Development of a calculation scheme of Russia’s gas system with a focus on Eastern Siberia and the Far East
- Авторлар: Kalinina Z.V.1, Dzyubina T.V.1, Ilkevich N.I.1
-
Мекемелер:
- Melentiev energy systems institute SB RAS
- Шығарылым: № 4 (2024)
- Беттер: 123-131
- Бөлім: Mathematical, information and intellectual technologies in the energy sector
- URL: https://bakhtiniada.ru/2413-0133/article/view/280598
- DOI: https://doi.org/10.25729/ESI.2024.36.4.012
- ID: 280598
Дәйексөз келтіру
Толық мәтін
Аннотация
The present geopolitical situation has caused a decrease in gas export volumes to Western countries. In this context, it is essential to explore the potential for redirecting gas flows to the east, including the domestic market and exports. Additionally, it is crucial to actively develop LNG supplies by sea. The future expansion of the gas system is planned using optimization calculations. It is impossible to build a detailed computational model of a system that sufficiently accurately describes all its components. The calculation scheme must have fewer nodes and connections compared to the detailed scheme, while still preserving all of its main characteristics.
Therefore, it is crucial to clarify the existing methods for aggregating the schemes and determining the indices of their components. The proposed methodology for aggregating the initial calculation scheme allows designing an expanded calculation scheme of the Unified gas system, which can then be used to perform calculations for the future development of the gas industry in Russia and its individual regions. The paper explores potential directions for the expansion of the gas transmission system and provides a detailed gas supply scheme for the eastern part of the country. The calculation scheme was developed for Russia’s Unified gas system with a specific focus on Eastern Siberia and the Far East to investigate the region’s development in conjunction with the country’s gas system.
Толық мәтін
Введение. В России около 300 предприятий добывают и транспортируют природный газ. Большинство из них связаны друг с другом и составляют Единую систему газоснабжения (ЕСГ). Она объединяет системы газоснабжения стран СНГ, Восточной и Западной Европы, сотрудничает с производителями газа в Средней Азии и поставляет газ в страны Северо-Восточной Азии. ЕСГ включает в себя: объекты добычи, переработки, транспорта, а также подземные хранилища и потребителей газа.
Однако, в настоящее время, из-за сложившейся геополитической ситуации и санкционного давления, имеется большая неопределенность в перспективах развития газовой отрасли. Сокращение поставок российского трубопроводного газа в Европу создает необходимость переориентации потоков газа: экспортных поставок с запада на восток, в страны Азиатско-Тихоокеанского региона; активное развитие транспорта сжиженного природного газа в акватории Северного морского пути; увеличение внутреннего потребления газа (газификация регионов страны); строительство и расширение газоперерабатывающих заводов (строительство ГПЗ в Ленинградской области, в Восточной Сибири и на Дальнем Востоке, увеличение мощностей в центральной России).
Поиск оптимального развития системы требует решения различных задач, в которых элементы системы рассматриваются с разной степенью детализации. Таким образом, разработка и уточнение методов упрощения газоснабжающих схем и технико-экономических характеристик их объектов крайне необходимы и актуальны.
Моделирование газоснабжающих систем включает в себя следующие этапы:
- формирование расчетной схемы;
- определение показателей существующих и новых объектов расчетной схемы, может включать прогнозирование спроса на оптовых рынках природного газа;
- сбор информации по годам расчетного периода.
Построение расчетной схемы газоснабжающей системы происходит путем укрупнения подробной схемы, при этом должны сохраняться все необходимые свойства первичной схемы.
1. Анализ методик моделирования газоснабжающих систем и их объектов. Масштабность и разрастание больших технических систем, в частности, газоснабжающей системы, обусловили необходимость создания укрупненных расчетных схем и определения показателей составляющих их объектов для комплексного рассмотрения и поиска оптимального пути их развития.
Обычно укрупненные расчетные схемы по системе создаются экспертным методом: на карту рассматриваемого региона наносятся основные потребители и источники газа, а также основные потоки газа и точки их пересечения. Схемы, созданные таким методом, обычно слишком упрощены и недостаточно точно раскрывают особенности газоснабжения некоторых регионов и субъектов страны. Существуют методы определения технико-экономических показателей для подробных [1, 2] и расчетных укрупненных схем [1, 3-5]. Так, в [2] описаны структура, состав и определение основных показателей объектов газоснабжающей системы, при этом они обычно рассчитываются как усредненные величины. В [3, 4] показаны подходы к укрупнению показателей из нижележащего уровня иерархии в более высокий уровень, используется метод сверток частных значений показателей. В [5] рассматривается итеративное агрегирование, согласно которому изучаются особенности системы, статистические данные и далее определяются основные показатели системы, задаются их весовые коэффициенты, с помощью которых и рассчитываются агрегированные характеристики. Использование этого метода ограничено невозможностью сбора огромного количества подробной исходной информации по системе.
Несмотря на отсутствие в мире аналога по размерам ЕСГ России, за рубежом также проводятся исследования развития больших газоснабжающих систем [6 – 11]. Достаточно подробный анализ и сравнение математических моделей газоснабжающих систем, созданных в разных странах, приводится в работах [12, 13]. Там же указывается на отсутствие прозрачности получения агрегированной сети в разных моделях. В работе [14] рассматриваются сети с различной степенью детализации, например, на уровне страны, города или района.
Ввод в эксплуатацию новых источников газа и газотранспортных связей занимает несколько лет, поэтому необходимо планировать развитие газоснабжающей системы на перспективу. Для этого создается избыточная расчетная схема, отражающая возможные варианты развития системы. Важным вопросом при этом является прогнозирование спроса на газ. Предлагаются различные методики для долгосрочного прогнозирования, основанные на изменении параметров экономического развития [15, 16], как на уровне страны, так и на региональном уровне с учетом местных особенностей [17].
За рубежом спрос на газ определяется, исходя из данных по площади и населению страны, используются удельные коэффициенты потребления газа на душу населения [14].
Анализ российского и зарубежного научно-практического опыта показывает, что проблема агрегирования газоснабжающих систем недостаточно изучена и не систематизирована.
В статье описывается моделирование газоснабжающей системы, а именно: создание ее расчетной схемы на основе данных по газотранспортным и газодобывающим предприятиям, а также магистральным газопроводам, поставкам СПГ морским путем, месторождениям, подземным хранилищам газа и потребителям. Предлагается алгоритм создания модельной расчетной схемы газоснабжающей системы до уровня субъектов РФ. С помощью предложенного алгоритма подробные схемы системы газоснабжения преобразуются в более простые, содержащие значительно меньшее число объектов, что делает их удобным для визуализации результатов расчетов и выполнения исследований, при этом достаточно точно отображаются основные показатели объектов системы. На основе предложенного алгоритма агрегирования создается схема ЕСГ с детализацией Восточной Сибири и Дальнего Востока.
2. Алгоритм создания расчетной схемы газоснабжения. В данной работе система газоснабжения рассматривается, как многоуровневая модель: 1-ый уровень – магистральные газопроводы и маршруты морским транспортом, месторождения, подземные хранилища газа; 2-ой уровень – газодобывающие и газотранспортные предприятия; 3-ий уровень – ЕСГ РФ. Определение оптимальных параметров развития ЕСГ: объемов и направлений транспорта газа по системе, издержек на транспорт и добычу, последовательности введения новых объектов добычи и транспорта проводится на верхнем уровне (ЕСГ) с помощью оптимизационной потоковой модели. Для расчетов требуется исходная информация, которая извлекается из статистических данных и расчетов уровней, находящихся ниже. Сначала рассматриваются технико-экономические характеристики элементов нижнего уровня (магистральные газопроводы, месторождения). Эти данные укрупняются, добавляются данные по газодобывающим и газотранспортным предприятиям, создается агрегированная расчетная схема.
Полученные расчетные данные верхнего уровня, при возникновении расхождений, согласуются с данными нижних уровней. Проводится следующий цикл расчетов, пока не будет найдено решение, приемлемое для всех уровней.
С помощью разработанного ранее алгоритма [18], показанного пошагово в табл. 1, получаем агрегированную расчетную схему ЕСГ, доведенную до уровня субъектов РФ. В итоге каждый субъект будет представлен одним узлом-потребителем, одним узлом-источником, если в субъекте есть месторождения. Сеть магистральных газопроводов и морские маршруты транспортировки между узлами будут представлены дугами в однониточном исполнении.
Таблица 1. Алгоритм создания расчетной схемы газоснабжающей системы
Шаг | Исходная схема | Полученная схема |
Обозначение в каждом субъекте основных узлов ветвления. Выделяем на схеме узлы, из которых потоки идут в трех направлениях и более (количество смежных узлов≥3) |
| |
Обозначение основных узлов потребителей и узлов ветвления 1. Выделяем в каждом субъекте узлы с максимальной потребностью, совмещаем со смежными узлами ветвления. 2. Суммируем потребность в газе субъекта. 3. При необходимости оставляем основной узел ветвления в субъекте (если он не совпадает с узлом потребителем). |
|
|
Обозначение узлов источников 1. Наносим узлы источники по границам действия ГДП 2. Определяем суммарную добычу месторождений ГДП. 3. Определяем цену добычи газа в узлах источниках. | Рис. 3 к Таблице 1 |
|
Нанесение газотранспортных связей 1. Представляем многониточные МГ или транспорт СПГ по морскому пути в однониточные дуги. 2. Определяем пропускную способность полученных дуг и их длины. 3. Определяем цены транспорта газа по дугам графа. |
|
|
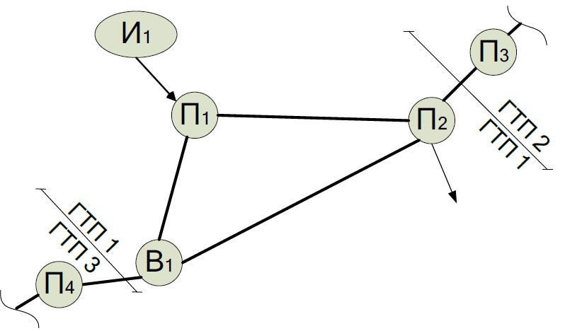
Объединение полученных агрегированных схем ГТП Соединяем агрегированные схемы по границам действия ГТП. |
|
|
Формирование избыточной схемы Добавляем в схему проекты новых газотранспортных систем, готовящихся к разработке месторождений и потенциальных потребителей. |
|
|
В соответствии с таблицей 1 результирующие значения по спросу на газ (шаг 2), добыче (шаг 3), пропускной способности и длине магистральных газопроводов или объемов морской перевозки СПГ (шаг 4) для агрегированной схемы ГСС определяются суммированием соответствующих значений подробной схемы, исходя из условия их равенства в исходной и агрегированной схемах.
3. Создание расчетной схемы ЕСГ для проведения исследований её развития. В настоящее время из-за сложившейся геополитической ситуации значительно снижены объемы поставок газа в Европу, остро встал вопрос о диверсификации поставок.
В связи с этим существуют следующие возможности реализации газа:
- Разворот на восток:
- Развитие транспорта СПГ в акватории Северного морского пути для снабжения рынков потребителей Крайнего Севера, Дальнего Востока и стран АТР.
- Строительство газопроводов в Китай.
- Развитие газовой промышленности внутри РФ:
- Строительство в РФ мощных газоперерабатывающих предприятий, которые будут использовать природный газ, как сырье.
- Развитие инженерных коммуникаций газоснабжения жилых и промышленных комплексов Восточной Сибири и Дальнего Востока.
В представленных направлениях сделан упор на активное развитие ГСС северных и восточных регионов РФ.
Уровень детализации расчетной схемы зависит от поставленной задачи и от степени детализации доступных исходных данных по объектам газоснабжающей системы. Допустимо делать акцент на отдельных регионах и представлять их на схеме более детально. В таком случае развитие обозначенных регионов будет рассматриваться в комплексе с развитием всей системы газоснабжения страны. Для исследования развития восточного направления, учитывающего программы газификации Восточной Сибири и Дальнего Востока, а также развития транспорта СПГ в акватории Северного морского пути, составлена подробная схема этих регионов, рис.1. На основе данных ПАО «Газпром», ПАО «НК Роснефть» и ПАО «Новатэк» на карту рассматриваемых регионов нанесены месторождения, существующие и проектируемые магистральные газопроводы, подземные хранилища и населенные пункты, через которые либо уже идут поставки газа, либо планируются в будущем (потенциальные потребители газа).
Рис. 1. Подробная схема ГСС Восточной Сибири и Дальнего Востока
На основе предложенного алгоритма была составлена более детальная избыточная расчетная схема восточного крыла (схема Восточной Сибири и Дальнего Востока) и добавлена к расчетной схеме ЕСГ (агрегированной до уровня субъектов РФ), рис. 2. Помимо магистральных газопроводов, на схему добавлены поставки СПГ морским транспортом [19].
Представленная методика используется для разработки детальной схемы развития экспортных поставок российского СПГ в восточных направлениях.
Полученная расчетная схема позволяет с помощью сетевой потоковой модели проводить оценку возможностей развития системы газоснабжения России с учетом обеспечения потребности внутреннего рынка и заданных экспортных поставок в страны ближнего и дальнего зарубежья, а также рассчитывать квазидинамику развития системы газоснабжения России на средне- и долгосрочную перспективу.
Рис. 2. Избыточная расчетная схема ЕСГ РФ с детализацией северных и восточных регионов РФ
Заключение.
- Проведен анализ методик агрегирования газоснабжающих систем и их объектов.
- Кратко изложен алгоритм создания расчетной схемы из реальной подробной схемы газоснабжающей системы, т.е. представления её в виде более простой схемы, характеризующейся меньшим числом узлов и связей.
- Рассмотрены актуальные направления развития ГСС страны в связи с новыми геополитическими условиями.
- Сформирована подробная схема газоснабжения Восточной Сибири и Дальнего Востока.
- С помощью предложенного алгоритма для преобразования реальной схемы ГСС в более простую создана расчетная схема ЕСГ с детализацией северных и восточных регионов РФ. На схему добавлен морской транспорт СПГ.
Благодарности. Работа выполнена в рамках проекта государственного задания (№ FWEU-2021-0002) программы фундаментальных исследований РФ на 2021-2030 гг. Регистрационный номер: АААА-А21-121012090012-1.
Авторлар туралы
Zhanna Kalinina
Melentiev energy systems institute SB RAS
Хат алмасуға жауапты Автор.
Email: tvleo@isem.irk.ru
SPIN-код: 2281-2096
Ph.D., researcher
Ресей, IrkutskTatyana Dzyubina
Melentiev energy systems institute SB RAS
Email: tvleo@isem.irk.ru
SPIN-код: 1754-8118
Ph.D. Senior researcher
Ресей, IrkutskNikolay Ilkevich
Melentiev energy systems institute SB RAS
Email: tvleo@isem.irk.ru
SPIN-код: 1447-3862
Dr.Sc., Chief Researcher at the Department of Pipeline Energy Systems
Ресей, IrkutskӘдебиет тізімі
- Ilkevich N.I., Dzyubina T.V., Kalinina Zh.V. Mnogourovnevoe modelirovanie razvitiya sistem gazosnabzheniya [Multilevel modeling of the gas system development]. Novosibirsk, Nauka [Science], 2014, 217 p.
- Dunaev V.F., Shpakov V.A., Lyndin V.N. et al. Ekonomika predpriyatij (organizacij) neftyanoj i gazovoj promyshlennosti [Economics of enterprises (organizations) of the oil and gas industry]. Moscow: TsentrLitNefteGaz Publ. [CenterLitOilGas], 330 p., 2015.
- Kozlov V.V., Lagun A.V., Mironov E.A. et al. Agregirovanie pokazatelej svojstv slozhnyh tekhnicheskih sistem na osnove informacionnoj svertki [Aggregation of indicators of characteristics for complex engineering systems based on information convolution]. Informatsiya i kosmos [Information and Space], no. 3, pp. 44-48, 2018.
- V.V. Kozlov [et al.] Osobennosti ocenivaniya svojstv slozhnyh tekhnicheskih sistem na etape proektirovaniya [Specific features of evaluating the properties of complex engineering systems at the design stage]. Informatsionno-ekonomicheskiye aspekty standartizatsii i tekhnicheskogo regulirovaniya [Information and economic aspects of standardization and technical regulation], 2017, no. 4 (38), EDN: ZGRZXD.
- Dudkin L.M. Iterativnoe agregirovanie i ego primenenie v planirovanii [Iterative aggregation and its application in planning]. Moscow, Ekonomika [Economy] , 328 p, 1979.
- Ten year network development plan 2024. Available at: https://www.entsog.eu/sites/default/files/2023-09/Draft%20Guidelines%20for%20Project%20Inclusion%20for%20TYNDP%202024.pdf (accessed: 11/17/2023).
- In focus: EU energy security and gas supplies. Available at: https://energy.ec.europa.eu/news/focus-eu-energy-security-and-gas-supplies-2024-02-15_en(accessed: 02/27/2024).
- Mironova I.Y. Gazovye rynki stran Vostochnoj Azii [Gas markets in East Asia], ENERPO, 2016, available at: https://eusp.org/sites/default/files/archive/centres/ENERPO_RC/Reports/2016-08-16_WP_Mironova.pdf (accessed: 03/15/2021)
- Gas market report 2023. Available at: https://www.iea.org/reports/gas-market-report-q1-2023 (accessed: 01/26/2024)
- Global gas report 2023. Available at:https://safety4sea.com/wp-content/uploads/2023/10/IGU-Global-Gas-Report_2023_10.pdf (accessed: 01/26/2024)
- Inman M., Aitken G., Zimmerman S. Global energy monitor. San Francisco, April 2021, 25 p., available at: https://globalenergymonitor.org/wpcontent/uploads/2021/03/GEM-Europe-Gas-Tracker-Report-2021.pdf (accessed: 04/11/2022)
- Hobbs B.F. Imperfect models of imperfect competition in EU gas markets: great potential, great shortcomings, University of Cambridge, 2010, pp. 12.
- Smeers Y. Gas models and three difficult objectives. University Catholique de Louvain, 2008, pp. 59.
- Carvalho R., Buzna L., Bono F., Masera M. et al. Resilience of natural gas networks during conflicts, crises and disruptions. PLoS ONE, 2014, pp. 9, doi: 10.1371/journal.pone.0090265.
- Medvedeva E.A., Nikitin V.M. Energopotreblenie i uroven' zhizni [Energy consumption and living standards]. Novosibirsk: Nauka [Science], 137 p, 1991.
- Prognoz razvitiya energetiki mira i Rossii 2019 [Forecast for the energy development in the world and Russia 2019]. ed. by A.A. Makarov, T.A. Mitrova, V.A. Kulagin; INEI RAN–Moskovskaya shkola upravleniya SKOLKOVO [ERI RAS, Moscow school of management SKOLKOVO], 2019, 210 p., ISBN 978-5-91438-028-8.
- Kononov Yu. D., Galperova E.V., Kononov D.Yu. et al. Metody i modeli prognoznyh issledovanij vzaimosvyazej energetiki i ekonomiki [Methods and models for predictive studies of the relationship between energy and economics]. Novosibirsk: Nauka [Science], 178 pp., 2009.
- Kalinina Zh.V., Dzyubina T.V., Ilkevich N.I. A metod to aggregate schemes of gas systems for an in-depth study of their expansion. Energy systems research, 2022, vol.5. no. 1, рp.21-30.
- Rasporyazheniye Pravitel'stva RF ot 16.03.2021 N 640-r “O dolgosrochnoy programme razvitiya proizvodstva szhizhennogo prirodnogo gaza v Rossiyskoy Federatsii” [Order of the Government of the Russian Federation dated March 16, 2021 N 640-r “On the long-term program for the development of liquefied natural gas production in the Russian Federation.”]
Қосымша файлдар















