СОВРЕМЕННЫЕ ПОДХОДЫ К ПОЛУЧЕНИЮ ОРГАНОФУНКЦИОНАЛЬНЫХ СИЛСЕСКВИОКСАНОВ
- Авторы: Бредов Н.С.1, Киреев В.В.1, Поляков В.А.1, Сокольская И.Б.2, Есин А.С.1
-
Учреждения:
- Российский химико-технологический университет им. Д.И. Менделеева
- Государственный научно-исследовательский институт химии и технологии элементоорганических соединений
- Выпуск: Том 65, № 2 (2023)
- Страницы: 193-209
- Раздел: Статьи
- URL: https://bakhtiniada.ru/2308-1147/article/view/232911
- DOI: https://doi.org/10.31857/S2308114723700358
- EDN: https://elibrary.ru/YEFWCF
- ID: 232911
Цитировать
Полный текст
Аннотация
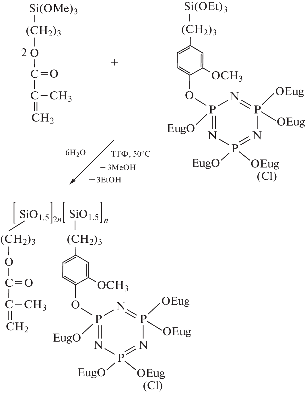
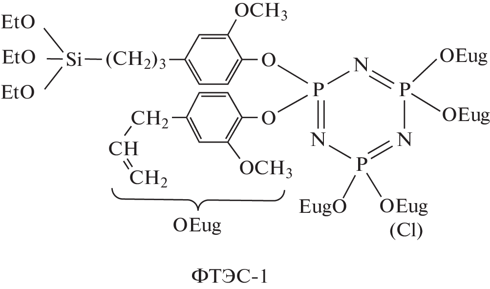
Рассмотрены современные исследования в области синтеза органофункциональных олигосилсесквиоксанов. Показаны взаимосвязи состава и строения олигомерных органосилсесквиоксанов с условиями их образования при гидролитической и ацидогидролитической поликонденсации органотриалкоксисиланов, содержащих в соединенных с атомами кремния органических радикалах различные функциональные группы – метакриловые, аминопропильные, карбоксильные, циклотрифосфазеновые и другие. Проведен сравнительный анализ подходов к синтезу органофункциональных не полностью конденсированных олигосилсесквиоксанов.
Об авторах
Н. С. Бредов
Российский химико-технологический университет им. Д.И. Менделеева
Email: koljabs@rambler.ru
Россия,
125047, Москва, Миусская пл., 9,
В. В. Киреев
Российский химико-технологический университет им. Д.И. Менделеева
Email: koljabs@rambler.ru
Россия,
125047, Москва, Миусская пл., 9,
В. А. Поляков
Российский химико-технологический университет им. Д.И. Менделеева
Email: koljabs@rambler.ru
Россия,
125047, Москва, Миусская пл., 9,
И. Б. Сокольская
Государственный научно-исследовательский институт химии и технологии элементоорганических соединений
Email: koljabs@rambler.ru
Россия, 111123, Москва, ш. Энтузиастов, 38
А. С. Есин
Российский химико-технологический университет им. Д.И. Менделеева
Автор, ответственный за переписку.
Email: koljabs@rambler.ru
Россия,
125047, Москва, Миусская пл., 9,
Список литературы
- Dudziec B., Zak P., Marciniec B. // Polymers. 2019. V. 11. P. 504.
- Bassindale A.R., Pourny M., Taylor P.G., Hursthouse M.B., Light M.E. // Angew. Chem. 2003. V. 115. № 30. P. 3612.
- Fina A., Tabuani D., Carniato F., Frache A., Boccaleri E., Camino G. // Thermochim. Acta. 2006. V. 440. № 1. P. 36.
- Hurkes N., Bruhn C., Belaj F., Pietschnig R. // Organometallics. 2014. V. 33. № 24. P. 7299.
- Chimjarn S., Kunthom R., Chancharone P., Sodkhomkhum R., Sangtrirutnugul P., Ervithayasuporn V. // Dalton Trans. 2015. V. 44. № 3. V. 916.
- Unno M., Suto A., Matsumoto T. // Russ. Chem. Rev. 2013. V. 82. № 4. P. 289.
- Zhang W., Camino G., Yang R. // Prog. Polym. Sci. 2017. V. 67. P. 77.
- Mori H. // Int. J. Polym. Sci. 2012. V. 2012. Art. ID 173624.
- Oleksy M., Galina H. // Ind. Eng. Chem. Res. 2013. V. 52. № 20. P. 6713.
- Bandyopadhyay P., Banerjee S. // Ind. Eng. Chem. Res. 2014. V. 53. № 47. P. 18273.
- Liu H., Zheng S. // Macromol. Rapid Commun. 2005. V. 26. № 3. P. 196.
- Han Z., Xi Y., Kwon Y. // J. Nanosci. Nanotechnol. 2016. V. 16. № 2. P. 1928.
- Abbasi M.R., Karimi M., Atai M. // Dent. Mater. 2021. V. 37. № 8. P. 1283.
- Lian X., Shi D., Ma J., Cai X., Gu Z. // Chin. Chem. Lett. 2018. V. 29. № 3. P. 501.
- Acar S.B., Tasdelen M.A., Karaagac B. // Iran. Polym. J. 2021. V. 30. № 7. P. 697.
- Liu L., Zhang W., Yang R. // Polym. Adv. Technol. 2020. V. 31. № 9. P. 2058.
- Zhao F., Huang Y. // J. Mater. Chem. 2011. V. 21. № 11. P. 3695.
- Zhang C., Wu G., Jiang H. // Compos. A. 2018. V. 109. P. 555.
- Wu G., Chen L., Liu L. // J. Mater. Sci. 2017. V. 52. № 2. P. 1057.
- Xu W., Hao L., An Q., Wang X. // J. Polym. Res. 2015. V. 22. № 2. P. 20.
- Li L., Feng S., Liu H. // RSC Adv. 2014. V. 4. № 74. P. 39132.
- Blanco I., Abate L., Bottino F.A. // J. Therm. Anal. Calorim. 2013. V. 112. № 1. P. 421.
- Knauer K.M., Brust G., Carr M., Cardona R.J., Lichtenhan J.D., Morgan S.E. // J. Appl. Polym. Sci. 2017. V. 134. № 7. P. 44462.
- Yuasa S., Sato Y., Imoto H., Naka K. // J. Appl. Polym. Sci. 2018. V. 135. № 12. P. 46033.
- Igarashi A., Ueda Y., Katoh R., Imoto H., Naka K. // J. Polym. Sci. 2021. V. 59. № 2. P. 131.
- Wu X., Sun Y., Xie W., Liu Y., Song X. // Dent. Mater. 2010. V. 26. № 5. P. 456.
- Burujeny S.B., Yeganeh H., Atai M., Gholami H., Sorayya M. // Dent. Mater. 2017. V. 33. № 1. P. 119.
- Zelmer C., Wang D.K., Keen I., Hill D.J.T., Symons A.L., Walsh L.J., Rasoul F. // Dent. Mater. 2016. V. 32. № 4. P. e82.
- Emerging Nanotechnologies in Dentistry (sec. ed.) / Eds by S. Karthikeyan, A. Waqar. Amsterdam: Elsevier, 2018.
- Canellas T.A.T., de Almeida Neves A., dos Santos I.K.B., de Rezende A.R.P., Fellows C.E., da Silva E.M. // J. Mech. Behav. Biomed. Mater. 2019. V. 90. P. 566.
- Pramudya I., Rico C.G., Lee C., Chung H. // Biomacromolecules. 2016. V. 17. № 12. P. 3853.
- Du Y., Liu H. // Dalton Trans. 2020. V. 49. № 17. P. 5396.
- Loman-Cortes P., Binte Huq T., Vivero-Escoto J.L. // Molecules. 2021. V. 26. № 21. P. 6453.
- Ghanbari H., Cousins B.G., Seifalian A.M. // Macromol. Rapid Commun. 2011. V. 32. № 14. P. 1032.
- Naderi N., Madani S.Y., Mosahebi A., Seifalian A.M. // Nano Reviews. 2015. V. 6. № 1. P. 28297.
- Feher J.F., Wyndham D.K., Soulivong D., Nguyen F. // J. Chem. Soc., Dalton Trans. 1999. № 9. P. 1491.
- Fabritz S., Heyl D., Bagutski V., Empting M., Rikowski E., Frauendorf H., Balog I., Fessner W.-D., Schneider J.J., Jorg J., Avrutina O., Kolmar H. Towards // Org. Biomol. Chem. 2010. V. 8. № 9. P. 2212.
- Heyl D., Rikowski E., Hoffmann R.C., Schneider J.J., Fessner W.-D. // Chem. Eur. J. 2010. V. 16. № 19. P. 5544.
- Kim Y.-J., Lee H.-I., Kim J.-K., Kim C.-H., Kim Y.-J. // Colloids Surf. B. 2020. V. 189. P. 110829.
- Wang K., Peng H., Thurecht K.J., Whittaker A.K. // Macromol. Chem. Phys. 2016. V. 217. P. 2262.
- Strauch H., Engelmann J., Scheffler K., Mayer H.A. // Dalton Trans. 2016. V. 45. № 38. P. 15104.
- Chen M., Zhang Y., Xie Q., Zhang W., Pan X., Gu P., Zhou H., Gao Y., Walther A., Fan X. // ACS Biomater. Sci. Eng. 2019. V. 5. № 9. P. 4612.
- Chatterjee S., Ooya T. // Materials. 2019. V. 12. № 7. P. 1058.
- Ivanov A.G., Kopylov V.M., Ivanova V.L., Kovyazin V.A., Sokol’skaya I.B., Khazanov I.I. // Russ. J. Gen. Chem. 2012. V. 82. № 1. P. 66.
- Bredov N.S., Shporta E.Yu., Liu Y., Kireev V.V., Bori-sov R.S., Gorlov M.V., Posokhova V.F., Chuev V.P. // Polymer Science B. 2013. V. 55. № 7–8. P. 472.
- Ivanov A.G., Kopylov V.M., Kireev V.V., Borisov R.S., Gerasimov K.L., Bilichenko Yu.V. // Polymer Science B. 2015. V. 57. № 1. P. 9.
- Kalinina A., Strizhiver N., Vasilenko N., Perov N., Demchenko N., Muzafarov A. // Silicon. 2015. V. 7. № 2. P. 95.
- Bychkova A.A., Soskov F.V., Demchenko A.I., Storozhenko P.A., Muzafarov A.M. // Russ. Chem. Bull. 2011. V. 60. № 11. P. 2384.
- Tatarinova E., Vasilenko N., Muzafarov A. // Molecules. 2017. V. 22. P. 1768.
- Drozdov F.V., Krapivko A.L., Cherkaev G.V., Gervits L.L., Yashtulov N.A., Kalinina A.A., Muzafarov A.M. // J. Organomet. Chem. 2020. V. 921. P. 121398.
- Kalinina A.A., Talalaeva E.V., Demchenko A.I., Vasilenko N.G., Molodtsova Yu.A., Demchenko N.V., Muza-farov A.M. // Russ. Chem. Bull. 2016. V. 65. № 4. P. 1013.
- Soldatov M.A., Sheremetyeva N.A., Serenko O.A., Muzafarov A.M. // Silicon 2015. V. 7. № 2. P. 211.
- Shkinev P., Evdokimova A., Drozdov F.V., Gervits L.L., Muzafarov A.M. // J. Organomet. Chem. 2021. V. 948. P. 121910.
- Bredov N.S., Shporta E.Yu., Gorlov M.V., Kireev V.V., Filatov S.N., Posokhova V.F., Chuev V.P. // Polymer Science B. 2015. V. 57. № 5. P. 444.
- Bredov N.S., Soan L.P., Kireev V.V., Bykovskaya A.A., Sokol’skaya I.B., Gorlov M.V., Esin A.S., Bekmukhamedova S.R., Polyakov V.A. // Polymer Science B. 2017. V. 59. № 3. P. 240.
- Bredov N.S., Soan L.P., Kireev V.V., Bykovskaya A.A., Sokol’skaya I.B., Posokhova V.F., Klyukin B.V., Chuev V.P. // Russ. J. Appl. Chem. 2017. V. 90. № 4. P. 595.
- Bredov N.S., Bykovskaya A.A., Van Tuan N., Kireev V.V., Tupikov A.S., Sokol’skaya I.B., Posokhova V.F., Chuev V.P. // Polymer Science B. 2020. V. 62. № 3. P. 182.
- Kireev V.V., Posokhova V.F., Sokol’skaya I.B., Chuev V.P., Dyatlov V.A., Filatov S.N. // Polymer Science B. 2008. V. 50. № 3–4. P. 101.
- Bredov N.S., Nguyen V.T., Zaitseva D.S., Kireev V.V., Gorlov M.V., Sokol’skaya I.B., Polyakov V.A. // Polymer Science B. 2021. V. 63. № 4. P. 341.
- Нгуен В.Т. Дис. … канд. хим. наук. М.: РХТУ им. Д.И. Менделеева, 2021.
- Bredov N.S., Nguyen V.T., Zaitseva D.S., Kireev V.V., Gorlov M.V., Sokol’skaya I.B., Polyakov V.A. // Polymer Science B. 2021. V. 63. № 4. P. 350.
- Бредов Н.С. Дис. …канд. хим. наук. М.: РХТУ им. Д.И. Менделеева, 2011.
- van De Grampel J.C., Jekel A.P., Puyenbroek R., Arling T.J., Faber M.C., Fransen W., Meetsma A., Wübbels J.H. // Phosphorus, Sulfur Silicon Relat. Elem. 1993. V. 76. № 1–4. P. 215.
- Kireev V.V., Bredov N.S., Prudskov B.M., Mu J., Bo-risov R.S., Sokol’skaya I.B., Chuev V.P. // Polymer Science B. 2011. V. 53. № 1–2. P. 64.
- Zaikin V.G., Borisov R.S., Polovkov N.Yu., Filatov S.N., Kireev V.V. // Eur. J. Mass. Spectrom. 2009. V. 15. № 2. P. 231.
- Cai H., Zhang X., Xu K., Liu H., Su J., Liu X., Fu Y., Chen M. // Polym. Adv. Technol. 2012. V. 23. № 4. P. 765.
- Peng J., Xu K., Cai H., Wu J., Lin W., Yu Z., Chen M. // RSC Adv. 2014. V. 4. № 14. P. 7124.
- Oben D.T. PhD Thesis. Milton Keynes (UK): The Open University, 2016.
- Dutkiewicz M., Maciejewski H., Marciniec B. // Synthesis. 2009. V. 2009. № 12. P. 2019.
- Ervithayasuporn V., Chimjarn S. // Inorg. Chem. 2013. V. 52. № 22. P. 13108.
- Nishiyama N., Horie K., Asakura T. // J. Appl. Polym. Sci. 1987. V. 34. № 4. P. 1619.
- Smith K.A. // Macromolecules. 1987. V. 20. № 10. P. 2514.
- Abe Y., Gunji T. // Prog. Polym. Sci. 2004. P. 29. № 3. P. 149.
- Brochier Salon M.-C., Bardet M., Belgacem M.N. // Silicon Chem. 2008. V. 3. № 6. P. 335.
- Hoebbel D., Engelhardt G., Samoson A., Ujszaszy K., Smolin Yu.I. // Z. Anorg. Allg. Chem. 1987. V. 552. № 9. P. 236.
- Unno M., Suto A., Takada K., Matsumoto H. // Bull. Chem. Soc. Jpn. 2000. V. 73. № 1. P. 215.
- Spirk S., Nieger M., Belaj F., Pietschnig R. // Dalton Trans. 2009. № 1. P. 163.
- Unno M., Alias S.B., Saito H., Matsumoto H. // Organometallics. 1996. V. 15. № 9. P. 2413.
- Kahr J., Belaj F., Pietschnig R. // Inorganics. 2017. V. 5. № 4. P. 66.
- Choi S.-S., Lee A.S., Hwang S.S., Baek K.-Y. // Macromolecules. 2015. V. 48. № 17. P. 6063.
- Abe Y., Gunji A., Arimitsu K. Pat. 2007015991A JP. 2007.
- Song Y.L., Choi J.Y., Lee M.H. Pat. 10501583B2 USA, 2019.
- Allcock H.R. // Dalton Trans. 2016. V. 45. № 5. P. 1856.
- Allcock H.R., Morozowich N.L. // Polym. Chem. 2012. V. 3. № 3. P. 578.
- Khan R.U., Wang L., Yu H., Zain-ul-Abdin, Akram M., Wu J., Haroon M., Ullah R.S., Deng Z., Xia X. // Russ. Chem. Rev. 2018. V. 87. № 2. P. 109.
- Allcock H.R., Coggio W.D. // Macromolecules. 1990. V. 23. № 6. P. 1626.
- Tong C., Tian Z., Chen C., Li Z., Modzelewski T., Allcock H.R. // Macromolecules. 2016. V. 49. № 4. P. 1313.
- Allcock H.R., Prange R. // Macromolecules. 2001. V. 34. № 20. P. 6858.
- Cassagneau T., Jones D.J., Roziere J. // J. Phys. Chem. 1993. V. 97. P. 8678.
- Olivera-Pastor P., Maireles-Torres P., Rodriguez-Castellon E., Jimenez-Lopez A., Cassagneau T., Jones J., Roziere J. // Chem. Mater. 1996. V. 8. № 8. P. 1758.
- Feher F.J., Wyndham K.D. // Chem. Commun. 1998. № 3. P. 323.
- Gravel M.-C., Zhang C., Dinderman M., Laine R.M. // Appl. Organometal. Chem. 1999. V. 13. № 4. P. 329.
- Yanagie M., Kaneko Y. // Polym. Chem. 2018. V. 9. № 17. P. 2302.
- Matsumoto T., Kaneko Y. // Bull. Chem. Soc. Jpn. 2019. V. 92. № 6. P. 1060.
- Matsumoto T., Kaneko Y. // J. Sol-Gel Sci. Technol. 2020. V. 95. № 3. P. 670.
- Kummari S.V.K.R., Kummara M.R., Palem R.R., Nagellea S.R., Shchipunov Y., Ha C.-S. // Polym. Int. 2015. V. 64. № 2. P. 293.
- Liu S., Lang X., Ye H., Zhang S., Zhao J. // Eur. Polym. J. 2005. V. 41. № 5. P. 996.
- John L., Janeta M., Rajczakowska M., Ejfler J., Lydzba D., Szafert S. // RSC Adv. 2016. V. 6. № 70. P. 66037.
- John L., Janeta M., Szafert S. // New J. Chem. 2018. V. 42. № 1. P. 39.
- Konuray A.O., Fernandez-Francos X., Serra A., Ramis X. // Eur. Polym. J. 2016. V. 84. P. 256.
- Gomez M.L., Fasce D.P., Williams R.J.J., Erra-Balsells R., Kaniz Fatema M., Nonami H. // Polymer. 2008. V. 49. № 17. P. 3648.
- Muh E., Marquardt J., Klee J.E., Frey H., Mulhaupt R. // Macromolecules. 2001. V. 34. № 17. P. 5778.
- Moszner N., Volkel T., von Clausbruch S.C., Geiter E., Batliner N., Rheinberger V. // Macromol. Mater. Eng. 2002. V. 287. № 5. P. 339.
- Kireev V.V., Chistyakov E.M., Filatov S.N., Tupikov A.S., Panfilova D.V., Chetverikova A.I. // Russ. J. Appl. Chem. 2015. V. 88. № 5. P. 866.
- Diaz-Garcia D., Ardiles P., Prashar S., Rodriguez-Dieguez A., Paez P., Gomez-Ruiz S. // Pharmaceutics. 2019. V. 11. № 1. P. 30.
- Jiang Z., Yuan L., Liang G., Gu A. // Polym. Degrad. Stab. 2015. V. 121. P. 30.
- Schafer S., Kickelbick G. // Polymer. 2015. V. 69. P. 357.
- Proupin-Perez M., Cosstick R., Liz-Marzan L.M., Salgueirino-Maceira V., Brust M. // Nucleosides Nucleotides Nucleic Acids. 2005. V. 24. № 5–7. P. 1075.
- Lu G.T., Huang Y. // J. Mater. Sci. 2002. V. 37. P. 2305.
- Kovyazin V.A., Nikitin A.V., Kopylov V.M., Sokol’skaya I.B. // Russ. J. Gen. Chem. 2003. V. 73. № 7. P. 1072.
- Kovyazin V.A., Nikitin A.V., Kopylov V.M., Sokol’skaya I.B. // Russ. J. Gen. Chem. 2007. V. 77. № 1. P. 47.
- Egorova E.V., Vasilenko N.G., Demchenko N.V., Tatarinova E.A., Muzafarov A.M. // Dokl. Chem. 2009. V. 424. № 1. P. 15.
- Abakumov G.A., Piskunov A.V., Cherkasov V.K., Fedushkin I.L., Ananikov V.P., Eremin D.B., Gordeev E.G., Beletskaya I.P., Averin A.D., Bochkarev M.N., Trifonov A.A., Dzhemilev U.M., D’yakonov V.A., Egorov M.P., Vereshchagin A.N., Syroeshkin M.A., Jouikov V.V., Muzafarov A.M., Anisimov A.A., Arzumanyan A.V., Kononevich Y.N., Temnikov M.N., Sinyashin O.G., Budnikova Y.H., Burilov A.R., Karasik A.A., Mironov V.F., Storozhenko P.A., Shcherbakova G.I., Trofimov B.A., Amosova S.V., Gusarova N.K., Potapov V.A., Shur V.B., Burlakov V.V., Bogdanov V.S., Andreev M.V. // Russ. Chem. Rev. 2018. V. 87. № 5. P. 393.
- Muzafarov A.M., Bystrova A.V., Vasilenko N.G., Ignat’eva G.M. // Russ. Chem. Rev. 2013. V. 82. № 7. P. 635.
- Sapozhnikov D.A., Vygodskii Ya.S. // Polymer Science B. 2015. V. 57. № 4. P. 275.
- Soldatov M.A., Sheremet’eva N.A., Kalinina A.A., Demchenko N.V., Serenko O.A., Muzafarov A.M. // Russ. Chem. Bull. 2014. V. 63. № 1. P. 267.
- Borisov K.M., Kalinina A.A., Bokova E.S., Ilyina M.N., Cherkaev G.V., Tatarinova E.A., Milenin S.A., Bystrova A.V., Moeller M., Muzafarov A.M. // Mendeleev Commun. 2022. V. 32. № 2. P. 164.
- Шпорта Е.Ю. Дис. … канд. хим. наук. М.: РХТУ им. Д.И. Менделеева, 2014.
- Asmussen S.V., Giudicessi S.L., Erra-Balsells R., Vallo C.I. // Eur. Polym. J. 2010. V. 46. № 9. P. 1815.
- Imai K., Kaneko Y. // Inorg. Chem. 2017. V. 56. № 7. P. 4133.
- Kaneko Y., Shoiriki M., Mizumo T. // J. Mater. Chem. 2012. V. 22. № 29. P. 14475.
Дополнительные файлы








































