Dielectric Mismatch Effects on Polyelectrolyte Solutions in Electrified Nanopores: Insights from Mean-Field Theory
- Authors: Budkov Y.A.1,2, Kalikin N.N.1,2
-
Affiliations:
- Laboratory of Computational Physics, HSE University
- .A. Krestov Institute of Solution Chemistry of the Russian Academy of Sciences
- Issue: Vol 65, No 1 (2023)
- Pages: 51-58
- Section: Articles
- URL: https://bakhtiniada.ru/2308-1147/article/view/139213
- DOI: https://doi.org/10.31857/S230811472370022X
- EDN: https://elibrary.ru/JTUJNY
- ID: 139213
Cite item
Full Text
Abstract
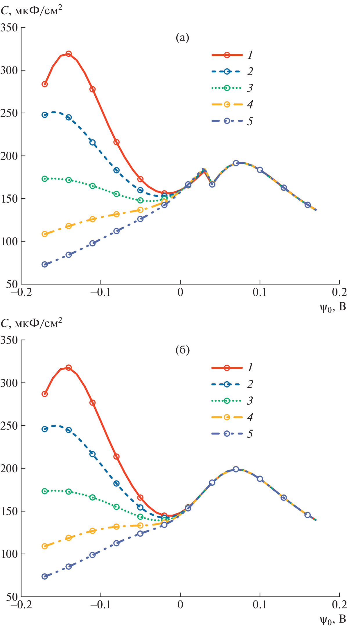
We utilize the self-consistent field theory to explore the mechanical and electrical properties of charged surfaces immersed in polyelectrolyte solutions that could be potentially useful for electrochemical applications. Our research focuses on how the dielectric heterogeneity of the solution could affect the disjoining pressure and differential capacitance of the electric double layer. Relying on the developed theoretical framework, based on the Noether’s theorem, we calculate the stress tensor, containing the term, arising from the conformational entropy of the polymer chains. With its help we compute the disjoining pressure in polyelectrolyte solution confined between two parallel charged surfaces and analyze its behavior as a function of separation between the surfaces for different values of dielectric mismatch parameter. We also calculate the differential capacitance of the electric double layer and discuss how dielectric heterogeneity of the polyelectrolyte solution influences its values.
About the authors
Yu. A. Budkov
Laboratory of Computational Physics, HSE University; .A. Krestov Institute of Solution Chemistry of the Russian Academy of Sciences
Email: ybudkov@hse.ru
123458, Moscow, Russia; 153045, Ivanovo, Russia
N. N. Kalikin
Laboratory of Computational Physics, HSE University; .A. Krestov Institute of Solution Chemistry of the Russian Academy of Sciences
Author for correspondence.
Email: ybudkov@hse.ru
123458, Moscow, Russia; 153045, Ivanovo, Russia
References
- Dobrynin A.V., Rubinstein M. // Progr. Polym. Sci. 2005. V. 30. № 11. P. 1049.
- Netz R.R., Andelman D. // Phys. Rep. 2003. V. 380. № 1–2. P. 1.
- Nishimura N., Ohno H. // Polymer. 2014. V. 55. № 16. P. 3289.
- Kornyshev A.A. // J. Phys. Chem. B. 2007. V. 111. № 20. P. 5545.
- Fedorov M.V., Kornyshev A.A. // Am. Chem. Soc. 2014. Text : electronic.
- Budkov Y.A., Kalikin N.N., Kolesnikov A.L. // Phys. Chem. Chem. Phys. 2022. V. 24. № 3. P. 1355.
- Kalikin N.N., Kolesnikov A.L., Budkov Y.A. // Curr. Opinion Electrochem. 2022. V. 36. P. 101134.
- Kolesnikov A.L., Mazur D.A., Budkov Y.A. // Epl. 2022. V. 140. № 1.
- Kolesnikov A.L., Budkov Y.A., Gor G.Y. // J. Phys. Condens. Matter. 2022. V. 34. № 6. P. 63002.
- Asnacios A., Espert A., Colin A., Langevin D. // Phys. Rev. Lett. 1997. V. 78. № 26. P. 4974.
- Salmi J., Osterberg M., Stenius P., Laine J. // Nordic Pulp Paper Res. J. 2007. V. 22. № 2. P. 249.
- Yethiraj A. // J. Chem. Phys. 1999. V. 111. № 5. P. 1797.
- Tadmor R., Hern’andez-Zapata E., Chen N., Pincus P., Israelachvili J.N. // Macromolecules. 2002. V. 35. № 6. P. 2380.
- Turesson M., Woodward C.E., Åkesson T., Forsman J. // J. Phys. Chem. B. 2008. V. 112. № 16. P. 5116.
- Åkesson T., Woodward C., Jönsson B. // J. Chem. Phys. 1989. V. 91. № 4. P. 2461.
- Podgornik R. // Chem. Phys. Lett. 1990. V. 174. № 2. P. 191.
- Budkov Y.A., Kalikin N.N. // Phys. Rev. E. 2023. V. 107. № 2. P. 24503.
- Khokhlov A.R., Kramarenko E.Y. // Macromol. Theor. Simul. 1994. V. 3. № 1. P. 45.
- Khokhlov A.R., Kramarenko E.Y. // Macromolecules. 1996. V. 29. № 2. P. 681.
- Kramarenko E.Y., Khokhlov A.R., Yoshikawa K. // Macromol. Theor. Simul. 2000. V. 9. № 5. P. 249.
- Kramarenko E.Y., Erukhimovich I.Y., Khokhlov A.R. // Macromol. Theor. Simul. 2002. V. 11. № 5. P. 462.
- Budkov Y.A., Kalikin N.N., Kolesnikov A.L. // Eur. Phys. J. E. 2017. V. 40. № 4.
- Borukhov I., Andelman D., Orland H. // Phys. Rev. Lett. 1997. V. 79. № 3. P. 435.
- Maggs A.C., Podgornik R. // Soft Matter. 2016. V. 12. № 4. P. 1219.
- Lifshitz I. // Soviet J. Experim. Theor. Phys. 1969. V. 28. № 6. P. 1280.
- Grosberg A.Y., Khokhlov A.R. // Stat. Phys. Macromol., Am. Inst of Physics, 1994.
- Borue V.Y., Erukhimovich I.Y. // Macromolecules. 1990. V. 23. № 15. P. 3625.
- Landau L.D., Lifshitz E.M. Statistical Physics. Oxford: Elsevier, 2013. V. 5.
- Hatlo M.M., Van Roij R., Lue L. // Epl. 2012. V. 97. № 2. P. 28010.
- Ландау Л.Д., Лифшиц Е.М. Электродинамика сплошных сред М.: Физматлит, 2005.
- Budkov Y.A., Kolesnikov A.L., Goodwin Z.A., Kiselev M.G., Kornyshev A.A. // Electrochim. Acta. 2018. V. 284. P. 346.
- Budkov Y.A., Kolesnikov A.L. // J. Stat. Mech.: Theory and Experiment. 2022. V. 2022. № 5. P. 53205.
- Brandyshev P.E., Budkov Y.A. // J. Chem. Phys. 2023. V. 158. № 17. P. 174114.
- Derjaguin B.V., Churaev N.V., Muller V.M. // Surf. Forces. 1987. P. 293.
- Budkov Y.A., Kolesnikov A.L. // Curr. Opin. Electrochem. 2022. V. 33. P. 100931.
- Podgornik R., Jönsson B. // Europhys. Lett. 1993. V. 24. № 6. P. 501.
- Podgornik R., Åkesson T., Jönsson B. // J. Chem. Phys. 1995. V. 102. № 23. P. 9423.
- Podgornik R., Livcer M. // Curr. Opin. Colloid Interface Sci. 2006. V. 11. № 5. P. 273.
- Budkov Y.A., Kolesnikov A.L., Kiselev M.G. // Europhys. Lett. 2015. V. 111. № 2. P. 28002.
- Budkov Y.A., Kolesnikov A.L., Kiselev M.G. // J. Chem. Phys. 2016. V. 144. № 18. P. 184703.
- Budkov Y.A., Sergeev A.V., Zavarzin S.V., Kolesnikov A.L. // J. Phys. Chem. C. 2020. V. 124. № 30. P. 16308.
- Budkov Y.A., Zavarzin S.V., Kolesnikov A.L. // J. Phys. Chem. C. 2021. V. 125. № 38. P. 21151.




