Роль аммиака в деструкции полипропиленкарбоната в условиях ускоренного компостирования
- Authors: Черникова Е.В.1,2, Трофимчук Е.С.1, Миронов В.В.3, Ефремова К.В.3, Плуталова А.В.1, Лысенко Е.А.1, Асаченко А.Ф.1,2, Ржевский С.А.2, Топчий М.А.2, Белецкая И.П.1
-
Affiliations:
- Московский государственный университет им. М.В. Ломоносова
- Институт нефтехимического синтеза им. А.В. Топчиева Российской академии наук
- Федеральный исследовательский центр “Фундаментальные основы биотехнологии” Российской академии наук
- Issue: Vol 66, No 4 (2024)
- Pages: 246-260
- Section: ДЕСТРУКЦИЯ ПОЛИМЕРОВ
- URL: https://bakhtiniada.ru/2308-1139/article/view/279932
- DOI: https://doi.org/10.31857/S2308113924040059
- EDN: https://elibrary.ru/MNCUZU
- ID: 279932
Cite item
Full Text
Abstract
Сополимеризацией рацемического пропиленоксида и диоксида углерода под действием саленового комплекса кобальта и хлорида бис-(трифенилфофсин)иминия) синтезирован атактический поликарбонат с содержанием карбонатных звеньев выше 99%. Изучена его биодеструкция в условиях ускоренного компостирования. Показано, что аммиак является основным абиотическим деградантом при компостировании полипропиленкарбоната. При этом деструкция полимера протекает с невысокой скоростью, сопровождается постепенным уменьшением его молекулярной массы и приводит к образованию пропиленгликоля.
Full Text
ВВЕДЕНИЕ
Экспоненциальный рост производства и потребления синтетических полимерных материалов приводит к экспоненциальному накоплению полимерных отходов [1]. Не будучи биоразлагаемыми, большинство синтетических полимеров медленно деструктирует под воздействием воды, кислорода воздуха, температуры и света, при этом период полного разложения составляет от десятков до сотен лет [2]. Накопление неразложившихся полимерных отходов и полуразложившихся полимеров в виде микропластика является серьезнейшей угрозой для экологии планеты и здоровья человека [3, 4].
Основная доля потребления полимерных материалов (порядка 40%) приходится на “короткоживущие” упаковочные и пленочные материалы, при этом ведущее место среди полимеров с коротким циклом использования принадлежит полиэтилену низкой плотности (ПЭНП) [1, 5]. Для упаковочных/пленочных полимеров кардинальным решением проблемы полимерного загрязнения является замена их на биодеградируемые аналоги, близкие к ним по механическим и потребительским свойствам [5–7].
В настоящее время наиболее перспективный кандидат для замены ПЭНП – полипропиленкарбонат (ППК) [8–13], впервые синтезированный S. Inoue в 1969 г. [14]. ППК близок по механическим свойствам к ПЭНП: полимеры имеют сопоставимые модули Юнга, пределы прочности на растяжение и величины удлинения при разрыве [9, 11, 13]. В отличие от кристаллического ПЭНП поликарбонат обычно атактический и является аморфным полимером с температурой стеклования не более 40 °С. Он существенно проигрывает ПЭПН по теплостойкости, термостойкости и стоимости производства [8–11, 13]. Эти факторы заметно ограничивают применение ППК как заменителя ПЭПН.
Вместе с тем ППК имеет ряд преимуществ перед ПЭПН. У поликарбоната существенно выше барьерные свойства по отношению к кислороду [8, 10, 12]. Кроме того, при производстве ППК утилизируется диоксид углерода (43% по весу от массы производимого полимера), и экономятся ценные нефтересурсы. Именно поэтому ППК все чаще используется для производства пищевой и мульчирующей пленки [10, 13], а его мировое производство уже превысило 150 тысяч тонн в год и продолжает монотонно расти со скоростью порядка 6% в год [15, 16].
Однако основное преимущество ППК над ПЭПН – его биодеградируемость, обусловленная сочетанием карбонатной группы и гибкого алифатического фрагмента в структуре основной цепи. Биодеградируемость ППК была продемонстрирована в ряде работ и в настоящее время является общепризнанным фактом [8–10, 12, 13, 17, 18]. Конечные продукты биодеградации ППК – Н2О и СО2, что полностью соответствует требованиям “зеленой” химии. С точки зрения академической науки ключевым вопросом при изучении биодеградируемости ППК являются понимание механизма этого процесса и обеспечение контроля над его скоростью в различных средах: почве, компосте, мусорном полигоне, морской воде и живых организмах.
Накопленный к настоящему времени экспериментальный материал свидетельствует об очень разной скорости деградации ППК в различных природных и модельных средах. В стерилизованных (прокаленных) увлажненных почвах [19], а также в воде и водно-органических растворах в области нейтральных, слабокислых или слабощелочных рН при умеренных температурах (20–40 °С) деградация ППК практически не происходит на протяжении всего периода наблюдений (от 1 до 8 месяцев) [20, 21]. В ряде случаев зафиксировано отсутствие биодеградации ППК в живых организмах in vivo [22]. Крайне медленная деградация ППК наблюдается в нестерилизованных (не подвергнутых термической обработке) почвах [19, 23, 24], в фосфатно-буферном растворе [24], в морской воде [25], а также в модельных водных растворах, содержащих различные группы ферментов [26, 27]. Так, при анализе ППК, помещенного в нестерилизованную почву, одни авторы наблюдали убыль массы пленки полимера в 8% за шесть месяцев эксперимента [19], другие – 10% за 24 месяца [24].
Наиболее быстрая деградация ППК происходила в компостных системах, содержащих пищевые отходы [8, 28, 29]. Однако и в этом случае скорость биодеградации сильно различалась. В работе [28] пленки ППК практически полностью биодеградировали за 90 дней, в работе [8] степень деградации за 95 дней оценивалась в 63%, а в недавно опубликованной работе [29] продолжительность этого процесса оценивается примерно в 1 год (экстраполированное значение).
Возможными причинами такого разброса данных могут быть отличия в молекулярных и химических характеристиках образцов ППК, использованных в экспериментах. К ним относятся молекулярная масса, ширина ММР, соотношение сложноэфирных и карбонатных групп в составе макромолекул, степень очистки полимера от остатков катализатора [18]. Установлено, что скорость биодеградации растет с уменьшением средней молекулярной массы полимера [30].
Другой возможной причиной является различное сочетание биологических и абиотических факторов, вызывающих биодеградацию в исследованных средах. Биодеградация представляет собой комплексный химико-биологический процесс, в котором тесно переплетено множество факторов, способных вызвать деградацию ППК [31]. К абиотическим факторам относятся прежде всего температура, рН и содержание воды. К биологическим факторам следует отнести воздействие внешних ферментов, выделяемых микроорганизмами, а также прямое поглощения клетками микроорганизмов фрагментов макромолекул с целью их переваривания. Оба типа деструкции (химическая и биологическая) могут действовать синергетически, а их относительный вклад может меняться во времени. Необходимо отметить, что из-за сложности процесса, несмотря на обширный экспериментальный материал, в настоящее время в литературе отсутствует однозначное понимание механизма процесса биодеструкции ППК в различных средах.
Мы считаем, что задача установления механизма биодеградации ППК и связанная с ней задача регулирования скорости процесса в различных средах должны осуществляться при одновременном мониторинге параметров среды (температуры, рН, количественного и качественного состава выделяющихся низкомолекулярных продуктов) и скорости изменения молекулярных и физико-химических параметров деградируемых полимеров (молекулярной массы, дисперсности, морфологии, тепло- и термостойкости и т.д.). Именно по корреляции таких изменений, дополняя их модельными экспериментами, можно понять детали механизма деструкции ППК и выявить факторы, определяющие скорость деструкции. Для этого естественно использовать детально охарактеризованный полимер.
Описанный выше подход был ранее развит нами и успешно применен для исследования биодеградации полилактида при стандартном компостировании и ускоренном компостировании с затравкой из уже созревшего компоста (инокулят) [32]. Было показано, что в обоих случаях действуют разные механизмы биодеградации. При стандартном компостировании вначале преобладают абиотические факторы (гидролиз водой), после чего наступает стадия микробиологического разложения полимера. Оба механизма действуют с умеренной скоростью. В случае ускоренного компостирования преобладает абиотический гидролизный механизм, который в условиях повышенной температуры, влажности и рН, приводит к заметному ускорению реакции разложения полимера.
В представленной статье разработанный нами подход был впервые применен для исследования биодеструкции ППК в условиях ускоренного компостирования с целью выяснения механизма этого процесса.
ЭКСПЕРИМЕНТАЛЬНАЯ ЧАСТЬ
Исходные вещества
Дихлорметан и диэтиловый эфир (“Компонент-реактив”, Россия) высушивали и дегазировали, пропуская через колонку с активированным оксидом алюминия и продувая сухим азотом. ТГФ (ч.д.а., “Компонент-реактив”, Россия) перегоняли над KOH. Рацемический 1,2-диаминоциклогексан (“Sigma-Aldrich”, 99%) и 3,5-ди-трет-бутилсалициловый альдегид (“Sigma-Aldrich”, 99%) применяли без дополнительной очистки. Для синтеза использовали диоксид углерода высокой чистоты (99.995%). Рацемический пропиленоксид (“Sigma-Aldrich”, для синтеза) высушивали над гидридом кальция, перегоняли в атмосфере аргона и переносили в виалу для проведения полимеризации под вакуумом. Все реакции, чувствительные к воздействию воздуха или воды, проводили в боксе в атмосфере сухого азота.
Катализатор (rac)-(salcy)CoOBzF5 (salcy = N,N'-бис-(3,5-ди-трет-бутилсалициден)-1,2-диаминоциклогексан) и сокатализатор хлорид бис-(трифенилфофсин)иминия) [PPN]Cl синтезировали по методикам, описанным в работе [33].
Синтез полимера
Смесь катализатора (rac)-(salcy)CoOBzF5 (0.014 ммоль) и сокатализатора [PPN]Cl (0.014 ммоль) растворяли в рацемическом пропиленоксиде (6 мл, 85.7 ммоль) в виале объемом 10 мл, снабженной магнитной мешалкой. Мольное отношение компонентов мономер : катализатор : сокатализатор составляло 6000 : 1 : 1. Смесь перемешивали до образования гомогенного раствора красно-коричневого цвета, после чего виалу помещали в предварительно высушенный автоклав объемом 100 мл и нагнетали СО2 до давления 2.5 МПа. Полимеризацию проводили при постоянном перемешивании при комнатной температуре. Через 64 ч реакцию останавливали, реакционную смесь растворяли в CH2Cl2/MeOH (10 : 1 по объему), полимер осаждали в диэтиловый эфир, отфильтровывали и сушили в вакууме до постоянной массы.
Подготовка образца и проведение компостирования
Пленку полипропиленкарбоната толщиной 100 мкм получали горячим прессованием на термопрессе индивидуальной конструкции при 130 °C и давлении 18 МПа в течение 10 мин с последующим охлаждением потоком воздуха с температурой 20 °C.
Компостирование образцов ППК в составе пищевых отходов проводили 28 дней в пилотной тестовой системе в соответствии с ISO 16929:2021, как описано в работе [34]. Пищевые отходы состояли из просроченных продуктов типичного состава, полученных на полномасштабном комплексе по переработке отходов (Московская область, координаты: 55°32′26″N, 38°4′46″E). Исследуемый компост содержал 28 мас. % инокулята. В качестве инокулята использовался зрелый компост, полученный путем компостирования твердых бытовых отходов в течение не менее 98 суток. Пленки ППК толщиной 100 мкм размером ~25 × 75 мм помещали в открытопористые губки из пенополиуретана (рис. 1а) и смешивали с пищевыми отходами (рис. 1б).
Рис. 1. Образцы ППК в пористых губках (а) и в составе компостной смеси из пищевых отходов (б) в эксперименте по исследованию биодеградации в реакционных емкостях. Цветные рисунки можно посмотреть в электронной версии
Для эксперимента одновременно использовали две реакционные емкости объемом 10 дм3 каждая (два параллельных опыта), в которых полностью воспроизводились условия спонтанного изменения температуры при контроле режима аэрации и компенсации тепловых потерь. В данном эксперименте на 7 и 14 сутки проводили дополнительное увлажнение субстрата для поддержания относительной влажности на уровне 35–45%.
В процессе компостирования следили за динамикой изменения физико-химических параметров субстрата: температурой, влажностью W, рН, содержанием аммонийного азота (N–NH4). Для измерения pH и N–NH4 готовили суспензию 10 г субстрата в 300 мл дистиллированной воды. Содержание N–NH4 определяли на спектрофотометре “Альтаир КФК-300УФ” (“Таглер”, Россия) с реактивом Несслера. Значения рН определяли на рН-метре 780 рН Meter (“Metrohm AG”, Швейцария). Содержание CO2, NH3 и H2S в газовом выбросе определяли на газоанализаторе МАГ-6 С-1 (“Эксис”, Россия). Конденсированную жидкость (конденсат) из газового выброса накапливали в колбах и периодически в ней анализировали рН и содержание N–NH4. Летучие органические соединения определяли методом газовой хроматографии на хроматографе “Хроматэк-Кристалл 5000” (“Хроматек”, Россия), оснащенном ПИД-детектором. Перед исследованиями пробы собранного конденсата предварительно центрифугировали на микроцентрифуге “Mini-15K” (“Allsheng”, Китай) и подкисляли муравьиной кислотой.
Методы исследования
Молекулярно-массовые характеристики полимера изучали методом ГПХ в ТГФ при 40 °C и скорости потока 1.0 мл/мин с использованием хроматографа “1260 Infinity II GPC/SEC Multidetector System” (“Agilent”, США), оборудованного двумя колонками PLgel 5 μm MIXED B. Молекулярную массу рассчитывали по калибровке по узкодисперсным стандартам ПММА в интервале ММ от 800 до 2 × 106. Спектры ЯМР регистрировали на приборе “Bruker Avance III HD” (“Bruker”, США, 400 MHz 1H, 101 MHz 13C) в CDCl3. ТГА осуществляли на приборе “TG50 Mettler Toledo” (“Mettler Toledo”, США) с микровесами M3 в токе воздуха (скорость потока 200 мл/мин) со скоростью нагревания 10 град/мин. Анализ полимера методом ДСК проводили с помощью калориметра “Netzsch DSC 204” (“Netzsch”, Германия) в атмосфере сухого аргона при скорости потока 100 мл/мин со скоростью нагревания 10 град/мин. Для изучения морфологии образцов ППК методом сканирующей электронной микроскопии (СЭМ) их прикрепляли к микроскопическому столику при помощи двустороннего углеродного скотча и напыляли слоем золота толщиной 25 нм на установке IB-3 (“Eiko”, Япония). Просмотр образцов проводили в Центре коллективного пользования “Коллекция UNIQEM” Федерального исследовательского центра Биотехнологии Российской академии наук на микроскопе “Jeol JSM-IT200” (“JEOL”, Япония) при ускоряющем напряжении 10 кВ.
РЕЗУЛЬТАТЫ И ИХ ОБСУЖДЕНИЕ
Характеристика полипропиленкарбоната
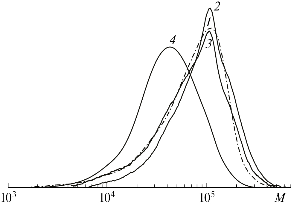
Саленовые комплексы кобальта показали себя эффективными катализаторами в синтезе полипропиленкарбоната [33]. В настоящей работе для синтеза ППК путем сополимеризации рацемического пропиленоксида и СО2 был использован рацемический комплекс (salcy)CoOBzF5 в качестве катализатора и [PPN]Cl в качестве сокатализатора. ППК, выделенный на предельных конверсиях пропиленоксида, характеризуется дисперсностью по ММ, близкой к двум (рис. 2, кривая 1; табл. 1, образец П1).
Рис. 2. Кривые ММР полипропиленкарбоната: 1 ‒ исходный (П1); 2 ‒ подвергнутый прессованию при 130 °С (П2); 3, 4 ‒ П2 после компостирования в течение 7 (3) и 28 дней (4)
Таблица 1. Характеристики ППК до (П1) и после прессования при 130 °С (П2)
Образец | Mn × 10‒3 | Mпик × 10‒3 | Đ | Тс, °С | Тд, °С | Процент карбонатных звеньев |
П1 | 71.4 | 109.9 | 1.86 | 37.0 | 201.7 | >99 |
П2 | 41.8 | 105.7 | 2.10 | 29.4 | 213.2 | >99 |
Согласно данным спектроскопии ЯМР (рис. 3а), ППК содержит исключительно карбонатные звенья; на это указывают сигналы при 4.98, 4.27–4.10 и 1.31 м.д. в спектре ЯМР 1Н. В спектре ЯМР 13С (рис. 3б) проявляются сигналы звеньев, соединенных голова–голова (~153.8–153.9 м.д.), голова–хвост (~154.2–154.3 м.д.) и хвост–хвост (~154.8 м.д.):
Рис. 3. Спектры ЯМР 1Н (а) и ЯМР 13С (б) ППК в CDCl3; 1 – П1, 2 – П2
Схема 1
Мольное отношение соединений голова–голова, хвост–хвост и голова–хвост составляет 1.0 : 1.1 : 7.5 соответственно. Сигналы триад [rr], [mr], [rm] и [mm] наблюдаются при 154.35, 154.31, 154.29 и 154.25 м.д. На рис. 3б видно, что триадное распределение звеньев близкое, т.е. ППК является атактическим полимером и характеризуется температурой стеклования Тс, равной 37.0 °С.
Для исследования деструкции ППК из него была получена пленка безрастворным методом, чтобы исключить влияние остаточного растворителя на деструкцию полимера. Горячее прессование ППК при 130 °С в течение 10 мин привело к формированию прозрачной пленки. Анализ химического строения и молекулярно-массовых характеристик пленки (рис. 2 и 3; табл. 1, образец П2) показал, что содержание карбонатных звеньев не изменилось, а ММР стало шире за счет появления протяженного олигомерного плеча, при этом наиболее вероятная ММ пика (Мпик) практически не изменилась. Температура стеклования образца П2 понизилась на ~8 °С. Это понижение мы связываем с частичной деполимеризацией ППК при горячем прессовании [35], которая приводит к выделению ~5–6% циклического пропиленкарбоната, пластифицирующего полимер. Последнее заключение подтверждается данными спектроскопии ЯМР.
Деструкция полипропиленкарбоната в условиях ускоренного компостирования
Известно [36], что процесс компостирования проходит несколько стадий. На начальном этапе (мезофильная фаза) наблюдается повышение температуры до 45 °С и понижение рН субстрата из-за накопления органических кислот – продуктов деятельности молочнокислых микроорганизмов. В результате активного роста микроорганизмов и их метаболизма процесс переходит в термофильную фазу, сопровождающуюся повышением температуры до 65°–75 °С и увеличением рН среды вследствие выделения аммиака. Именно на этой стадии, как правило, протекают основные абиотические и биотические процессы разложения полимерных отходов. По мере исчерпания пищевых ресурсов активность микроорганизмов начинает падать. Это приводит к понижению температуры до ~45 °С (фаза созревания), после чего формируется комплекс гуминовых кислот. Изменение описанных выше параметров в ходе ускоренного компостирования ППК в течение 28 дней приведено на рис. 4.
Рис. 4. Динамика изменения параметров компостирования в эксперименте по исследованию биодеградации ППК в составе пищевых отходов: температуры внутри камеры (1) и окружающей среды (2) (а), СО2 (б), H2S (в), массовой доли влаги в субстрате (г), содержания N–NH4 в субстрате (1) и конденсате (2) (д); рН субстрата (е), содержания (ж) и состава летучих органических соединений (ЛОС) в конденсате (з)
Видно, что мезофильная фаза длится примерно 1 сутки (рис. 4а). Уже через два дня температура в системе составляла около 60 °С, что свидетельствует о быстром переходе процесса компостирования в термофильную фазу. Важно отметить, что такая высокая температура (60°–75 °С) сохранялась на протяжении всего процесса деструкции ППК. При этом относительная влажность в течение первой недели уменьшалась с 50 до 40% и далее поддерживалась на уровне не менее 35% (рис. 4г). Это позволило обеспечить достаточно высокую активность микроорганизмов в субстрате, на что указывает уровень выделения СО2 в среднем на уровне 20 г сут‒1 кгОВ‒1 (ОВ – органическое вещество) (рис. 4б). Наиболее высокий уровень выделения углекислого газа составил около 40 г сут‒1 кгОВ‒1 и наблюдался на восемнадцатые сутки процесса. Значение рН в субстрате определяется отношением количеств органических кислот (уксусная, пропионовая, масляная, валериановая и другие), образующихся в основном в результате молочнокислого брожения углеводов, и аммиака, выделяющегося в процессе разложения белков. Во время всего срока компостирования рН субстрата изменялся в диапазоне 5.0–6.5 (рис. 4е), что хорошо коррелирует с содержанием аммонийного азота (рис. 4д). Важно отметить, что образующиеся органические кислоты и аммиак в виде аммонийных соединений также обнаруживаются в конденсате, который собирался в процессе аэрации субстрата и испарения воды после прохождения “отработанного” воздуха через установленные на выходе из установки стеклянные колбы. Это указывает на то, что летучие вещества также могли поглощаться полимером непосредственно из газовой фазы при компостировании и влиять на процесс деструкции полимера. Кроме того, в качестве летучего соединения в процессе компостирования в первые две недели происходило образование сероводорода в заметном количестве 2–3 м г сут‒1 кгОВ‒1.
Предположение о том, что летучие вещества могут поглощаться полимером, подтверждается анализом продуктов деструкции методом спектроскопии ЯМР 1Н (рис. 5). Наряду с сигналами, отвечающими протонам ППК, в спектре появляются слабые сигналы в области 0.8–1.4, 2.0–2.4, 3.4–3.8 и 7.0–7.5 м.д., которые могут отвечать летучим органическим кислотам и аммонийным соединениям. Интенсивность этих сигналов увеличивается с ростом продолжительности компостирования. При этом малоинтенсивные сигналы (4.80–4.89, 4.52–4.56 и 4.03–3.99 м.д.), отвечающие циклическому карбонату и наблюдавшиеся при анализе пленки, полученной прессованием при 130 °С, отсутствуют. Следовательно, циклический карбонат, обладающий достаточной подвижностью, вымывается из полимера в процессе компостирования.
Рис. 5. Спектры ЯМР 1Н полипропиленкарбоната в CDCl3 после компостирования в течение 7 (а) и 28 дней (б)
Таким образом, в процессе компостирования на протяжении всего эксперимента ППК находился во влажной среде при температуре выше температуры стеклования в атмосфере реакционно-активных газообразных продуктов, образующихся при разложении пищевых отходов, а также в присутствии активно развивающегося разнообразного микробного сообщества. Все эти факторы могут влиять на процесс деструкции полимера. На рис. 6 представлены фотографии образца ППК до и после компостирования в течение разного времени.
Рис. 6. Фотографии образца ППК до (а) и после компостирования в течение 7 (б), 15 (в) и 28 суток (г)
В условиях эксперимента в течение первой недели исходная прозрачная пленка ППК собирается в капли белого цвета. Исследование образцов ППК после компостирования методом электронной микроскопии (рис. 7) показывает, что на поверхности полимера образуется большое количество каверн размером 0.5–20 мкм уже после семи суток компостирования. Логично предположить, что действие достаточно высокой температуры (выше Тс на 30°–45 °С) и гидрофильной окружающей среды, неблагоприятной для гидрофобного полимера, вынуждает полимерный образец уменьшить свою поверхность – собраться в капли. Также подобные условия могут способствовать протеканию процессов гидролитической деструкции ППК и образованию пор. Через 28 дней на поверхности ППК помимо пор можно было обнаружить микроорганизмы сферической и палочкообразной формы. По-видимому, процесс деструкции ППК на начальных этапах протекает без участия микроорганизмов, под действием воды и летучих продуктов, образующихся при компостировании. А затем, когда поверхность полимера становится более гидрофильной, к процессу разложения полимера присоединяются микроорганизмы.
Рис. 7. СЭМ микрофотографии поверхностей образцов ППК до (а) и после компостирования в течение 7 (б) и 28 суток (в). Стрелкой отмечено скопление микроорганизмов
Для установления характера протекания процесса деструкции образцы ППК после компостирования были исследованы методом ГПХ (рис. 1, кривые 3 и 4). Наблюдается уменьшение доли олигомерной фракции в полимере, что приводит к слабому повышению Mn (до 52 × 103) и сужению ММР (до 1.74). Возможно, повышенная температура способствует миграции олигомеров на поверхность образца, где протекает их деструкция. При этом деструкция самих образцов ППК протекает преимущественно в результате поверхностной эрозии. В данном случае скорость химической реакции на поверхности существенно выше (по крайне мере на порядок), чем в объеме полимера. В связи с этим в случае поверхностной эрозии за процессом деструкции, как правило, следят по потере массы образцом, а его молекулярная масса не изменяется. К сожалению, в эксперименте по компостированию следить за массой полимерного образца оказалось затруднительно.
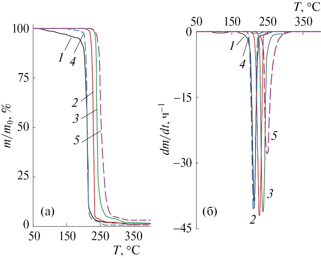
Расходование олигомерной фракции, сопровождающееся уменьшением концентрации концевых гидроксильных групп, инициирующих деполимеризацию ППК, и вымывание из объема полимера циклического карбоната в процессе компостирования, т.е. в условиях повышенной температуры, влажности и химически активной газовой среды, приводят к увеличению температуры стеклования ППК (с 29° до 33 °С) и росту его термостабильности (рис. 8).
Рис. 8. Интегральные (а) и дифференциальные (б) кривые ТГА образцов ППК до (1) и после компостирования в течение 7 (2) и 28 суток (3), а также после выдерживания ППК в течение 7 дней в воде при 65 °С (4) или над 10%-ным раствором аммиака при комнатной температуре (5)
Влияние роли абиотических факторов на деструкцию полипропиленкарбоната
Для выявления роли абиотических факторов (температуры, влажной среды и действия аммиака) на деструкцию ППК были проведены модельные эксперименты: 1) нагревание исходной пленки ППК в воде при 65 °С в течение 7 дней; 2) выдерживание пленки ППК в парах аммиака (эксикатор, 10%-ный водный раствор аммиака) при комнатной температуре в течение 7 дней. Обнаружено, что обработка горячей водой не привела к изменению каких-либо характеристик ППК. Не произошло заметных изменений массы полимера, его молекулярно-массовых характеристик (рис. 9, кривая 2) и состава, а также термических свойств (рис. 8, кривая 4). Исследование морфологии образца методом СЭМ (рис. 10а) показало, что поверхность образца после нагревания в воде шероховатая, но образования пор не наблюдается.
Рис. 9. Кривые ММР пленки ППК до (1) и после обработки водой при 65 °С (2) и аммиаком в течение 7 дней при 25 °С (3) и 12 ч при 100 °С (4)
Действие аммиака оказалось более выраженным. Через 7 дней пленочный образец стал белым, а его масса увеличилась на 18%. После промывания пленки в деионизированной воде и высушивания оказалось, что масса пленки уменьшилась на 8 мас. %. При этом данные метода ГПХ показали, что молекулярно-массовые характеристики полимера практически не изменились. На микрофотографии СЭМ (рис. 10) поверхности образца ППК видны поры размером 0.5–10 мкм различной формы. Эти факты подтверждают предположение о том, что под действием аммиака во влажной среде могут протекать процессы поверхностной эрозии ППК даже при комнатной температуре.
В результате исследований термических свойств методом ТГА (рис. 8, кривая 5) обнаружено, что после обработки аммиаком у ППК также смещаются температуры начала потери и максимальной скорости потери массы в сторону увеличения примерно на 40 °С. Полученные результаты показывают, что действие паров аммиака во влажной среде вызывают схожие изменения, что и процесс компостирования. Можно предположить, что именно аммиак является основным абиотическим деградантом при компостировании ППК. Поэтому мы продолжили изучение влияния роли аммиака в деградации полимера.
Как было показано выше, в условиях компостирования полимер подвергается длительному нагреванию в интервале температур 60°–75 °С. В первом эксперименте 84.4 мг пленки ППК кипятили 24 ч с воздушным холодильником в 4 мл водного аммиака, затем при пониженном давлении отгоняли раствор и анализировали пленку полимера методом ЯМР-спектроскопии. Оказалось, что химический состав сополимера не изменился, однако по данным ГПХ, средние ММ полимера существенно уменьшились, а ММР стало уже (рис. 9, кривая 4); Mn = 29 × 103 и Đ = 1.72. Очевидно, что деструкция ППК под действием водного раствора аммиака ускоряется при нагревании.
Рис. 10. СЭМ микрофотографии поверхности образца ППК после выдерживания в течение 7 дней в воде при 65 °С (а) или над 10%-ным раствором аммиака при комнатной температуре (б).
Во втором эксперименте с целью идентификации возможных низкомолекулярных продуктов деструкции, 50 мг (4.9 × 10‒4 осново-моль) полимера нагревали при 70 °С с раствором аммиака, приготовленным из 1.9 г (4.7 × 10‒2 моль) NaOH и 2.67 г (5.0 × 10‒2 моль) NH4Cl в 4 мл D2O, в стеклянном автоклаве при перемешивании в течение разного времени и раствор анализировали методом ЯМР-спектроскопии (рис. 11). Поскольку полимер в воде не растворим, наблюдаемые в растворе сигналы отвечают только продуктам деструкции полимера. Уже через 5 ч в спектре появляются сигналы пропиленгликоля (рис. 11а): d = 4.58–4.51 (м, 1H), 4.21 (дд, J = 11.6, 3.9 Гц, 1H), 4.08 (дд, J = 11.5, 7.0 Гц, 1H) и 1.80 м.д. (д, J = 6.5 Гц, 3H), а также сигналы полупродуктов деградации: δ = 4.30 (кв, J = 7.1 Гц, 1H) и 1.87– 1.82 м.д. (м, 3H). Существенно, что следы циклического карбоната в спектре отсутствуют. Через 20 ч качественный вид спектра не изменился, но доля пропиленгликоля выросла. После дополнительного нагревания полимера при 100 °С в течение 12 ч основным продуктом деструкции остался пропиленгликоль (рис. 11б).
Рис. 11. Спектр ЯМР 1H раствора в условиях эксперимента с подавлением сигнала H2O: а ‒ нагревание при 70 °С в течение 5 ч; б ‒ сравнение сигналов в области 1.5–2.2 м.д. после нагревания при 70 °С в течение 5 (1), 20 ч (2), и дополнительного нагревания при 100 °С в течение 12 ч (3)
Поскольку при деструкции ППК образуется пропиленгликоль, естественно, что при этом должен выделяться и СО2. В условиях эксперимента можно ожидать образования продуктов взаимодействия водного раствора NH3 и CO2, например карбоната, гидрокарбоната или карбамата аммония, а также мочевины. Анализ спектра ЯМР 13С продукта нагревания ППК при 70 °С в аммиачном растворе в D2O показал наличие сигналов в области 166.4, 68.6, 67.3 и 19.4 м.д. (рис. 12а). Для упрощения идентификации вещества к данному раствору был добавлен карбонат аммония, что привело к появлению в спектре дополнительного сигнала при 167.6 м.д. (рис. 12б). Следует заметить, что ионы гидрокарбоната и карбоната неотличимы в ЯМР из-за быстрого обмена протонами (в шкале времени ЯМР) [37]. Их точная идентификация по химическим сдвигам в спектрах ЯМР в водных растворах затруднена, так как химические сдвиги соединений могут заметно изменятся при варьировании температуры, ионной силы раствора или pH. Однако можно различить химические сдвиги гидрокарбоната и карбамата аммония, поскольку сигнал карбонильной группы карбамата аммония в спектре ЯМР 13С будет смещен в область сильного поля относительно сигнала карбонильной группы гидрокарбоната. Следовательно, спектр ЯМР, приведенный на рис. 12а, вероятнее всего, соответствует карбамату аммония, а добавление к нему карбоната аммония привело к появлению второго сигнала от карбонатного иона (рис. 12б) [38]. Отсутствие мочевины в продукте деструкции было доказано аналогичным образом, путем добавления к исследуемому раствору мочевины и сравнению сигналов в полученных спектрах.
Рис. 12. Спектр ЯМР 1H в D2O продукта нагревания ППК в водном растворе аммиака при 70°С в течение 5 ч в отсутствие (а) и присутствии (б) добавки карбоната аммония
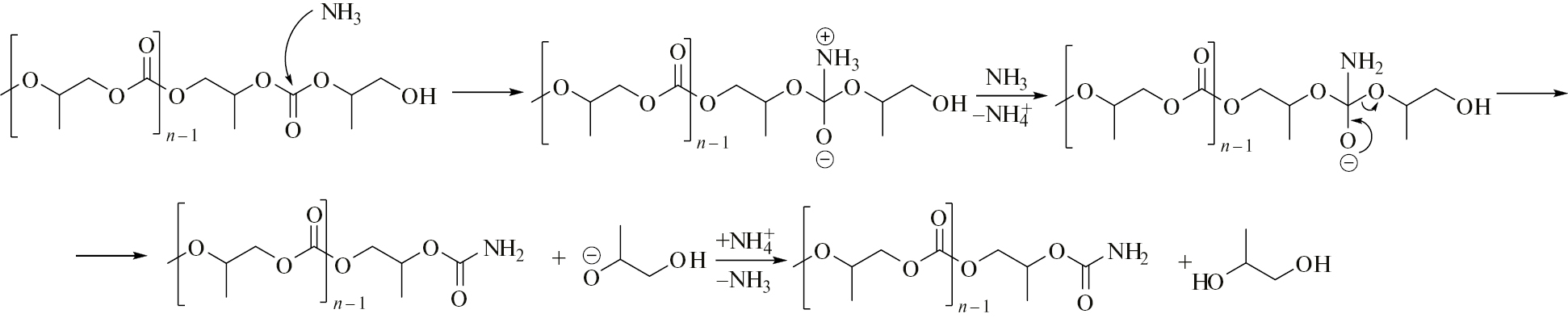
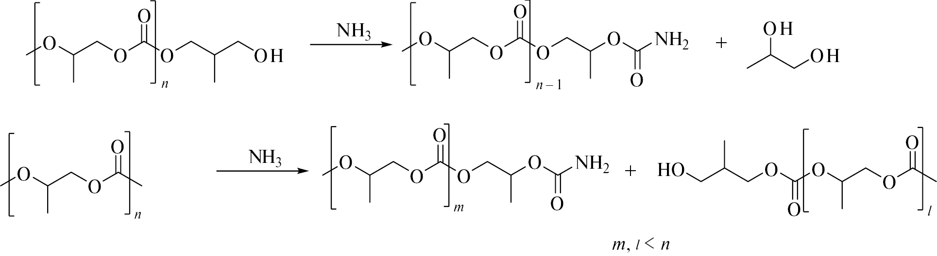
Проведенные эксперименты позволяют предложить возможный механизм аммонолиза ППК. Атака молекулы аммиака по карбонильной группе полимера приводит к образованию тетраэдрического интермедиата – гемиаминаля. Отщепление протона от гидроксильной группы гемиаминаля приводит к последующему отщеплению алкоголята, который протонируется аммониевой солью и образует пропиленгликоль.
Аммонолизу может подвергаться как концевая карбонатная группа, так и карбонатная группа, расположенная внутри цепи. Во втором случае образуются два полипропиленкарбонатных фрагмента с молярной массой меньшей, чем у исходного полимера:
ЗАКЛЮЧЕНИЕ
В настоящей работе впервые было показано, что в условиях ускоренного компостирования деструкция атактического аморфного ППК протекает с низкой скоростью. На начальной стадии она сопровождается уменьшением доли олигомерных фракций в полимере и ростом термостойкости полимера. Анализ состояния компоста показал, что процесс компостирования быстро переходит в термофильную фазу и сопровождается выделением заметного количества органических кислот и аммиака. Таким образом, в процессе компостирования на протяжении всего эксперимента ППК находится во влажной среде при температуре выше температуры стеклования, в атмосфере реакционно-активных газообразных продуктов, образующихся при разложении пищевых отходов, а также в присутствии активно развивающегося разнообразного микробного сообщества. В результате через 28 дней на поверхности пленки ППК в результате поверхностной эрозии образуется большое количество пор и появляются микроорганизмы. Предварительные опыты показали, что ППК устойчив к кислотному гидролизу и легко деструктирует в условиях щелочного гидролиза. Более детальные модельные эксперименты, приведенные в работе, позволили сделать вывод о том, что именно аммиак вызывает деструкцию ППК и эрозию поверхности пленки полимера. Основными продуктами аммонолиза полимера являются пропиленгликоль и карбамат аммония. Очевидно, что в условиях реального компостирования концентрация аммиака существенно ниже и, как следствие, аммонолиз протекает с низкой скоростью.
Работа выполнена при финансовой поддержке Программы развития МГУ, проект № 23-Ш07-02, и с использованием оборудования, приобретенного за счет средств Программы развития МГУ.
About the authors
Е. В. Черникова
Московский государственный университет им. М.В. Ломоносова; Институт нефтехимического синтеза им. А.В. Топчиева Российской академии наук
Author for correspondence.
Email: chernikova_elena@mail.ru
Russian Federation, Москва; Москва
Е. С. Трофимчук
Московский государственный университет им. М.В. Ломоносова
Email: chernikova_elena@mail.ru
Russian Federation, Москва
В. В. Миронов
Федеральный исследовательский центр “Фундаментальные основы биотехнологии” Российской академии наук
Email: chernikova_elena@mail.ru
Russian Federation, Москва
К. В. Ефремова
Федеральный исследовательский центр “Фундаментальные основы биотехнологии” Российской академии наук
Email: chernikova_elena@mail.ru
Russian Federation, Москва
А. В. Плуталова
Московский государственный университет им. М.В. Ломоносова
Email: chernikova_elena@mail.ru
Russian Federation, Москва
Е. А. Лысенко
Московский государственный университет им. М.В. Ломоносова
Email: chernikova_elena@mail.ru
Russian Federation, Москва
А. Ф. Асаченко
Московский государственный университет им. М.В. Ломоносова; Институт нефтехимического синтеза им. А.В. Топчиева Российской академии наук
Email: chernikova_elena@mail.ru
Russian Federation, Москва; Москва
С. А. Ржевский
Институт нефтехимического синтеза им. А.В. Топчиева Российской академии наук
Email: chernikova_elena@mail.ru
Russian Federation, Москва
М. А. Топчий
Институт нефтехимического синтеза им. А.В. Топчиева Российской академии наук
Email: chernikova_elena@mail.ru
Russian Federation, Москва
И. П. Белецкая
Московский государственный университет им. М.В. Ломоносова
Email: chernikova_elena@mail.ru
Russian Federation, Москва
References
- Pilapitiya P.G.C.N.T., Ratnayake A.S. // Cleaner Mater. 2024. V. 11. № 100220.
- Chamas A., Moon H., Zheng J., Qiu Y., Tabassum T., Jang J.H., Abu-Omar M., Scott S.L., Suh S. // ACS Sust. Chem. Eng. 2020. V. 8. № 9. P. 3494.
- Dey S., Veerendra G.T.N., Babu P.S.S.A., Manoj A.V.P., Nagarjuna K. //Biomed. Mater. Devices. 2024. V. 2. P. 70.
- Li Y., Tao L., Wang Q., Wang F., Li G., Song M. // Env. Health. 2023. V. 1. № 4. P. 249.
- Hussain M.A., Mishra S., Agrawal Y., Rathore Y. D. , Chokshi N.P. // Interactions. 2024. V. 245. № 126.
- Harkal V.A., Deshmukh S. P. // GSC Bio. Pharm. Sci. 2023. V. 25. № 2. P. 107.
- Shen M., Song B., Zeng G., Zhang Y., Huang W., Wen X., Tang W. //Env. Pollution, 2020. V. 263. Pt A. № 114469.
- Qin Y., Wang X. // Biotech. J. 2010. V. 5, P. 1164.
- G Luinstra.A., Borchardt E. // Adv. Polym. Sci. 2012. V. 245. Р. 29.
- Qin Y., Wang X. // In Green Chemistry and Chemical Engineering/Ed. by B.Han, T.Wu. New York: Springer, 2019. P. 323.
- Kernbichl S., Rieger B. // In Engineering Solutions for CO2 Сonversion/Ed. by T.R.Reina, H.Arellano-Garcia, J.A.Odriozola. Weinheim: Wiley‐VCH, 2021. Ch. 16. P. 385.
- Li X., Meng L., Zhang Y., Qin Z., Meng L., Li C., Liu M. // Polymers. 2022. V. 14. Art. 2159.
- Chernikova E.V., Beletskaya I.P. // Russ. Chem. Rev. 2024. V. 93. № 2. RCR5112.
- Inoue S., Koinuma H., Tsuruta T. // Makromol. Chem. 1969. V. 130. № 1. P. 210.
- Demirel Y. // J. Chem. Eng. Proc. Technol. 2015. V. 6 (3). Art. 1000236.
- Global Polypropylene Carbonate (PPC) Market Insights, Forecast to 2030, 2024; https://reports.valuates.com/market-reports/QYRE-Auto-28M476/global-polypropylene-carbonate-ppc
- Bora D., Dutta H., Saha B., Reddy Y.A.K., Patel R., Verma S.Kr., Sellamuthu P.S., Sadiku R., Jayaramudu J. // Mater. Today Commun. 2023. V. 37. Art.107304.
- Muthuraj R., Mekonnen T. // Macromol. Mater. Eng. 2018. Art.1800366.
- Bahramian B., A. Fathi, Dehghani F. // Polym. Degrad. Stab. 2016. V. 133. P. 174.
- Varghese J.K., Na S.J., Park J.H., Woo D., Yang I., Lee B.Y. // Polym. Degrad. Stab. 2010. V. 95. № 6. P. 1039.
- Jung J.H., Ree M., Kim H. // Catalysis Today. 2006. V. 115. № 1–4. P. 283.
- Kawaguchi T., Nakano M. , Juni K. , Inoue S. , Yosida Y. // Chem. Pharm. Bull. 1983. V. 31. № 4. P. 1400.
- Du L. C., Meng Y. Z., Wang S. J., Tjong S.C. // J. Appl. Polym. Sci. 2004. V. 92. № 3. P. 1840.
- Szymanek I., Cvek M., Rogacz D., Żarski A., Lewicka K., Sedlarik V., Rychter P. // Int. J. Mol. Sci. 2024. V. 25. № 653.
- Tran T.N., Mai B.T., Setti C., Athanassiou A. // ACS Appl. Mater. Interf. 2020. V. 12. № 41. P. 46667.
- Hwang Y., Ree M., Kim H. // Catalysis Today. 2006. V. 115. № 1–4. P. 288.
- M Beck-Broichsitter. // Polym. Degrad. Stab. 2020. V. 177. Art. 109186.
- Luinstra G.A. // Polym. Rev., 2008. V. 48. P. 192.
- Yang H.-S., Cho W. Y., Seo Y. H., Chae J.-H., Lee P. C., Lee B. Y., Lee I.-H. // J. Polym. Sci. 2024, 1. https://doi.org/10.1002/pol.20240529
- Wang L., Li Y., Yang J., Wu Q., Liang S., Liu Z. // Int. J. Mol. Sci. 2024. V. 25. Art. 2938.
- Artham T., Doble M. // Macromol. Biosci. 2008. V. 8. P. 14.
- Trofimchuk E., Ostrikova V., Ivanova O., Moskvina M., Plutalova A., Grokhovskaya T., A Shchelushkina., Efimov A., Chernikova E., Zhang S., Mironov V. // Polymers, 2023. V. 15. Art. 4017.
- Rzhevskiy S.A., Shurupova O.V., Asachenko A.F., Plutalova A.V., Chernikova E.V., Beletskaya I.P. // Int. J. Mol. Sci. 2024, V. 25. Art. 10946.
- V. Mironov, E. Trofimchuk, A. Plutalova // Bioresource Techn. 2024. V. 410. Art.131288.
- Rzhevskiy S.A., Shurupova O.V., Asachenko A.F., Belov N.M., Plutalova A.V., Trofimchuk E.S., Toms R.V., Chernikova E.V., Beletskaya I.P. // Mendeleev Commun. 2024. V. 34. № 6. P. 878.
- Mironov V.V., Trofimchuk E.S., Zagustina N.A. , Ivanova O.A., Vanteeva A.V., Bochkova E.A., Ostrikova V.V., Zhang S. // Appl. Biochem. Microbiol. 2022. V. 58. P. 665.
- Driver J.G., Owen R.E., Makanyire T., Lake J.A., McGregor J., Styring P. // Front. Energy Res. 2019. V. 7. № 88.
- Mani F., Peruzzini M., Stoppioni P. // Green Chem. 2006. V. 8. P. 995.
Supplementary files

















