Особенности межсезонной изменчивости вдольбереговой циркуляции ветра и прибрежного течения у Южного берега Крыма
- Авторы: Кузнецов А.С.1
-
Учреждения:
- Морской гидрофизический институт РАН
- Выпуск: № 1 (2024)
- Страницы: 31-44
- Раздел: Статьи
- URL: https://bakhtiniada.ru/2413-5577/article/view/255848
- EDN: https://elibrary.ru/EBWSKZ
- ID: 255848
Цитировать
Аннотация
По результатам анализа средних за десятилетие 2013–2022 гг. статистических и спектральных характеристик мезомасштабной и синоптической изменчивости поля ветра приводного слоя атмосферы и приповерхностного течения выделены закономерности и особенности изменчивости ветра и квазистационарного вдольберегового течения у м. Кикинеиз Южного берега Крыма. Комплексный инструментальный мониторинг выполнен кластерами гидрометеорологических и океанологических измерителей в условиях открытого моря со стационарной океанографической платформы Черноморского гидрофизического подспутникового полигона Морского гидрофизического института РАН. Для количественных оценок значений и выявления тенденций в межсезонной изменчивости характеристик поля ветра и течения использован набор хронологических последовательностей среднечасовых векторно-осредненных данных за полугодия май – октябрь и ноябрь – апрель. В выделенные временные периоды у побережья наблюдались явные сезонные различия в термической структуре и динамике как приповерхностного поля ветра, так и прибрежных вод. На основе материалов инструментального мониторинга исследованы особенности циркуляции прибрежных вод при сезонной изменчивости местных ветровых условий. По результатам спектрального анализа получены оценки энергетического вклада бризовой циркуляции ветра в период сезонной интенсификации мезомасштабной изменчивости вдольберегового течения. В течение всего годового цикла у побережья в море наряду с фоновым крупномасштабным полем ветра выявлены разномасштабные вдольбереговые возвратно-поступательные колебания ветра, ориентированные параллельно хребту Главной гряды Крымских гор. Такие колебания ветра влияют на изменчивость вдольбереговой циркуляции прибрежных вод, что позволяет исследовать условия и особенности формирования бимодального распределения повторяемости направления квазистационарного вдольберегового течения у м. Кикинеиз.
Полный текст
Введение
Исследования причин интенсивной изменчивости течений у побережья Крыма обусловлены необходимостью надежного навигационного обеспечения морских перевозок, а также добычи и воспроизводства ресурсов в прибрежной зоне Черного моря. На территории Южного берега Крыма (ЮБК) интенсивно развивается сфера рекреационных услуг, строятся жилищные и хозяйственные комплексы, а в зоне сопряжения суши и моря сформирована сеть портовых, гидротехнических и очистных сооружений с канализационными коллекторами придонного сброса промышленно-сточных вод с суши в прибрежную зону моря.
В такой ситуации сохранность состояния природной экосистемы ЮБК зависит от сбалансированного потребления и воспроизводства природных ресурсов при ограничении поступления загрязнений в море в ходе утилизации отходов. Существование и устойчивое экономическое развитие такой социальной эколого-экономической системы возможно только при рациональном управлении природоохранной деятельностью и оперативном контроле качества морской среды [1].
Естественным фактором, неизменно минимизирующим последствия техногенных и антропогенных нагрузок на морскую среду, является специфическая структура переноса прибрежных вод и загрязнений у побережья Крыма. Многолетний инструментальный мониторинг динамики прибрежных вод, выполняемый Морским гидрофизическим институтом (МГИ) на Черноморском гидрофизическом подспутниковом полигоне (ЧГПП) у м. Кикинеиз (ЮБК), позволяет достоверно оценить влияние изменений природно-климатических и антропогенных факторов на состояние прибрежной экосистемы.
Целью работы является получение новых научных знаний об особенностях межсезонной изменчивости вдольбереговой циркуляции ветра и прибрежного течения по результатам статистического и спектрального анализа данных инструментального мониторинга за 2013–2022 гг.
Материалы и методы исследования
На ЧГПП МГИ в п. Кацивели, расположенном у м. Кикинеиз, с 1929 г. функционирует и постоянно совершенствуется система гидрометеорологических и океанографических наблюдений [2]. Инструментальный мониторинг характеристик прибрежной акватории выполняется гидрометеорологическими и океанологическими измерителями с океанографической платформы, расположенной в открытом море на удалении ~ 500 м от берега.
Для исследований характеристик поля ветра используются данные автоматизированных гидрометеорологических комплексов с первичными измерительными преобразователями анеморумбометра М-63 и ИПВ-М в составе комплекса МГИ-6503 [2], ДВМ в составе комплекса КСГД [3], которые установлены компактно на высоте 18 м над уровнем моря на сигнальной мачте океанографической платформы. Комплексы работают в ежесекундном режиме измерений при паспортной чувствительности измерительного канала модуля скорости ветра не более 0.1 м/с и канала направления ветра не более 3°. За период мониторинга 2013–2022 гг. сформирован векторно-осредненный ряд из 87 648 пар среднечасовых отсчетов компонентов вектора.
Для исследования циркуляции прибрежных вод используются данные измерителей течений МГИ-1308 [2, 4] на гидрологических горизонтах от приповерхностного до придонного слоя при глубине места ~ 28 м. Измерители регистрируют векторно-осредненные за временной интервал 5 мин ежесекундные отсчеты скорости и направления вектора течения при паспортной чувствительности измерительного канала модуля скорости, равной 0.1 см/с, и канала направления течения 3°. Для каждого измерительного горизонта 5, 10, 15, 20 м за указанный 10-летний период сформированы базовые векторно-осредненные ряды из 87 648 пар среднечасовых отсчетов компонентов вектора течения.
Первичные измерительные преобразователи комплексов в установленном порядке проходят метрологическую аттестацию в службе метрологии и стандартизации МГИ. Дальнейший оперативный технологический контроль качества измерений обеспечивает соблюдение метрологического единства при долгосрочных измерениях характеристик прибрежных течений и ветра, что позволяет исключить вклад сбойных значений и существенных методических погрешностей измерений. Дальнейшее осреднение результатов обработки позволяет повысить точность статистически осредненных значений как течения, так и ветра до уровня предельных случайных погрешностей, ограниченных разрешающей способностью (паспортной чувствительностью) соответствующих первичных измерительных преобразователей комплексов.
Используемая в работе совокупность систематизированных за 2013–2022 гг. материалов обладает научной новизной, что подтверждено свидетельствами о государственной регистрации 1, 2, 3. При статистическом и спектральном анализе использованы материалы баз векторных данных синхронного мониторинга прибрежного течения и ветра приводного слоя атмосферы. На основании полученных количественных оценок исследованы интенсивность и пространственно-временные особенности динамики вод и ветра у ЮБК. Спектральный анализ изменчивости энергетической интенсивности колебаний течения и ветра выполнен в рамках линейной оценки спектра через сглаживание периодограмм по программе обработки, разработанной МГИ на основе работы 4 и использованной в работах [4–6].
Результаты и обсуждение
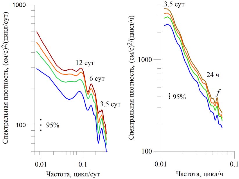
В рамках мониторинга оценка вклада прибрежной циркуляции ветра в формирование особенностей межсезонной изменчивости вдольберегового течения является актуальной проблемой. Согласно [4], в прибрежной зоне у м. Кикинеиз достоверно выражено квазистационарное вдольбереговое течение и исследованы основные режимы его изменчивости. Как отмечено в работе [7], пространственные особенности динамики вод у побережья обусловлены конфигурацией береговой линии и рельефом дна. В работе [4] представлены результаты исследований ориентации главной оси трансформированных у побережья волно-вихревых эллиптических орбитальных движений вод. В общем направления таких возвратно-поступательных колебаний ориентированы вдоль направления течения, которое на конкретном измерительном горизонте ориентировано вдоль соответствующей изобаты рельефа дна [8]. В приповерхностном слое моря на горизонте 5 м средняя за 2013–2022 гг. скорость вдольберегового квазистационарного течения равна 7.9 см/с при западо-юго-западном направлении (253°), а в придонном слое на горизонте 20 м она составляет 6.7 см/с при направлении 215°. На рис. 1 представлены средние за 2013–2022 гг. энергетические спектры колебаний прибрежного течения на гидрологических горизонтах для диапазона периодов 3–128 сут (рис. 1, a) и 14–96 ч (рис. 1, b), подобные результатам, полученным ранее [4, 5].
Рис. 1. Полные энергетические спектры колебаний прибрежного течения у ЮБК на гидрологических горизонтах 5, 10, 15, 20 м (коричневая, оранжевая, зеленая, синяя линии соответственно) при 95%-ном доверительном интервале в диапазоне периодов: a – 3–128 сут; b – 14–96 ч; f – локальная инерционная частота
Fig. 1. Full energy spectra of coastal current fluctuations near the Southern Coast of Crimea at 5, 10, 15, 20 m hydrological horizons (brown, orange, green, blue lines, respectively) at 95% confidence interval in the range of periods: a – 3–128 days; b – 14–96 h; f is local inertial frequency
В работе [7] отмечено, что изменчивость ветровых условий у ЮБК вызывает оперативную перестройку структуры прибрежного течения. Далее рассмотрены результаты анализа режима и изменчивости ветровых условий, полученные по материалам инструментального мониторинга за 2013–2022 гг., необходимые для дальнейшего обсуждения.
Особенности среднемноголетней изменчивости ветра. Суммарное поле ветра Черноморского региона формируется в результате вклада фонового ветра и суперпозиции местных ветров термического и орографического происхождения, которые являются существенным фактором в формировании поля ветра приповерхностного слоя атмосферы [7, 9, 10]. Данные настоящего инструментального мониторинга позволили достоверно выделить и уточнить спектральный состав колебаний поля ветра у ЮБК. На рис. 2 представлены средние за 2013–2022 гг. энергетические спектры изменчивости ветра приводного слоя атмосферы в диапазоне периодов 3–128 сут (рис. 2, a), 6–96 ч (рис. 2, b) и 14–96 ч (рис. 2, c).
На рис. 2, a представлен энергетический спектр колебаний ветра в диапазоне мезомасштабной и синоптической изменчивости, где достоверно выделены спектральные пики на периодах около 4 и 6 сут, а также выражена интенсификация синоптических колебаний ветра на периодах 8, 13 и 21 сут.
Рис. 2. Полный энергетический спектр изменчивости ветра приводного слоя атмосферы в зоне прибрежного экотона моря у ЮБК при 95%-ном доверительном интервале в диапазоне периодов: a – 3–128 сут; b – 6–96 ч, c – 14–96 ч; f – локальная инерционная частота
Fig. 2. Full energy spectrum of wind variability in the atmosphere surface layer in the coastal marine ecotone zone near the Southern Coast of Crimea at 95% confidence interval in the range of periods: a – 3–128 days; b – 6–96 h, c – 14–96 h; f is local inertial frequency
В работе [9] отмечено, что при обтекании ветром горного рельефа, окружающего Черное море, орографический эффект должен заключаться в генерации стационарных инерционно-гравитационных волн, захваченных поверхностью. По известным результатам численного моделирования [10–12] и анализа данных натурных исследований [6], местные бризы и ветры склонов гор имеют выраженную суточную периодичность. Энергетический спектр колебаний ветра на рис. 2, b содержит спектральные максимумы колебаний ветра на периодах около 8, 12 и 24 ч.
С целью выделения инерционных колебаний ветра в присутствии интенсивных внутрисуточных колебаний из исходной реализации методом цифровой фильтрации удален вклад гравитационных колебаний с периодами менее 14 ч. На рис. 2, c представлен энергетический спектр колебаний ветра, рассчитанный в диапазоне периодов 14–96 ч, где достоверно выявлен спектральный пик колебаний ветра с периодом ~ 17 ч (локальная инерционная частота).
Особенности пространственной ориентации поля ветра. Согласно полученным результатам, в приводном слое атмосферы выявлены особенности пространственной ориентации основных составляющих суммарного поля ветра в регионе. На рис. 3, a представлена эмпирическая функция плотности вероятности распределения направлений поля ветра, вычисленная в угловых сегментах ±5°, за 2013–2022 гг. Выделены три главных направления перемещения воздушных масс приводного слоя атмосферы у м. Кикинеиз. Ветры вдольбереговых востоко-северо-восточных (~ 65°) и западо-юго-западных (~ 245°) румбов почти коллинеарны и параллельны ориентации хребта Главной гряды Крымских гор в регионе, а ветер северных (~ 355°) румбов направлен вниз по склону к морю по нормали к горному хребту.
При определенных природных условиях у ЮБК и возмущениях, вносимых Крымскими горами в поля скорости фонового ветра, периодически могут формироваться вдольбереговые потоки воздуха, и создается зона мезомасштабных колебаний скорости ветра [12].
На рис. 3, b представлена эмпирическая функция плотности вероятности направлений ветра, рассчитанная после удаления из исходной реализации методом цифровой фильтрации вклада инерционно-гравитационной и суточной изменчивости ветра. После фильтрации сохраняются вдольбереговые направления реверсивного перемещения воздушных масс параллельно ориентации горного хребта, но при этом кардинально трансформирован вклад ветра северных румбов. На рис. 3, c представлена эмпирическая функция плотности вероятности направлений ветра, рассчитанная после удаления из исходных реализаций вклада инерционно-гравитационных, суточных колебаний и крупномасштабного фонового ветра. Фоновый ветер северо-северо-восточных румбов (~ 25°) при значении модуля скорости 1.5–1.6 м/с рассчитан за 10-летний период мониторинга. По завершении обработки достоверно выделен вклад колебаний ветра вдольбереговых румбов, а ветер северных румбов самостоятельно не выделяется (рис. 3, c). В результате установлено, что в приводном слое атмосферы на удалении ~ 500 м от берега ежегодно доминируют вдольбереговые колебания прибрежного ветра различных временных масштабов в присутствии вклада местного и регионального фонового ветра.
Рис. 3. Эмпирическая функция распределения плотности вероятности направлений ветра в приводном слое атмосферы: a – по исходным данным; b – после удаления из исходных данных вклада инерционно-гравитационной и суточной изменчивости ветра; c – после удаления из исходных данных вклада инерционно-гравитационной, суточной и крупномасштабной фоновой изменчивости ветра
Fig. 3. Empirical probability density distribution function for wind directions in the atmosphere surface layer: a – based on the initial data; b – after removing the contribution of inertia-gravity and daily wind variability from the initial data; c – after removing the contribution of inertia-gravity, daily and large-scale background wind variability from the initial data
Для сопоставления статистических и спектральных характеристик изменчивости ветра в приводном слое атмосферы и соответствующей изменчивости прибрежного течения в верхнем деятельном слое моря использованы данные только приповерхностного горизонта 5 м. Для расчетов характеристик как ветра, так и течения за 2013–2022 гг. были сформированы по два раздельных набора среднечасовых данных за май – октябрь (полугодие I) и ноябрь – апрель (полугодие II). Следует отметить, что при численном моделировании ветрового режима Крымского региона, его сезонной изменчивости и особенностей бризовой циркуляции также используют хронологические наборы данных за указанные полугодия [10, 11].
Межсезонные особенности крупномасштабной изменчивости ветра и течения. На рис. 4 представлены полные энергетические спектры изменчивости характеристик приводного ветра (рис. 4, a) и приповерхностного течения (рис. 4, b), рассчитанные за полугодия I и II в диапазоне периодов 3–128 сут. На рис. 4, a в полугодия I достоверно выделены спектральные пики колебаний ветра на периодах 5–6 сут, 8, 13 и 21 сут, а в полугодия II достоверно выделен пик на периоде 4 сут и отмечена интенсификация синоптических колебаний ветра в диапазоне периодов 8–21 сут по сравнению со спектром, рассчитанным за полугодия I. На рис. 4, b достоверно выделены спектральные пики длинноволновых колебаний течения на периодах ~ 3.5, 6, 12 и 21 сут, рассчитанные за полугодия I, а за полугодия II – на периодах ~ 3.5, 5 и 12 сут.
Рис. 4. Полные энергетические спектры длинноволновых колебаний в диапазоне периодов 3–128 сут: a – ветра в приводном слое атмосферы; b – течения в приповерхностном слое моря, рассчитанные за полугодия май – октябрь и ноябрь – апрель 2013–2022 гг. (красная и синяя линии соответственно)
Fig. 4. Full energy spectra of long-wave fluctuations in the range of periods 3–128 days: a – winds in the atmosphere surface layer; b – currents in the sea surface layer, calculated for the half-year periods May–October and November–April 2013–2022 (red and blue lines, respectively)
Эти длинноволновые движения распространяются вместе с вдольбереговым течением, оставляя берег справа.
Исследования межсезонных различий спектрального состава длинноволновых колебаний прибрежного течения возможны в рамках натурных и численных модельных исследований длинноволновых движений, включая захваченные берегом волны 5. В работе [4] представлен обзор результатов, полученных ранее при исследованиях длинноволновых движений у ЮБК, которые обусловливают захват и аккумулирование волновой энергии, меандрирование течений и образование мезомасштабных вихревых структур.
Как известно, захваченные берегом волны обычно генерируются колебаниями вдольберегового напряжения ветра. Такие колебания ветра, согласно рис. 4, c, достоверно присутствуют у ЮБК, а пространственно-временные характеристики захваченных берегом волн определяются масштабами вынуждающих атмосферных воздействий в регионе [13]. Длинноволновые колебания течения с периодом около 6 сут в летний сезон обусловлены сгонно-нагонной циркуляцией вод Черного моря с периодичностью 5–7 сут, а колебания с периодом вблизи 12 сут ранее идентифицированы как длинные захваченные берегом волны, генерируемые удаленным ветровым воздействием [13]. Энергетические спектры в мезомасштабном и синоптическом диапазоне изменчивости, рассчитанные по синхронным данным течения и ветра, имеют близкие спектральные диапазоны интенсификации колебаний. Подробные исследования причинно-следственных статистических связей между характеристиками этих длинноволновых колебаний планируется выполнить в дальнейшем.
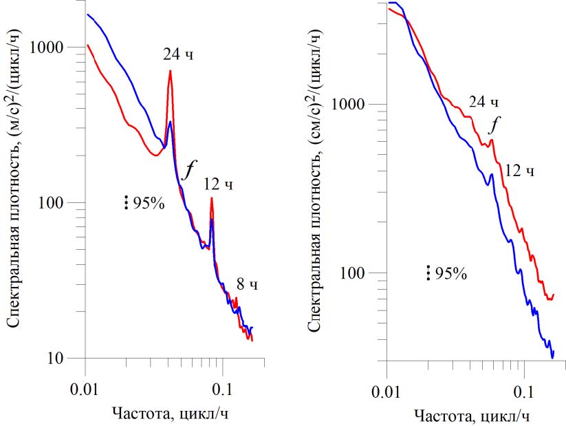
Межсезонные особенности инерционно-гравитационной и суточной изменчивости ветра и течения. На рис. 5 представлены полные энергетические спектры инерционно-гравитационных и суточных колебаний ветра приводного слоя атмосферы (рис. 5, a) и приповерхностного течения (рис. 5, b), рассчитанные в диапазоне периодов 6–96 ч за полугодия I и II. На рис. 5, a для пары спектров колебаний ветра достоверно выделены энергетическием максимумы на периодах 12 и 24 ч и отмечены колебания на локальной инерционной частоте f и периоде 8 ч. На рис. 5, b для пары спектров колебаний прибрежного течения достоверно выделяются спектральные пики на локальной инерционной частоте f.
Рис. 5. Полные энергетические спектры инерционно-гравитационных и суточных колебаний в диапазоне периодов 6–96 ч: a – ветра в приводном слое атмосферы; b – течения в приповерхностном слое моря, рассчитанные за полугодия май – октябрь и ноябрь – апрель 2013–2022 гг. (красная и синяя линии соответственно)
Fig. 5. Full energy spectra of inertia-gravity and daily fluctuations in the range of periods 3–128 days: a – winds in the atmosphere surface layer; b – currents in the sea surface layer, calculated for the half-year periods May–October and November–April 2013–2022 (red and blue lines, respectively)
С целью оценки значимости и достоверности выделенных спектральных максимумов колебаний как ветра, так и течения в установленном порядке 4) для фактического числа степеней свободы ~ 1600 были рассчитаны соответствующие 95%-ные доверительные интервалы. Это позволило с высокой точностью оценить различия при сравнении спектральных уровней сформированных пар спектров.
Среднемноголетние амплитуды колебаний ветра на рис. 5, a в диапазоне периодов 36–96 ч за полугодия II превышают на ~ 40 % амплитуды соответствующих колебаний за полугодия I. Далее по спектру вид и сравниваемые уровни спектров ветра в диапазоне колебаний 6–26.5 ч совпадают при различиях в значениях уровней спектральных максимумов на периодах 12 и 24 ч. Согласно результатам, полученным ранее в натурных [6, 7] и модельных [10, 11] экспериментах, с мая по октябрь бризовая циркуляция усиливается, что и является причиной существенных межсезонных различий в интенсивности колебаний на периодах 12 и 24 ч на рис. 5, a.
Распределение спектральной плотности энергии течения в приповерхностном слое моря за полугодия I и II представлено на рис. 5, b, где в диапазоне колебаний 36–96 ч отсутствуют энергетические различия в уровнях спектров, а далее по спектру в диапазоне колебаний 6–36 ч эти различия превышают пределы 95%-ного доверительного интервала. Среднемноголетние амплитуды колебаний течения в диапазоне периодов 6–36 ч за полугодия I превышают на ~ 25 % амплитуды колебаний за полугодия II. Такие различия в инерционно-гравитационном и суточном диапазоне колебаний течения возникают с мая по октябрь в верхнем деятельном слое Черного моря в условиях устойчивой термической (плотностной) стратификации вод [14]. Как известно, в этот период года в деятельном слое формируется поле интенсивных короткопериодных внутренних волн, обеспечивающих сток энергии длинноволновых колебаний течения на шельфе Черного моря. Натурные исследования динамики инерционно-гравитационных и короткопериодных внутренних волн на шельфе в верхнем деятельном слое Черного моря постоянно совершенствуются, а новые научные результаты таких исследований представлены в [15–17].
Отметим, что прибрежная акватория у ЮБК, включая материковую отмель с бухтами и заливами, является окраинной, сопряженной с сушей частью шельфовой зоны Черного моря. В настоящее время некоторые исследователи считают, что единственной статистически достоверной характеристикой режима циркуляции вод у побережья является бимодальное распределение повторяемости направления течения. Однако, согласно результатам натурных исследований МГИ [4], у м. Кикинеиз достоверно выделено мономодальное вдольбереговое течение, направленное так же, как Основное Черноморское течение. При этом в работе [5] выявлено, что при формировании обратной моды бимодального распределения направления течения у ЮБК доминирующий вклад (~ 80 %) вносят колебания в инерционно-гравитационном и суточном диапазоне, а 20 % вклада распределены в мезомасштабном диапазоне колебаний течения с периодами до 4–5 сут.
Как известно, инерционные колебания в Черном море возникают при изменении действующей силы и представляют собой круговое или эллиптическое антициклоническое вращение вектора скорости течения, которое кардинально трансформируется у побережья. Инерционные течения у берега (квазиреверсивная циркуляция вод) наблюдаются у ЮБК обычно после прекращения работы длительного вдольберегового ветра при вращении вектора инерционного течения по часовой стрелке на периодах около 17 ч при пространственных масштабах антициклонического вихря менее одного десятка километров [7]. По данным мониторинговых исследований за 2013–2022 гг., инерционные колебания течений у м. Кикинеиз регулярно возникают и существуют в виде периодических пакетов, а в работе [7] отмечено, что продолжительность существования серии таких инерционных антициклонических круговоротов обычно составляет 3–4 сут.
Представленные результаты комплексных исследований изменчивости поля ветра приводного слоя атмосферы и прибрежного течения за 2013–2022 гг. являются основой для дальнейших исследований особенности формирования бимодального распределения направлений вдольберегового течения в инерционно-гравитационном и мезомасштабном диапазоне волно-вихревых колебаний на периодах 4–5 сут.
Заключение
Особенности межсезонной изменчивости вдольбереговой циркуляции прибрежных вод и ветра у Южного берега Крыма выявлены в результате обработки и анализа материалов многолетних натурных исследований, выполняемых на ЧГПП МГИ. Уникальная возможность проведения долгосрочного (2013–2022 гг.) комплексного натурного эксперимента в акватории прибрежного экотона у ЮБК была обеспечена надежным функционированием кластеров отечественных океанологических и гидрометеорологических измерителей со стационарной океанографической платформы ЧГПП МГИ в условиях открытого моря.
Комплексные исследования выполнены по верифицированной информационной технологии инструментального мониторинга, обеспечивающей высокую точность при долгосрочных инструментальных измерениях. Результаты статистического и спектрального анализа получены при обработке массивов синхронных баз данных изменчивости характеристик прибрежного течения и ветра.
- Установлен факт интенсивной изменчивости поля ветра в приводном слое атмосферы в течение всего годового цикла в диапазоне периодов 12 и 24 ч, 4–6 сут и 13–21 сут при доминировании вдольбереговых колебаний направления местного ветра. При этом регулярные мезомасштабные колебаний ветра могут являться источником генерации цугов интенсивных короткопериодных внутренних волн у побережья.
- Полные энергетические спектры колебаний течения и ветра в мезомасштабном и синоптическом диапазоне изменчивости имеют близкие спектральные диапазоны интенсификации колебаний. Последующее выявление статистических причинно-следственных связей между характеристиками колебаний течения и ветра является перспективной задачей для физического понимания процесса их взаимодействия.
- В верхнем слое моря до глубин 15 м синоптические колебания прибрежного течения на периодах ~ 12 сут имеют существенные межсезонные различия. Дальнейшие натурные и численные модельные исследования длинноволновых движений позволят выявить причины таких различий. Репрезентативные эмпирические результаты необходимы для валидации и совершенствования современных региональных численных моделей прибрежных акваторий.
- Инерционно-гравитационные колебания прибрежного течения в диапазоне периодов 6–36 ч имеют существенные межсезонные различия. При этом дальнейшие исследования необходимо проводить и в диапазоне короткопериодных гравитационных внутренних волн, что позволит детально исследовать их вклад в формирование бимодального распределения направлений вдольбереговой циркуляции вод. При этом необходимо продолжить исследования особенностей энергетического волно-вихревого взаимодействия инерционно-гравитационных и мезомасштабных возмущений вдольберегового прибрежного течения.
Представленные результаты составляют основу для дальнейших исследований разномасштабной изменчивости циркуляции прибрежных вод у ЮБК как существенного природного фактора, влияющего на устойчивое социально-экономическое развитие региона побережья Крыма, что остается одной из приоритетных задач Морского гидрофизического института РАН.
1 База данных мониторинга динамики прибрежных течений Черного моря у Южного берега Крыма за 2008–2015 гг. по измерениям на стационарной океанографической платформе у мыса Кикинеиз / А. С. Кузнецов, В. В. Зима ; ФГБУН «Морской гидрофизический институт РАН». Электрон. дан. Москва, 2019. № гос. регистрации 2019620377.
2 База данных мониторинга поля течений прибрежный зоны Черного моря у Южного берега Крыма за 2016–2019 гг. / А. С. Кузнецов, В. В. Зима ; ФГБУН ФИЦ «Морской гидрофизический институт РАН». Электрон. дан. Москва, 2020. № гос. регистрации 2020621445.
3 База данных мониторинга характеристик ветра акватории прибрежного экотона Черного моря у мыса Кикинеиз Южного берега Крыма за 2013–2022 гг. / А. С. Кузнецов, А. В. Гармашов, В. В. Зима ; ФГБУН ФИЦ «Морской гидрофизический институт РАН». Электрон. дан. Москва, 2023. № гос. регистрации 2023622482.
4 Коняев К. В. Спектральный анализ случайных океанологических полей. Ленинград : Гидро-метеоиздат, 1981. 207 с.
5 Иванов В. А., Янковский А. Е. Длинноволновые движения в Черном море. Киев : Наукова думка, 1992. 110 с.
Об авторах
Александр Сергеевич Кузнецов
Морской гидрофизический институт РАН
Автор, ответственный за переписку.
Email: kuznetsov_as@mhi-ras.ru
ORCID iD: 0000-0002-5690-5349
SPIN-код: 1838-7191
Scopus Author ID: 57198997777
ведущий научный сотрудник, старший научный сотрудник, заведующий отделом гидрофизики шельфа, кандидат технических наук
Россия, 299011, г. Севастополь, ул. Капитанская, 2Список литературы
- Тимченко И. Е., Игумнова Е. М. Управление эколого-экономическими процессами в интегральной модели прибрежной зоны моря // Морской гидрофизический журнал. 2011. № 1. С. 48–66. EDN TMJWST.
- Кузнецов А. С., Зима В. В. Развитие наблюдательной системы Черноморского гидрофизического полигона в 2001–2015 гг. // Экологическая безопасность прибрежной и шельфовой зон моря. 2019. № 4. С. 62–72. EDN PTZNWJ. doi: 10.22449/2413-5577-2019-4-62-72
- Аппаратура для мониторинга гидрометеорологических параметров на океанографической платформе в Кацивели / Ю. Н. Толокнов [и др.] // Мониторинг прибрежной зоны на Черноморском экспериментальном подспутниковом полигоне / Под ред. В. А. Иванова, В. А. Дулова. Севастополь : ЭКОСИ-Гидрофизика, 2014. С. 150–153. EDN TZMZJT.
- Кузнецов А. С. Среднемноголетняя сезонная изменчивость прибрежного течения у Южного берега Крыма в 2002–2020 годах // Морской гидрофизический журнал. 2022. Т. 38, № 2. С. 151–164. EDN VKOPIF. doi: 10.22449/0233-7584-2022-2-151-164
- Кузнецов А. С., Иващенко И. К. Особенности формирования вдольбереговой циркуляции вод прибрежного экотона у южного побережья Крыма // Морской гидрофизический журнал. 2023. Т. 39, № 2. С. 189–204. EDN GNXBSC. doi: 10.29039/0233-7584-2023-2-189-204
- Кузнецов А. С. Спектральные характеристики изменчивости ветра в прибрежной зоне Южного берега Крыма в 1997–2006 годах // Экологическая безопасность прибрежной и шельфовой зон моря. 2023. № 2. С. 6–20. EDN XYCHJS. doi: 10.29039/2413-5577-2023-2-6-20
- Вопросы теплового и динамического взаимодействия в системе море – атмосфера – суша Черноморского региона / Л. А. Ковешников [и др.] // Экологическая безопасность прибрежной и шельфовой зон и комплексное использование ресурсов шельфа. Севастополь : ЭКОСИ-Гидрофизика, 2001. Вып. 3. С. 9–52. EDN ZCNMDR.
- Иванов В. А., Кузнецов А. С., Морозов А. Н. Мониторинг циркуляции прибрежных вод у Южного берега Крыма // Доклады Академии наук. 2019. Т. 485, № 4. С. 507–510. EDN AOQDNJ. doi:10/31857/S0869-56524854507-510
- Ефимов В. В., Шокуров М. В., Барабанов В. С. Физические механизмы возбуждения ветровой циркуляции внутренних морей // Известия РАН. Физика атмосферы и океана. 2002. Т. 38, № 2. С. 247–258.
- Ефимов В. В., Барабанов В. С., Яровая Д. А. Мезомасштабные процессы в атмосфере Черноморского региона // Мониторинг прибрежной зоны на Черноморском экспериментальном подспутниковом полигоне / Под ред. В. А. Иванова, В. А. Дулова. Севастополь : ЭКОСИ-Гидрофизика, 2014. С. 250–271. EDN TZMZJT.
- Ефимов В. В. Численное моделирование бризовой циркуляции над Крымским полуостровом // Известия РАН. Физика атмосферы и океана. 2017. Т. 53, № 1. С. 95–106. EDN YIUXVD. doi: 10.7868/S0002351517010047
- Ефимов В. В., Комаровская О. И. Возмущения, вносимые Крымскими горами в поля скорости ветра // Морской гидрофизический журнал. 2019. Т. 35, № 2. С. 134–146. EDN WEALEB. doi: 10.22449/0233-7584-2019-2-134-146
- Иванов В. А., Янковский А. Е. Динамика вод на шельфе Крыма в летний сезон // Морской гидрофизический журнал. 1994. № 3. С. 38–56.
- Иванов В. А., Белокопытов В. Н. Океанография Черного моря. Севастополь : ЭКОСИ-Гидрофизика, 2011. 209 с.
- Bondur V. G., Sabinin K. D., Grebenyuk Yu. V. Characteristics of inertial oscillations accor-ding to the experimental measurements of currents on the Russian shelf of the Black Sea // Izvestiya Atmospheric and Oceanic Physics. 2017. Vol. 53. P. 120–126. doi: 10.1134/S0001433816050030
- Химченко Е. Е., Серебряный А. Н. Внутренние волны на Кавказском и Крымском шельфах Черного моря (по летне-осенним наблюдениям 2011–2016 гг.) // Океанологические исследования. 2018. Т. 46, № 2. С. 69–87. EDN YPOJUL. doi: 10.29006/1564-2291.JOR-2018.46(2).7
- Internal waves study on a narrow steep shelf of the Black Sea using the spatial antenna of line temperature sensors / A. Serebryany [et al.] // Journal of Marine Science and Engineering. 2020. Vol. 8, iss. 11. 833. doi: 10.3390/jmse8110833
Дополнительные файлы








