (2):
(2)
где В3 – число семян, проросших на третьи сутки: С (%) – процент от общего количества семян, взятых для проращивания.
Скорость прорастания семян ячменя определяли как сумму средних семян, прорастающих ежедневно (формула (3)).
(3)
где А – число семян, проросших за первые сутки; Б – число семян, проросших за вторые сутки; В – число семян, проросших за третьи сутки; Г – число семян, проросших за четвертые сутки; Д – число семян, проросших за пятые сутки; Е – число семян, проросших за шестые сутки; Ж – число семян, проросших за седьмые сутки.
Расчет комплексного интегрального показателя фитотоксичности почвы (ИПФт) проводили по всем проанализированным фитотоксическим показателям по формуле (4):
(4)
где Б1…Бn – значение каждого фитотоксического показателя относительно контроля; Бконтр – контрольное значение.
Далее по значениям ИПФт для каждого фитотоксического показателя находят среднее значение ИПФт, которое служит индикатором состояния почвы при самостоятельном, совместном внесении ремедиантов, а также инокуляции БП на биочаре.
Статистическую обработку результатов проводили с использованием программного пакета Statistica 12.0. Статистические данные (средние значения, дисперсия) были определены, а надежность различных образцов была установлена с использованием дисперсионного анализа (Student t-test).
Результаты и обсуждение
Остаточное содержание нефти
Содержание нефти в почве после внесения биочара и БП представлено в табл. 1. Установлено, что без внесения ремедиантов за 30 суток нефть разлагается на 25 %. Аналогичную эффективность разложения нефти наблюдали после самостоятельного внесения БП. При внесении в почву только биочара эффективность разложения нефти составила на 19 % выше, чем в нефтезагрязненной почве без ремедиантов.
Таблица 1. Остаточное содержание нефти через 30 суток после внесения биочара и Bacillus и Paenibacillus, % от исходного содержания нефти (на первые сутки эксперимента) (n=6)
Table 1. Residual oil content in 30 days after introduction of biochar and Bacillus & Paenibacillus, % of the initial oil content (on the 1st day of the experiment) (n=6)
Варианты Variants | Без ремедиантов Without ameliorants | Cамостоятельное внесение ремедиантов Self-applied application of ameliorants | Совместное внесение ремедиантов Joint application of ameliorants | Инокуляция ремедиантов Inoculation of ameliorants |
нефть/oil | 75 | – | – | – |
биочар (Б) biochar (B) | – | 56 | – | – |
Bacillus и Paenibacillus (БП)/(BP) | – | 72 | 16 | 50 |
БП×100 BP×100 | – | 73 | 48 | 31 |
При совместном применении биочара с БП и биочара с БП×100 установлена эффективность разложения нефти на 59 и 27 % выше, чем в нефтезагрязненной почве без ремедиантов. При инокуляции БП и БП×100 на биочаре установлена эффективность 25 и 44 % соответственно.
Таким образом, совместное применение биочара со БП в нефтезагрязненной почве приводит более эффективному снижению содержания нефти, чем при самостоятельном внесении и инокуляции БП на биочаре в рекомендуемой и стократной дозе.
Показатели интенсивности начального роста ячменя
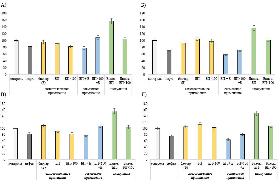
В нефтезагрязненной почве без ремедиантов показатели интенсивности начального роста такие, как всхожесть, энергия, дружность и скорость прорастания, были снижены на 17–28 % относительно контроля (рис. 1). Самостоятельное внесение биочара и БП простимулировало все фитотоксические показатели в среднем на 9–39 % относительно нефтезагрязнения.
Рис. 1. Изменение интенсивности начального роста ячменя на нефтезагрязненном черноземе обыкновенном после внесения биочара и Bacillus и Paenibacillus (n=6), % от контроля: А) всхожесть; Б) энергия прорастания; В) дружность прорастания; Г) скорость прорастания
Fig. 1. Change in barley initial growth intensity on oil contaminated Haplic Chernozem after introduction of biochar and Bacillus & Paenibacillus (n=6), % of the control: A) germination; Б) germination energy; В) friendly germination; Г) growth rate
При внесении биочара и БП установлено максимальное значение энергии и скорости прорастания ячменя. При совместном внесении биочара с БП только при стократной дозе (БП×100) установлена стимуляция всхожести и дружности прорастания на 26 и 27 % от нефтезагрязнения. При инокуляции биочара БП установлено повышение всех показателей интенсивности начального роста на 65–75 % при рекомендуемой дозе БП и на 22–34 % при дозе БП×100 относительно нефтезагрязненного фона соответственно.
Показатели интенсивности роста и развития ячменя
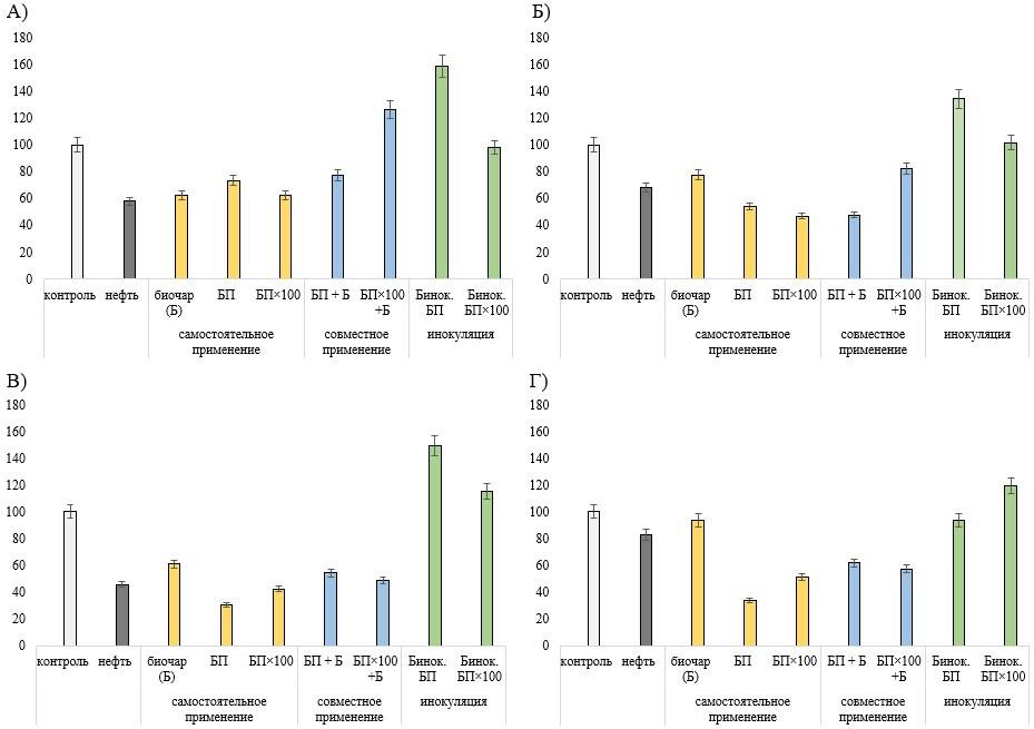
Нефть снижает длину побегов и корней, фитомассу побегов и корней на 17–42 % относительно контроля (рис. 2). При этом длина корней и фитомасса побегов ячменя изменяются в меньшей степени, чем остальные показатели – на 32 и 17 % соответственно. После самостоятельного внесения только биочара установлено повышение длины корней, массы побегов и корней на 9–15 %. Внесение БП во всех дозах не привело к статистически значимому изменению показателей.
Рис. 2. Изменение интенсивности развития семян ячменя на нефтезагрязненном черноземе обыкновенном после внесения биочара и Bacillus и Paenibacillus (n=6), % от контроля: А) длина побегов; Б) длина корней; В) фитомасса побегов; Г) фитомасса корней
Fig. 2. Change in the intensity of development of barley seeds on oil contaminated Haplic Chernozem after introduction of biochar and Bacillus & Paenibacillus (n=6), % of the control: A) length of shoots; Б) length of roots; В) phytomass of shoots; Г) phytomass of roots
Совместное применение биочара и БП вызвало повышение длины побегов и корней (только при биочар+БП×100) на 14–68 % относительно нефтезагрязненного фона. Инокуляция на биочаре БП привела к повышению длины и массы побегов на 40–103 %, длины и массы корней – на 11–66 % относительно нефтезагрязнения.
Интегральный показатель фитотоксичности
Все полученные в данном исследовании фитотоксические показатели использовали для расчета интегрального показателя фитотоксичности (ИПФт) нефтезагрязненного чернозема после ремедиации (рис. 3). В результате расчета ИПФт установлено, что только внесение биочара, инокулированного БП и БП×100, стимулирует показатели на 42 и 7 % соответственно относительно контроля, на 100 и 50 % относительно нефтезагрязненного фона.
Рис. 3. Интегральный показатель фитотоксичности ячменя на нефтезагрязненном черноземе после внесения биочара и Bacillus и Paenibacillus, % от контроля
Fig. 3. Integral indicator of phytotoxicity (IIPht) of barley on oil-contaminated chernozem after introduction of biochar and Bacillus & Paenibacillus, % of control
Внесение биочара самостоятельно стимулирует ИПФт на 23 % относительно нефтезагрязненного фона, но не достигает контрольного значения, а внесение БП и БП×100 не оказывает статистически достоверного воздействия на ИПФт. При совместном применении биочара с БП×100 установлена стимуляция ИПФт на 21 % относительно нефтезагрязненного фона.
Таким образом, самостоятельное внесение биочара стимулирует показатели интенсивности начального роста ячменя, но снижает фитомассу побегов, длину побегов и корней ячменя. Внесение БП стимулирует все показатели интенсивности начального роста. При кратном увеличении дозы БП×100 всхожесть и дружность прорастания снижаются. При совместном применении биочара с БП установлено только повышение показателей интенсивности начального роста, показатели развития семян были снижены относительно нефтезагрязненного фона. Инокуляция БП на биочаре вызывала стимуляцию как показателей интенсивности начального роста, так и показателей развития семян ячменя. На основании анализа фитотоксичности установлена наибольшая чувствительность показателей развития семян ячменя: длина корней, фитомасса корней и побегов.
Были рассчитаны коэффициенты корреляции между остаточным содержанием нефти и откликом показателей интенсивности начального роста и развития семян ячменя (табл. 2). Установлена тесная отрицательная корреляция при самостоятельном внесении биочара и БП между остаточным содержанием нефти и всхожестью (r= –0,84), дружностью прорастания (r= –0,97), длиной корней (r= –0,68) и фитомассой корней (r= –0,56) ячменя. При этом корреляция с ИПФт составила r= –0,99. При совместном применении биочара с БП наблюдали тесную корреляцию только с фитомассой побегов ячменя(r= –1,00). Корреляция остаточного содержания нефти с ИПФт составила r=0,33. При инокуляции БП на биочаре установлена тесная отрицательная корреляция с энергий прорастания (r= –0,53), скоростью (r= –0,52), длиной побегов (r= –0,47), длиной корней (r= –0,57), фитомассой побегов (r= –0,72), фитомассой корней (r= –0,95). Корреляция остаточного содержания нефти с ИПФт составила r= –0,57.
Таблица 2. Коэффициенты корреляции (r) между остаточным содержанием нефти и откликом фитотоксических показателей при самостоятельном, совместном применении биочара с Bacillus и Paenibacillus, инокуляции Bacillus и Paenibacillus на биочаре (n=6)
Table 2. Correlation coefficients (r) between the residual oil content and the response of phytotoxic parameters in the case of independent, combined application of biochar with Bacillus & Paenibacillus, and inoculation of Bacillus & Paenibacillus on biochar (n=6)
Всхожесть Germination | Энергия прорастания Germination energy | Дружность прорастания Germination friendliness | Скорость прорастания Germination rate | Длина побегов Length of shoots | Длина корней Length of roots | Фитомасса побегов Phytomass of shoots | Фитомасса корней Phytomass of roots | ИПФт IIPht |
Cамостоятельное внесение ремедиантов/Self-applied application of ameliorants | ||||||||
–0,84** | –0,21 | –0,97** | –0,41 | 0,03 | –0,68** | –0,78* | –0,56* | –0,99** |
Совместное внесение ремедиантов/Joint application of ameliorants | ||||||||
0,19 | 0,89 | 0,19 | 0,67 | –0,22 | 0,64 | –1,00** | 0,74 | 0,33 |
Инокуляция ремедиантов/Inoculation of ameliorants | ||||||||
–0,36 | –0,53** | –0,36 | –0,52** | –0,47* | –0,57** | –0,72** | –0,95** | –0,57** |
Примечание: статистическая значимость разницы от контроля: * – р<0,05, ** – p<0,01.
Note: statistical significance of control difference: * – р<0.05, ** – p<0.01.
Самыми информативными показателями при самостоятельном внесении биочара и БП являются фитомасса побегов, всхожесть и дружность прорастания; при совместном внесении биочара и БП – энергия прорастания, длина побега и фитомасса побегов; при инокуляции БП на биочаре – длина корней, фитомасса побегов и корней.
По результатам анализа табл. 2 установлены ряды информативности фитотоксических показателей (от наименее информативного к наиболее информативному):
- при самостоятельном внесении биочара и БП:
длина побега<энергия прорастания<скорость прорастания<фитомасса корней<длина корней<фитомасса побегов<всхожесть<дружность прорастания
- при совместном внесении биочара и БП:
всхожесть=дружность прорастания<длина корней<скорость прорастания<фитомасса корней<энергия прорастания<длина побега<фитомасса побегов
- при инокуляции БП на биочаре:
всхожесть=дружность прорастания<длина побега<скорость прорастания<энергия прорастания<длина корней<фитомасса побегов<фитомасса корней.
Таким образом, при ремедиации нефтезагрязненной почвы биочаром и БП при самостоятельном внесении наиболее информативны фитомасса побегов, всхожесть и дружность прорастания, при совместном внесении – энергия прорастания, длина побега и фитомасса побегов, при инокуляции – длина корней, фитомасса побегов и корней.
При снижении содержания нефти в почве в результате ремедиации ферментативная активность может снижаться, что обусловлено накоплением органами растений нефти и ее метаболитов [39]. При моделировании загрязнения чернозема обыкновенного бензо[а]пиреном было установлено, что активность оксидоредуктаз (каталазы и дегидрогеназы) чернозема была ингибирована с ростом концентрации бензо[а]пирена в почве. Кроме того, тенденции выраженной фитотоксичности почв были установлены по энергии прорастания, длине побегов, фитомассе ячменя и длине колоса. Количественные уровни поглощения бензо[а]пирена корнями ярового ячменя превышали уровни поглощения в вегетативной части более чем в 2,5 раза во всех загрязненных вариантах [40]. Ранее в работе [41] было установлено, что максимальное накопление бензапирена в результате многолетних выбросов Новочеркасской ГРЭС обнаружено в типчаке обыкновенном (Festuca valesiaca L.) и составило 36,4 нг/г, а в озимой пшенице (Triticum aestivum L.) содержание бензо[а]пирена установлено в 5 раз меньше (7,1 нг/г) по сравнению с типчаком обыкновенным. Л. Панченко с соавторами [28] при технической фиторемедиации сообщают, что, включая обработку почвы, посадку и полив люцерны посевной (Medicago sativa L.), плевела многолетнего (Lolium perenne L.), годовая степень очистки почвы от нефтяных углеводородов достигает 72–90 %. Эффективность биочара, как ремедианта, была оценена ранее по остаточному содержанию нефти и стимуляции ферментативной активности трех типов почв [31]. Установлено, что ферментативная активность в бурой лесной почве (Haplic Cambisols) после применения биочара восстанавливается быстрее, чем в черноземе обыкновенном (Haplic Chernozem) или серопесках (Haplic Arenosols). Ремедиационный потенциал биочара для восстановления нефтезагрязненной почвы зависит от его физических и химических свойств, на которые значительное влияние оказывают качество сырья и условия проведения пиролиза [42]. Биочар, инокулированный различными штаммами грамположительных бактерий, актиномицетов и арбускулярных микоризных грибов, способствовал восстановлению микробного сообщества почвы после загрязнения сырой нефтью [43].
Заключение
Установлено, что наибольшей чувствительностью среди показателей развития семян ячменя обладают длина корней, фитомасса корней и побегов. При самостоятельном внесении биочара и бактериальным препаратом наиболее информативны фитомасса побегов, всхожесть и дружность прорастания, при совместном внесении – энергия прорастания, длина побега и фитомасса побегов, при инокуляции – длина корней, фитомасса побегов и корней. Исследование и оценка фитотоксичности нефтезагрязненного чернозема после ремедиации позволили установить экологическую эффективность и целесообразность применения самостоятельно биочара и биочара, инокулированного штаммами Bacillus и Paenibacillus. Результаты исследования можно использовать при оценке экологического состояния и здоровья нефтезагрязненных почв после ремедиации биочаром и бактериальным препаратом со штаммами Bacillus и Paenibacillus.
About the authors
Tatiana V. Minnikova
Southern Federal University
Author for correspondence.
Email: loko261008@yandex.ru
ORCID iD: 0000-0002-9453-7137
Cand. Sc., Leading Researcher
Russian Federation, Rostov-on-DonSergey I. Kolesnikov
Southern Federal University
Email: kolesnikov@sfedu.ru
ORCID iD: 0000-0003-2124-6328
Dr. Sc., Professor
Russian Federation, Rostov-on-DonNikita S. Minin
Southern Federal University
Email: minin@sfedu.ru
ORCID iD: 0000-0003-1187-4291
Postgraduate Student
Russian Federation, Rostov-on-DonReferences
- Gennadiev A.N., Pikovskii Y.I., Tsibart A.S., Smirnova M.A. Hydrocarbons in soils: origin, composition, and behavior (review). Eurasian Soil Science, 2015, vol. 48, no. 10, pp. 1076–1089. (In Russ.)
- Gennadiev A.N., Pikovskiy Yu.I., Smirnova M.A. Hydrocarbon status of soils in landscapes: genesis and typification. Vestnik Moskovskogo universiteta. Seriya 5, Geografiya, 2018, no. (6), pp. 3–9. (In Russ.)
- Trofimov S.Ya., Ammosova Ya.M., Orlov D.S., Sukhanova N.I., Osipova N.N. Influence of oil on the soil cover and the problem of creating a regulatory framework for the impact of oil pollution on soils. Bulletin of the Moscow University. Series 17. Soil science, 2000, no. 2, pp. 30–34. (In Russ.)
- Sangadzhieva L.Kh., Davaeva Ts.D., Buluktaev A.A. Influence of oil pollution on the phytotoxicity of light chestnut soils of Kalmykia. Bulletin of the Kalmyk University, 2013, no. 1 (17), pp. 44–47. (In Russ.)
- Sangadzhiev M.M., Nastinova G.E., Sangadzhieva L.Kh., Bochkaev S.L. Modern issues of technological safety in the oil and gas industry of Kalmykia. Geology, geography and global energy, 2022, no. 3 (86), pp. 28–36. (In Russ.) doi: 10.54398/20776322_2022_3_28
- Tsombueva B.V. Technogenic pollution of soils in the zone of influence of the oil-producing complex of the Republic of Kalmykia. Modern problems of science and education, 2013, no. 6, pp. 1038 (In Russ.). Available at: https://www.elibrary.ru/download/elibrary_21163475_35372598.pdf (accessed 15 July 2023).
- Tsombueva B.V., Goryashkieva Z.V., Shcherbakova L.F. The method of cleaning the soil from oil pollution using natural sorbents. Bulletin of the Volgograd State University. Series 11: Natural Sciences, 2017, vol. 7, no. 2, pp. 19–25. (In Russ.)
- Visaliev M.Ya., Shpirt M.Ya., Kadiev Kh.M., Dvorkin V.I., Magomadov E.E., Khadzhiev S.N. Complex processing of heavy high-viscosity oils and oil residues with the extraction of vanadium, nickel and molybdenum. Chemistry of Solid Fuels, 2012, no. 2, pp. 32. (In Russ.) Available at: https://www.elibrary.ru/download/elibrary_17679648_23045937.pdf (accessed 15 July 2023).
- Mustafina E.A., Poletaeva O.Yu., Movsumzade E.M. Heavy metal-bearing oils and their demetallization. NefteGazoKhimiya, 2014, no. 4, pp. 15–18. (In Russ.)
- Saadat S., Mirkhani R., Mohebi A., Pozesh S., Morteza M., Gholam R., Chakerolhosseini B.R., Mosaviefazl M.H., Bagjeri Y.R., Tabbakhiyan S., Mabodi N., Saghafi K., Rezaei H., Khodaverdiloo H. Study on phytoremediation of soils polluted with heavy metals and oil pollutants in agricultural lands affected by Persian Gulf War. Karaj, Iran, Soil and Water Research Institute, 2014. 130 p.
- Silva Correa H., Blum C.T., Galvão F., Maranho L.T. Effects of oil contamination on plant growth and development: a review. Environ Sci Pollut Res Int, 2022, no. 29 (29), pp. 43501–43515. Available at: https://doi.org/10.1007/s11356-022-19939-9 (accessed 15 July 2023).
- Gennadiev A.N., Kozin I.S., Shurubor E.I., Teplitskaya T.A. Dynamics of soil pollution with polycyclic aromatic hydrocarbons and indication of the state of soil ecosystems. Soil Science, 1990, no. 10, pp. 75–85. (In Russ.)
- Nazarov A.V. Influence of oil pollution of the soil on plants. Bulletin of the Perm University. Series: Biology, 2007, no. 5, pp. 134–141. (In Russ.)
- Voronina V.P., Biryukov A.Yu., Vedilin R.V., Inyakin A.V. Assessment of the impact of anthropogenically transformed soils on the growth and bioproductivity of agricultural crops. Izvestiya of the Nizhnevolzhsky agrouniversity complex: science and higher professional education, 2016, no. 2 (42), pp. 49–56. (In Russ.)
- Borodulina T.S., Polonsky V.I. Influence of soil oil pollution on the physiological characteristics of wheat plants. Bulletin of the Krasnoyarsk State Agrarian University, 2010, no. 5, pp. 50–55. (In Russ.)
- Myazin V.A., Redkina V.V. Influence of soil pollution with oil products on the growth of Secale Cereale L. and prospects for its use in phytoremediation. Bulletin of the Murmansk State Technical University, 2016, no. 19 (1–2), pp. 217–221. (In Russ.)
- Sangadzhieva L.Kh., Bambaeva E.N., Sangadzhieva O.S., Davaeva Ts.D., Sohorova Z.V., Manzhikova A.V. Features of the organomineral composition of cenopopulations of medicinal plants of the Caspian lowland. Medico-pharmaceutical journal Pulse, 2022, vol. 24, no. 2, pp. 35–46. Available at: https://doi.org/10.26787/nydha-2686-6838-2022-24-2-35-46 (accessed 15 July 2023). (In Russ.)
- Baichorov R.A. Effect of oil and oil products on soil properties and plant productivity. E-Scio, 2020, no. 2 (41), pp. 143–148. (In Russ.)
- Nazaryuk V.M., Klenova M.I., Kalimullina F.R. The role of mineral nutrition in increasing plant productivity and regulating the nutritional regime of soil contaminated with oil. Agrochemistry, 2007, no. 7, pp. 64–73. (In Russ.)
- Nazaryuk V.M., Kalimullina F.R. The role of fertilizers in nitrogen nutrition of plants when soil is contaminated with oil. Agrochemistry, 2020, no. 4, pp. 76–84 (In Russ.). Available at: https://doi.org/10.31857/S0002188120040092 (accessed 15 July 2023).
- Uspanova D.M., Nechaeva O.V., Abrosimova O.V., Glinskaya E.V., Tikhomirova E.I., Bespalova N.V. Evaluation of the effectiveness of remediation of oil-contaminated soils by sorption-biological methods in laboratory conditions. Teoreticheskaya i prikladnaya ekologiya, 2022, no. 4, pp. 172–179 (In Russ.). Available at: https://doi.org/10.25750/1995-4301-2022-4-172-179 (accessed 15 July 2023).
- Sivkov Y.V., Nikiforov A.S. Study of oil-contaminated soils phytotoxicity during bioremediation activities. Journal of Ecological Engineering, 2021, no. 22 (3), pp. 67–72 (In Russ.). Available at: https://doi.org/10.12911/22998993/132435 (accessed 15 July 2023).
- Tishin A.S. Phytotesting of soils contaminated with oil products. International Scientific Research Journal, 2020, no. 12-2 (102), pp. 78–83 (In Russ.). Available at: https://doi.org/10.23670/IRJ.2020.102.12.048 (accessed 15 July 2023).
- Buluktaev A.A. Phytotoxicity of oil-contaminated soils of arid territories (under the conditions of a model experiment). Journal of Ecosystem Ecology, 2019, no. 3, pp. 59–68. (In Russ.)
- ISO 11269-1:2012. Soil quality – determination of the effects of pollutants on soil flora – Part 1: Method for the measurement of inhibition of root growth. 2012. 16 р.
- Płaza G., Nałecz-Jawecki G., Ulfig K., Brigmon R.L. The application of bioassays as indicators of petroleum-contaminated soil remediation. Chemosphere, 2005, no. 59, pp. 289–296.
- Illarionov S.A., Nazarov A.V., Kalachnikova I.G. The role of micromycetes in the phytotoxicity of oil-contaminated soils. Ecology, 2003, no. 5, pp. 341–346. (In Russ.)
- Panchenko L., Muratova A., Dubrovskaya E., Golubev S., Turkovskaya O. Natural and Technical Phytoremediation of Oil-Contaminated Soil. Life, 2023, no. 13, pp. 177. Available at: https://doi.org/10.3390/life13010177 (accessed 15 July 2023).
- Skrypnik L., Maslennikov P., Novikova A., Kozhikin M. Effect of crude oil on growth, oxidative stress and response of antioxidative system of two rye (Secale cereale L.) varieties. Plants, 2021, no. 10 (1), pp. 157. Available at: https://doi.org/10.3390/plants10010157 (accessed 15 July 2023).
- Dike C.C., Shahsavari E., Surapaneni A., Shah K., Ball A.S. Can biochar be an effective and reliable biostimulating agent for the remediation of hydrocarbon-contaminated soils? Environ Int, 2021, no. 154, pp. 106553. Available at: https://doi.org/10.1016/j.envint.2021.106553 (accessed 15 July 2023).
- Minnikova T., Kolesnikov S., Revina S., Ruseva A., Gaivoronsky V. Enzymatic assessment of the state of oil-contaminated soils in the south of Russia after bioremediation. Toxics, 2023, no. 11, pp. 355. Available at: https://doi.org/10.3390/toxics11040355 (accessed 15 July 2023).
- Zhen M., Tang J., Li C., Sun H. Rhamnolipid-modified biochar-enhanced bioremediation of crude oil-contaminated soil and mediated regulation of greenhouse gas emission in soil. J Soils Sediments, 2021, no. 21, pp. 123–133. Available at: https://doi.org/10.1007/s11368-020-02746-5 (accessed 15 July 2023).
- Osadebe A.U., Davis I.W., Ogugbue C.J., Okpokwasili, G.C. Biochar-mediated remediation impacts on nitrogen cycling bacteria and ammonia monooxygenase activity in crude oil polluted soil. Journal of Fundamental and Applied Sciences, 2022, vol. 14, no. 3, pp. 466–489. Available at: https://doi.org/10.4314/jfas.1217 (accessed 15 July 2023).
- Ali M.H., Sattar M.T., Khan M.I., Naveed M., Rafique M., Alamri S., Siddiqui M.H. Enhanced growth of mungbean and remediation of petroleum hydrocarbons by Enterobacter sp. MN17 and biochar addition in diesel contaminated soil. Applied Sciences, 2020, no. 10 (23), pp. 8548. Available at: https://doi.org/10.3390/app10238548 (accessed 15 July 2023).
- World reference base for soil resources. International soil classification system for naming soils and creating legends for soil maps. 4th ed. Vienna, Austria, International Union of Soil Sciences (IUSS), 2022. 234 p.
- Bykova M.V., Pashkevich M.A. Estimation of oil pollution of soils of production facilities in various soil-climatic zones of the Russian Federation. Bulletin of the Tula State University. Earth sciences, 2020, no. 1, pp. 46–59. (In Russ.)
- Chistyakov V.A., Gorovtsov A.V., Usatov A.V., Prazdnova E.V., Mazanko M.S., Bren A.B., Usatova O.A., Vasilchenko N.G. Method for producing liquid nutrition medium and method for obtaining liquid microbiological agent based on strains mixture of spore-forming bacteria antagonists of phytopathogenic fungi of g. Fusarium. Patent RF no. 2751487, 2021. (In Russ.)
- Zvyagintsev A.G., Babieva I.P., Zenova G.M. Soil biology. 3rd ed. Moscow, Moscow University Publ. House, 2005. 448 p. (In Russ.)
- Gospodarek J., Rusin M., Barczyk G., Nadgórska-Socha A. The effect of petroleum-derived substances and their bioremediation on soil enzymatic activity and soil invertebrates. Agronomy, 2021, no. 11 (1), pp. 80. Available at: https://doi.org/10.3390/agronomy11010080 (accessed 15 July 2023).
- Minnikova T.V., Sushkova S.N., Mandzhieva S.S., Minkina T.M., Kolesnikov S.I. Evaluation of the influence of benzo(a)pyrene on the biological activity of the chernozem of the Rostov region. Bulletin of the Tomsk Polytechnic University. Geo Assets Engineering, 2019, vol. 330, no. 12, pp. 91–102 (In Russ.). Available at: https://doi.org/10.18799/24131830/2019/12/2396 (accessed 15 July 2023).
- Sushkova S.N., Yakovleva E.V., Minkina T.M., Gabov D.N., Antonenko E.M., Dudnikova T.S., Barbashev A.I., Minnikova T.V., Kolesnikov S.I., Rajput V.D. Accumulation of benzo[a]pyrene in plants of different species and in the organogenic horizon of soils of steppe phytocenoses under technogenic pollution. Bulletin of the Tomsk Polytechnic University. Geo Assets Engineering, 2020, vol. 331, no. 12, pp. 200–214. (In Russ.) Available at: https://doi.org/10.18799/24131830/2020/12/2953 (accessed 15 July 2023).
- Zahed M.A., Salehi S., Madadi R., Hejabi F. Biochar as a sustainable product for remediation of petroleum contaminated soil. Current Research in Green and Sustainable Chemistry, 2021, no. 4, pp. 100055. Available at: https://doi.org/10.1016/J.CRGSC.2021.100055 (accessed 15 July 2023).
- Wei Z., Wang J.J., Meng Y., Li J., Gaston L.A., Fultz L.M., DeLaune R.D. Potential use of biochar and rhamnolipid biosurfactant for remediation of crude oil-contaminated coastal wetland soil: Ecotoxicity assessment. Chemosphere, 2020, no. 253, pp. 126617. Available at: https://doi.org/10.1016/j.chemosphere.2020.126617 (accessed 15 July 2023).
Supplementary files





