НОВЫЕ ФЛУОРЕСЦЕНТНЫЕ МАТЕРИАЛЫ НА ОСНОВЕ ПОЛИСИЛОКСАНОВ И БИС-β-ДИКЕТОНАТОВ БОРА
- Авторы: Ким Э.Е.1, Ильина Т.М.1,2, Кононевич Ю.Н.1, Ионов Д.С.3, Ханин Д.А.1, Никифорова Г.Г.1, Музафаров А.М.1,4
-
Учреждения:
- Институт элементоорганических соединений им. А.Н. Несмеянова Российской академии наук
- Российский химико-технологический университет им. Д.И. Менделеева
- Центр фотохимии ФНИЦ “Кристаллография и фотоника” Российской академии наук
- Институт синтетических полимерных материалов им. Н.С. Ениколопова Российской академии наук
- Выпуск: Том 65, № 2 (2023)
- Страницы: 284-294
- Раздел: Статьи
- URL: https://bakhtiniada.ru/2308-1147/article/view/232928
- DOI: https://doi.org/10.31857/S2308114723700371
- EDN: https://elibrary.ru/GCBIOS
- ID: 232928
Цитировать
Полный текст
Аннотация
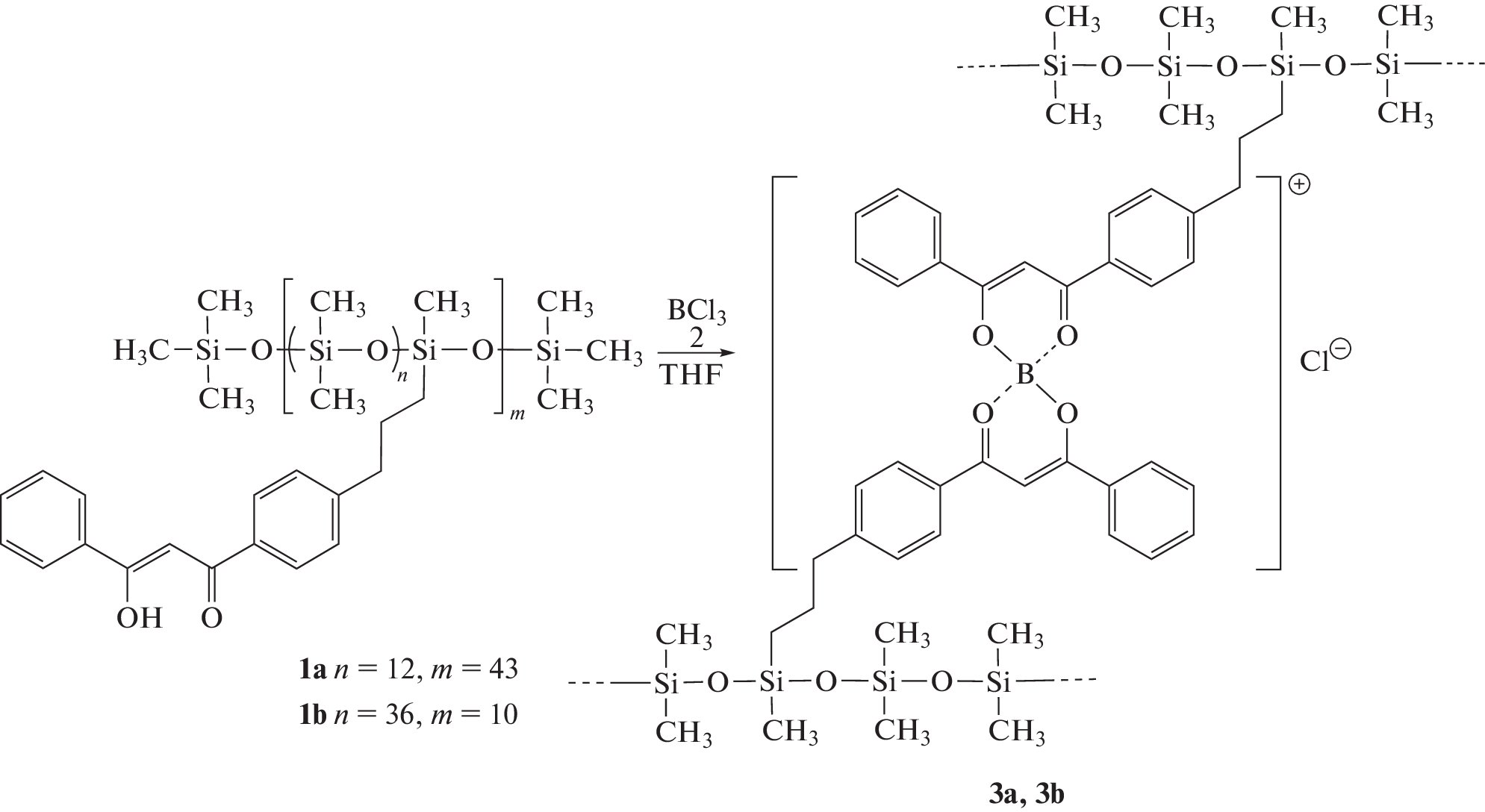
Впервые получены сшитые полисилоксаны с комплексами бис-дибензоилметаната бора, выполняющими функцию узлов сшивки полимерных сеток; изучены их физико-химические, механические, термические и флуоресцентные свойства. Показано, что исследуемые полимеры проявляют эластичные свойства, демонстрируют высокую термическую и термоокислительную стабильность, а также обладают интенсивной флуоресценцией в широком диапазоне длины волн (400–700 нм).
Об авторах
Э. Е. Ким
Институт элементоорганических соединений им. А.Н. Несмеянова Российской академии наук
Email: kononevich.yuriy@gmail.com
Россия,
119334, Москва, ул. Вавилова, 28
Т. М. Ильина
Институт элементоорганических соединений им. А.Н. Несмеянова Российской академии наук; Российский химико-технологический университет им. Д.И. Менделеева
Email: kononevich.yuriy@gmail.com
Россия,
119334, Москва, ул. Вавилова, 28; Россия,
125047, Москва, Миусская пл., 9
Ю. Н. Кононевич
Институт элементоорганических соединений им. А.Н. Несмеянова Российской академии наук
Email: kononevich.yuriy@gmail.com
Россия,
119334, Москва, ул. Вавилова, 28
Д. С. Ионов
Центр фотохимии ФНИЦ “Кристаллография и фотоника” Российской академии наук
Email: kononevich.yuriy@gmail.com
Россия,
119421, Москва, ул. Новаторов, 7а
Д. А. Ханин
Институт элементоорганических соединений им. А.Н. Несмеянова Российской академии наук
Email: kononevich.yuriy@gmail.com
Россия,
119334, Москва, ул. Вавилова, 28
Г. Г. Никифорова
Институт элементоорганических соединений им. А.Н. Несмеянова Российской академии наук
Email: kononevich.yuriy@gmail.com
Россия,
119334, Москва, ул. Вавилова, 28
А. М. Музафаров
Институт элементоорганических соединений им. А.Н. Несмеянова Российской академии наук; Институт синтетических полимерных материалов им. Н.С. Ениколопова Российской академии наук
Автор, ответственный за переписку.
Email: kononevich.yuriy@gmail.com
Россия,
119334, Москва, ул. Вавилова, 28; Россия,
117393, Москва, Профсоюзная ул., 70
Список литературы
- Wei S., Li Z., Lu W., Liu H., Zhang J., Chen T., Tang B.Z. // Angew. Chemie Int. Ed. 2021. V. 60. № 16. P. 8608.
- Ahumada G., Borkowska M. // Polymers (Basel). 2022. V. 14. № 6. P. 1118.
- Cichosz S., Masek A., Zaborski M. // Polym. Test. 2018. V. 67. P. 342.
- Calvino C., Guha A., Weder C., Schrettl S. // Adv. Mater. 2018. V. 30. № 19. P. 1704603.
- Du X., Wang C., Wu G., Chen S. // Angew. Chemie Int. Ed. 2021. V. 60. № 16. P. 8585.
- Birchall L., Foerster A., Rance G.A., Terry A., Wildman R.D., Tuck C.J. // Sensors Actuators. A. 2022. V. 347. P. 113977.
- Alday J., Mazzeo A., Suarez S. // Inorg. Chim. Acta. 2020. V. 510. P. 119696.
- Chen P.-Z., Niu L.-Y., Chen Y.-Z., Yang Q.-Z. // Coord. Chem. Rev. 2017. V. 350. P. 196.
- Tanaka K., Chujo Y. // NPG Asia Mater. 2015. V. 7. № 11. P. e223.
- Loudet A., Burgess K. // Chem. Rev. 2007. V. 107. № 11. P. 4891.
- Frath D., Massue J., Ulrich G., Ziessel R. // Angew. Chemie Int. Ed. 2014. V. 53. № 9. P. 2290.
- Li D., Zhang H., Wang Y. // Chem. Soc. Rev. 2013. V. 42. № 21. P. 8416.
- Yoshii R., Suenaga K., Tanaka K., Chujo Y. // Chem. Eur. J. 2015. V. 21. № 19. P. 7231.
- Sagawa T., Ito F., Sakai A., Ogata Y., Tanaka K., Ikeda H. // Photochem. Photobiol. Sci. 2016. V. 15. № 3. P. 420.
- Kononevich Y.N., Temnikov M.N., Korlyukov A.A., Volodin A.D., Dorovatovskii P.V., Sazhnikov V.A., Safonov A.A., Ionov D.S., Ivanov A.A., Surin N.M., Svidchenko E.A., Muzafarov A.M. // Chempluschem. 2020. V. 85. № 6. P. 1111.
- Morris W.A., Kolpaczynska M., Fraser C.L. // J. Phys. Chem. C. 2016. V. 120. № 39. P. 22539.
- Louis M., Piñero García C., Brosseau A., Allain C., Métivier R. // J. Phys. Chem. Lett. 2019. V. 10. № 16. P. 4758.
- Zhang L., Ma L.-L., Wang X., Zhao X.-Y. // J. Lumin. 2019. V. 214. № 2. P. 116560.
- Louis M., Sethy R., Kumar J., Katao S., Guillot R., Nakashima T., Allain C., Kawai T., Metivier R. // Chem. Sci. Royal Soc. Chem. 2019. V. 10. № 3. P. 843.
- Poon C.-T., Lam W.H., Wong H.-L., Yam V.W.-W. // J. Am. Chem. Soc. 2010. V. 132. № 40. P. 13992.
- Li Z., Wang D., Ramella D., Gao H., Cao H., Zhao Y., Miao Z., Yang Z., He W. // Polym. Chem. Royal Soc. Chem. 2020. V. 11. № 17. P. 3046.
- Zhuang M., Joshi S., Sun H., Batabyal T., Fraser C.L., Kapur J. // Sci. Rep. Nature Publ. Group UK. 2021. V. 11. № 1. P. 1076.
- Li Z., Pei Y., Hou S., Dai Y., Liu D., Zhu J., Zhu Y.-P., Liu X. // Dye. Pigment. Elsevier Ltd. 2020. V. 179. № 4. P. 108419.
- Kononevich Y.N., Sazhnikov V.A., Belova A.S., Korlyukov A.A., Volodin A.D., Safonov A.A., Yurasik G.A., Ionov D.S., Muzafarov A.M. // New J. Chem. 2019. V. 43. № 35. P. 13725.
- Ionov D., Yurasik G., Kononevich Y., Sazhnikov V., Muzafarov A., Alfimov M. // Procedia Eng. 2016. V. 168. P. 341.
- Ionov D.S., Sazhnikov V.A., Yurasik G.A., Antonov A.V., Kononevich Y.N., Alfimov M.V. // High Energy Chem. 2015. V. 49. № 3. P. 183.
- Brown N.M.D., Bladon P. // J. Chem. Soc. A. 1969. № 526. P. 526.
- Reynolds G.A., Chen C.H. // J. Heterocycl. Chem. 1985. V. 22. № 3. P. 657.
- Martin D. // Chem. Rev. 1944. V. 34. № 3. P. 461.
- Gerrard W., Lappert M.F. // Chem. Rev. 1958. V. 58. № 6. P. 1081.
- Barabás A., Işfan E., Roman M., Paraschiv M., Romaş E., Balaban A.T. // Tetrahedron. 1968. V. 24. № 3. P. 1133.
- Sui Z., Salto R., Li J., Craik C., Ortiz de Montellano P.R. // Bioorganic Med. Chem. 1993. V. 1. № 6. P. 415.
- Shao W.-Y., Cao Y.-N., Yu Z.-W., Pan W.-J., Qiu X., Bu X.-Z., An L.-K., Huang Z.-S., Gu L.-Q., Chan A.S.C. // Tetrahedron Lett. 2006. V. 47. № 24. P. 4085.
- Shi L., Gao L., Cai S., Xiong Q., Ma Z. // Eur. J. Med. Chem. 2021. V. 221. P. 113528.
- Banet P., Legagneux L., Hesemann P., Moreau J., Nicole L., Quach A., Sanchez C., Tranthi T. // Sensors Actuators. B. 2008. V. 130. № 1. P. 1.
- Chen X., Zhang X., Zhang G. // Chem. Commun. Royal Soc. Chem. 2015. V. 51. № 1. P. 161.
- Zhang X., Zhang G. // Anal. Methods. 2012. V. 4. № 9. P. 2641.
- Liang Y., Xu L., Qu F., Tang K., Wang H., Yu W.W. // Polym. Chem. 2019. V. 10. № 35. P. 4818.
- Toulokhonova I., Bjerke-Kroll B., West R. // J. Organometal. Chem. 2003. V. 686. № 1–2. P. 101.
- Benniston A.C., Copley G., Harriman A., Ryan R. // J. Mater. Chem. 2011. V. 21. № 8. P. 2601.
- Kasprzyk W., Krzywda P., Bednarz S., Bogdał D. // RSC Adv. 2015. V. 5. № 110. P. 90473.
- Chen J., Song L., Wu Y., Zhao B., Deng J. // ACS Appl. Polym. Mater. 2022. V. 4. № 6. P. 4264.
- Pakhomov A.A., Kononevich Y.N., Stukalova M.V., Svidchenko E.A., Surin N.M., Cherkaev G.V., Shchegolikhina O.I., Martynov V.I., Muzafarov A.M. // Tetrahedron Lett. 2016. V. 57. № 9. P. 979.
- Pakhomov A.A., Mironiuk V.B., Kononevich Y.N., Kor-lyukov A.A., Volodin A.D., Pryakhina T.A., Martynov V.I., Muzafarov A.M. // Mendeleev Commun. 2017. V. 27. № 4. P. 363.
- Pakhomov A.A., Kim E.E., Kononevich Y.N., Ionov D.S., Maksimova M.A., Khalchenia V.B., Maksimov E.G., Anisimov A.A., Shchegolikhina O.I., Martynov V.I., Muzafarov A.M. // Dye. Pigment. 2022. V. 203. P. 110371.
- Belova A.S., Khchoyan A.G., Il’ina T.M., Kononevich Y.N., Ionov D.S., Sazhnikov V.A., Khanin D.A., Nikiforova G.G., Vasil’ev V.G., Muzafarov A.M. // Polymers (Basel). 2022. V. 14. № 23. P. 5075.
- Kim E.E., Kononevich Y.N., Dyuzhikova Y.S., Ionov D.S., Khanin D.A., Nikiforova G.G., Shchegolikhina O.I., Vasil’ev V.G., Muzafarov A.M. // Polymers (Basel). 2022. V. 14. № 13. P. 2554.
- Kim E.E., Kononevich Yu.N., Anisimov A.A., Buzin M.I., Vasil’ev V.G., Korlyukov A.A., Ionov D.S., Khanin D.A., Shtykova E.V., Volkov V.V., Muzafarov A.M. // React. Funct. Polym. 2021. V. 164. P. 104896.
- Eaton D.F. // Pure Appl. Chem. 1990. V. 62. № 8. P. 1631.
- Sun X., Wang X., Li X., Ge J., Zhang Q., Jiang J., Zhang G. // Macromol. Rapid Commun. 2015. V. 36. № 3. P. 298.
- Fedorenko E.V., Behra M.K., Kanwishera N. // J. Fluoresc. 2016. V. 26. № 5. P. 1839.
- Khrebtov A.A., Fedorenko E.V., Mirochnik A.G. // Polymer (Guildf). 2022. V. 256. P. 125255.
Дополнительные файлы













