Синтез альтернантных полимерных щеток с боковыми поли-2-алкил-2-оксазолиновыми цепями для биомедицинских применений
- Авторлар: Блохин А.Н.1, Кирилэ Т.Ю.1, Разина А.Б.1, Филиппов А.П.1, Теньковцев А.В.1
-
Мекемелер:
- Институт высокомолекулярных соединений – филиал Петербургского института ядерной физики им. Б.П. Константинова Национального исследовательского центра “Курчатовский институт”
- Шығарылым: Том 66, № 4 (2024)
- Беттер: 236-245
- Бөлім: МЕДИЦИНСКИЕ ПОЛИМЕРЫ
- URL: https://bakhtiniada.ru/2308-1139/article/view/279931
- DOI: https://doi.org/10.31857/S2308113924040044
- EDN: https://elibrary.ru/MNDEGP
- ID: 279931
Дәйексөз келтіру
Толық мәтін
Аннотация
С помощью подхода “прививка через” в водной среде синтезированы альтернантные цилиндрические полимерные щетки. Макромономерами служили поли-2-этил-2-оксазолин и поли-2-изопропил-2-оксазолин, содержащие в качестве концевых групп остатки винилбензола и N-замещенного малеимида. Макромономеры с молекулярной массой (4.3–4.7) × 103 получены методом катионной полимеризации с раскрытием цикла 2-алкил-2-оксазолинов с применением инициаторов 4-хлорметилстирола и 4-малеимидобензолсульфонилхлорида. Полимерные щетки получены сополимеризацией макромономеров в растворе хлорбензола при температуре 70 °C и инициировании динитрилом азобисизомасляной кислоты, а также в водных растворах в условиях окислительно-восстановительного инициирования под действием персульфата калия и сульфата железа(II) в присутствии восстановителя гидросульфита натрия. Определена относительная активность полиоксазолиновых макромономеров по методу Майо‒Льюиса при их сополимеризации в растворе хлорбензола: r1 = 0.015 и r2 = 0.115. Рассмотрена возможность полимеризации в водных растворах при пониженных (3 °C) и повышенных (75 °C) значениях температуры. Молекулярно-массовые и гидродинамические характеристики полимерных щеток определены методами гель-проникающей хроматографии, статического и динамического рассеяния света. Образцы альтернантных полимерных щеток характеризуются массами (15‒52) × 103 и узким молекулярно-массовым распределением 1.32–1.66. Температура фазового разделения в водных растворах для исследованных полимерных щеток находится в диапазоне 33°–39 °C.
Толық мәтін
ВВЕДЕНИЕ
Амфифильные полимерные щетки представляют собой уникальный класс разветвленных полимеров с гидрофобной основной цепью и водорастворимыми боковыми цепями, которые активно применяют в биомедицине, катализе, а также при создании функциональных покрытий и умных полимерных материалов [1]. В последние десятилетия синтез амфифильных полимерных щеток стал предметом интенсивного изучения, что обусловлено их многообещающими свойствами и широкими возможностями для модификации, в том числе с целью получения термо- и pH-чувствительных полимерных материалов [2–4].
Одним из распространенных методов синтеза амфифильных полимерных щеток можно назвать радикальную полимеризацию макромономеров, в частности с применением контролируемых методов радикальной полимеризации [5–7]. При этом полимеризация макромономеров по радикальному механизму может проводиться в водных средах [8], что позволяет значительно упростить процесс производства подобных полимерных материалов и снизить объемы выделяемых в процессе синтеза опасных отходов, что отвечает основным принципам “зеленой химии”. Основным требованием, предъявляемым к макромономерам, в этом случае является их достаточная водорастворимость. Среди водорастворимых полимеров в настоящее время внимание исследователей привлекают поли-2-алкил-2-оксазолины, обладающие выдающимися свойствами, такими как амфифильность, термочувствительность и биосовместимость [9, 10]. Боковые цепи поли-2-алкил-2-оксазолинов в полимерных щетках могут значительно улучшать взаимодействие полимеров с биологическими системами, что открывает новые перспективы для их использования в медицине. Получение амфифильных полимерных щеток на основе поли-2-алкил-2-оксазолинов также активно изучается [11].
В настоящей работе рассматривается возможность синтеза альтернантных полимерных щеток с чередующимися боковыми поли-2-алкил-2-оксазолиновыми цепями путем радикальной сополимеризации поли-2-алкил-2-оксазолиновых макромономеров в водной среде.
ЭКСПЕРИМЕНТАЛЬНАЯ ЧАСТЬ
Материалы и методы
2-Этил-2-оксазолин (99%, “Sigma-Aldrich”, Германия) перегоняли над гидридом кальция. 2-Изопропил-2-оксазолин получали по известной методике [12], затем перегоняли над гидридом кальция. Ацетонитрил (99%, “Криохром”, Россия) дважды перегоняли над пятиокисью фосфора. N-(4-хлорсульфонилфенил)малеимид получали по известной методике [13]. 4-Винилбензилхлорид (98%, “Sigma-Aldrich”, Германия), N-фенилмалеимид (99%, “Реахим”, Россия), динитрил азобисизомасляной кислоты (99%, “Реахим”, Россия), персульфат калия (99%, “Реахим”, Россия), сульфат железа (99%, “Вектон”, Россия), гидросульфит натрия (99%, “Реахим”, Россия), гексаметилдисилоксан (99.5% NMR grade, “Aldrich”, США) использовали без предварительной очистки. Иодид натрия (98%, “Реахим”, Россия) очищали перекристаллизацией из смеси этанола с водой и высушивали прокаливанием при температуре 200 °С. Деоксигенацию аргона осуществляли методом продувания через нагретую до 600 °С кварцевую трубку, наполненную титановой стружкой.
Спектры протонного ядерного магнитного резонанса (ЯМР 1H) снимали на приборе “Bruker AC400” (400 МГц) при 20 °C для растворов в дейтерированном хлороформе. Молекулярно-массовые характеристики макромономеров и полимерных щеток исследовали методом гель-проникающей хроматографии на приборе “Shimadzu LC-20 Prominence”, оснащенном колонкой “Waters Styragel HT4 10 μm” (7.8 × 300 мм), колонкой “PSS SDV 5 μm” (8 × 300 мм) и рефрактометрическим детектором “Shimadzu RID-20A”. В качестве элюента использовали N,N-диметилформамид (99.9% для ВЭЖХ, “Aldrich”, Германия) с добавлением 5 ммоль/л безводного хлорида лития при температуре 60 °C и скорости потока 1.0 мл/мин. Для анализа использовали растворы полимерных образцов с концентрацией 2 мг/мл, фильтрованные через гидрофобные шприцевые фильтры PFTE (“Thermo Scientific”, США) с порами 0.45 мкм. Молекулярно-массовые характеристики определяли на основе кубической калибровочной зависимости, полученной с использованием набора стандартных образцов полиэтиленоксида с массами в диапазоне 400–6000 (“PSS”, США).
Молекулярно-массовые характеристики полимерных щеток устанавливали методами статического и динамического светорассеяния на установке “Photocor Complex” (“Photocor Instruments Inc.”, Россия). Источником света служил диодный лазер “Photocor-DL” с длиной волны λ = 658.7 нм. Корреляционную функцию получали на корреляторе “Photocor-PC2” с 288 каналами и обрабатывали с помощью программного обеспечения “DynalS”. Молекулярно-массовые характеристики определяли в растворах хлороформа, так как ассоциативные явления в нем отсутствовали. Значения абсолютных молекулярных масс Mw находили методом статического рассеяния света. Асимметрия рассеяния света отсутствовала, поэтому Mw устанавливали, используя подход Дебая. Гидродинамические радиусы макромолекул Rh получали методом динамического рассеяния света. Процессы самоорганизации изучали на установке “Photocor Complex” (“Photocor Instruments Inc.”, Россия) методами статического, динамического рассеяния света и турбидиметрии. Методика эксперимента подробно описана в работе [14]. Также исследовали водные растворы при фиксированной концентрации С = 0.005 г/см3.
Синтез макромономера поли-2-этил-2-оксазолина (ММ-1)
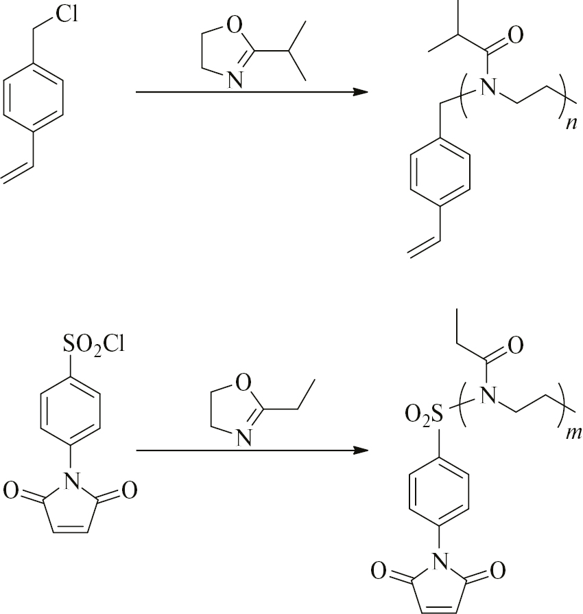
N-(4-хлорсульфонилфенил)малеимид 0.50 г (0.0018 моля), 2-этил-2-оксазолин 5.47 г (0.055 моля) и ацетонитрил 5.5 г (0.14 моля) помещали в ампулу, которую затем продували от воздуха и остаточной влаги сухим аргоном и запаивали. Реакционную смесь выдерживали при 100 °C в течение 6 ч в микроволновом химическом реакторе “WBFY-201” (“Guangzhou Fan Bo Lun Import And Export Trade Co., Ltd.”, Китай). После окончания процесса полимеризации растворитель удаляли, продукт очищали двукратным осаждением из хлороформа в петролейный эфир и сушили в вакууме. Выход продукта составил 4.9 г (89%). Спектр ЯМР 1H (400 MHz; СDCl3; 20 °С; δ, м.д.): 7.96 (m, 2H), 7.54 (m, 2H), 6.93 (t, 2H), 3.46 (br, 176H), 2.56–2.10 (br, 44H), 1.12 (br, 264H).
Синтез макромономера поли-2-изопропил-2-оксазолина (ММ-2)
4-Винилбензилхлорид 0.24 г (0.0016 моля), иодид натрия 0.47 г (0.0028 моля), 2-изопропил-2-оксазолин 5.29 г (0.047 моля) и нитрометан 5.34 г (0.088 моля) помещали в ампулу, которую продували от воздуха и остаточной влаги сухим аргоном и запаивали. Реакционную смесь выдерживали при 100 °C в течение 8 ч в микроволновом химическом реакторе “WBFY-201”. После окончания полимеризации растворитель удаляли, продукт растворяли в дихлорметане, фильтровали от неорганического осадка, после чего промывали насыщенным водным раствором карбоната калия и дистиллированной водой, сушили над прокаленным сульфатом магния. Продукт осаждали в холодном диэтиловом эфире и сушили в вакууме. Выход продукта составил 4.4 г (83%). Спектр ЯМР 1H (400 MHz; СDCl3; 20 °С; δ, м.д.): 7.35 (m, 4H), 6.71 (m, 1H), 5.74 (d, 1H), 5.23 (d, 1H), 3.46 (br, 172H), 3.07–2.40 (br, 86H), 1.12 (br, 129H).
Сополимеризация макромономеров в неводной среде
Навески макромономеров 0.5 г поли(2-этил-2-оксазолин)а и 0.5 г поли(2-изопропил-2-оксазолин)а растворяли в 10 мл хлорбензола, после чего добавляли к реакционной смеси раствор 0.5 мг динитрила азобисизомасляной кислоты в 1 мл хлорбензола. Колбу продували сухим дезоксигенированным аргоном, а затем герметично закрывали. Полимеризацию проводили при 70 °C в течение 24 ч. Полученную реакционную смесь осаждали в петролейном эфире. Продукт растворяли в этаноле и очищали диализом в воде с использованием диализных мешков с MCWO 7 × 103 (“M-CEI”, Франция), затем лиофилизировали. Выход продукта составил 0.65 г (65%).
Определение относительной активности макромономеров
Относительную активность макромономеров при их сополимеризации в среде хлорбензола при температуре 70 °C и инициировании динитрилом азобисизомасляной кислоты определяли в соответствии с графическим методом Майо‒Льюиса. Готовили реакционные смеси с различным мольным соотношением макромономеров (табл. 1). Рассчитанное количество макромономеров растворяли в 0.8 мл хлорбензола. Добавляли 0.1 мл раствора динитрила азобисизомасляной кислоты в хлорбензоле концентрацией 1 мг/мл и 0.05 мл раствора гексаметилдисилоксана концентрацией 50 мг/мл в хлорбензоле в качестве внутреннего стандарта. Образцы исходных смесей отбирали для исследования методом спектроскопии ЯМР 1H, после чего реакционные смеси продували сухим деоксигенированным аргоном. Полимеризацию вели при 70 °C в течение 1 ч, затем отбирали образцы реакционных смесей объемом ~0.1 мл для анализа методом спектроскопии ЯМР 1H.
Таблица 1. Параметры загрузки для реакционных смесей (концентрация инициатора Синиц = 6.41 × 10‒4, моль/л)
Навески макромономеров, г | Мол. соотношение ММ-1 : ММ-2 (F1/F2) | |
mММ-1 | mММ-2 | |
0.1602 0.1011 0.0403 | 0.0395 0.1009 0.1601 | 3.81 0.94 0.24 |
Относительную активность макромономеров с малеимидными (r1 = k11/k12) и стирольными (r2 = k22/k21) концевыми группами рассчитывали в соответствии с уравнением Майо–Льюиса:
, (1)
где F1 и F2 – мольные доли макромономеров малеимида и стирола соответственно в исходных реакционных смесях, f1 и f2 – мольные доли макромономеров ММ-1 и ММ-2 соответственно в полученном сополимере, r1 и r2 – относительная активность макромономеров ММ-1 и ММ-2.
Мольные доли макромономеров f1 и f2 в полученном сополимере определяли на основе интегральных интенсивностей сигналов фрагментов малеимида (6.97 м.д.) и винилбензила (5.49 м.д.), а также сигналов гексаметилдисилоксана (0.14 м.д.) в качестве внутреннего стандарта в спектрах ЯМР 1H исходных и конечных образцов реакционных смесей.
Для каждого состава мономера F1/F2 построили линейную зависимость с использованием произвольных значений r1. Пересечение линий дало область значений для относительной активности r1 и r2. Для усредненных значений r1 и r2 взяли координаты центра тяжести полученного треугольника, а в качестве погрешностей ‒ наибольшие отклонения от средних значений r1 и r2 в области допустимых значений.
Сополимеризация макромономеров в водной среде при пониженной температуре
Для приготовления растворов дистиллированную воду предварительно дегазировали при помощи вакуумного дегазатора “Modulmex V5-LE” (Россия). Навески макромономеров 0.5 г поли(2-этил-2-оксазолин)а и 0.5 г поли(2-изопропил-2-оксазолин)а растворяли в 15 мл воды, затем к раствору последовательно прибавляли раствор 10 мг персульфата калия в 2 мл воды, раствор 1 мг сульфата железа(II) в 1 мл воды и 0.1 мл водного раствора гидросульфита натрия массовой концентрацией 35%. Колбу продували сухим дезоксигенированным аргоном. Смесь перемешивали в течение 24 ч при температуре 3 °С. Полученный раствор диализовали относительно воды, затем лиофилизировали. Выход продукта составил 0.54 г (54%).
Сополимеризация макромономеров в водной среде при повышенной температуре
Навески макромономеров 0.5 г поли(2-этил-2-оксазолин)а и 0.5 г поли(2-изопропил-2-оксазолин)а растворяли в 20 мл воды, затем к раствору последовательно прибавляли раствор 10 мг персульфата калия в 2 мл воды, раствор 1 мг сульфата железа(II) в 1 мл воды, 0.1 мл водного раствора гидросульфита натрия массовой концентрацией 35%. Колбу продували сухим дезоксигенированным аргоном. Смесь перемешивали в течение 24 ч при температуре 75 °С. Полученный раствор фильтровали, диализовали относительно воды, затем лиофилизировали. Выход продукта составил 0.51 г (51%).
РЕЗУЛЬТАТЫ И ИХ ОБСУЖДЕНИЕ
Синтез полиоксазолиновых макромономеров
Использование подхода “прививка через” для синтеза привитых сополимеров предполагает предварительное получение макромономеров с полимеризуемыми концевыми группами. В литературе имеются сведения о синтезе различных макромономеров на основе 2-алкил-2-оксазолинов, содержащих в качестве концевых групп остатки (мет)акрилата, стирола, диенов, циклических алкенов, а также норборнена и пиррола [15, 16]. При этом, несмотря на достаточно интенсивные исследования, о синтезе полимерных щеток с регулярным чередованием термочувствительных полиоксазолинов различной химической структуры не сообщалось, хотя использование таких полимеров в биомедицинских приложениях, учитывая возможность внешнего влияния на конформацию основной цепи, нижнюю критическую температуру растворения, представляется перспективным.
С целью получения альтернантных полимерных щеток с чередованием боковых цепей гидрофильного поли-2-этил-2-оксазолина и гидрофобного поли-изопропил-2-оксазолина были синтезированы макромономеры с винилбензильной и N-(4-сульфонилфенил)малеимидной концевыми группами:
Макромономеры были получены методом катионной полимеризации 2-алкил-2-оксазолинов с раскрытием цикла в присутствии соответствующих функциональных инициаторов – 4-винилбензилхлорида и N-(4-хлорсульфонилфенил)-малеимида. Теоретическая степень полимеризации макромономеров составляла DPnтеор = 50. Полимеризация проводилась в среде ацетонитрила при температуре 100 °C в условиях микроволнового индуцирования. Ранее неоднократно обсуждалось существенное увеличение скорости и эффективности протекания полимеризации 2-алкил-2-оксазолинов под действием микроволнового излучения [17]. В настоящей работе оптимальные времена полимеризации макромономеров были рассчитаны на основе литературных данных, с использованием ряда источников, где механизм и кинетика полимеризации 2-алкил-2-оксазолинов в подобных условиях были достаточно подробно изучены [18–20]. В предварительных испытаниях при отборе проб реакционных смесей и анализе их методом спектроскопии ЯМР 1H была подтверждена полная конверсия мономеров в реакционных смесях при выбранных временах полимеризации.
Полученные хроматограммы образцов макромономеров свидетельствуют об их мономодальном распределении молекулярных масс с низкими значениями показателей полидисперсности в диапазоне Ð = 1.28–1.30 (табл. 2).
Таблица 2. Молекулярно-массовые и структурные характеристики макромономеров
Образец | Концевая группа | DPn (ЯМР) | Mn (ГПХ), г/моль | Ð (ГПХ) |
ММ-1 ММ-2 | N-(4-сульфонилфенил)малеимид 4-винилбензил | 43 44 | 4300 4700 | 1.28 1.30 |
Методом протонной спектроскопии ЯМР подтверждено наличие полимеризуемых концевых групп в составе макромономеров, а также проведена оценка средней степени полимеризации DPn (рис. 1).
Рис. 1. Спектры ЯМР 1H макромономера поли-2-изопропил-2-оксазолина (1) и макромономера поли-2-этил-2-оксазолина (2). Цветные рисунки можно посмотреть в электронной версии
Определение значений относительной активности макромономеров
Возможность синтеза регулярных полимерных щеток с чередующимися боковыми цепями поли(2-алкил-2-оксазолина) обусловлена механизмом сополимеризации соответствующих низкомолекулярных мономеров: стирола и малеимида. Хорошо известно, что N-замещенный малеимид и стирол представляют собой мономерные пары с сильной тенденцией к чередованию радикальной сополимеризации [21]. Регулярное чередование звеньев стирола и малеимида обосновано влиянием стерических и донорно-акцепторных эффектов функциональных групп, имеющих противоположные сопряжения с двойными связями. Малеимид является электрон-дефицитным мономером. Двойные связи мономеров малеинового ангидрида и малеимида характеризуются заметными стерическими затруднениями, которые препятствуют их гомополимеризации, однако они хорошо сополимеризуются с виниловыми мономерами [22, 23]. В ряде работ сообщалось о синтезе гомополимеров различных производных малеимида с использованием радикального инициирования, которые, однако, имели относительно низкую молекулярную массу [24].
Для подтверждения предположения об образовании чередующейся структуры привитых сополимеров при радикальной сополимеризации макромономеров со стирольными и малеимидными концевыми группами был изучен состав сополимеров при трех различных начальных соотношениях концентрации макромономеров F1/F2 = 3.81, 0.94, 0.24. Полимеризация проводилась при низких значениях конверсии, поэтому концентрацию мономеров можно было считать постоянной, и относительная активность макромономеров r1 и r2 была рассчитана с помощью графического метода Майо–Льюиса [25].
Состав сополимера анализировался методом спектроскопии ЯМР 1H. На рис. 2 представлен спектр ЯМР 1H исходной полимеризационной смеси макромономеров ММ-1 и ММ-2 в хлорбензоле с мономерным составом F1/F2 = 0.94. Отдельно стоящие сигналы малеимидных протонов CH (6.64 м.д. – сигнал “b”) и винильных протонов CH, CH2 (6.82 + 6.0 + 5.43 м.д. – сигналы “a1”, “a2”, “a3”) позволяют оценить степень конверсии соответствующих макромономеров и состав полученного сополимера. В качестве внутреннего стандарта для количественных измерений в реакционную смесь был добавлен гексаметилдисилоксан, который характеризуется интенсивным синглетным сигналом протонов групп CH3 (0.06 м.д. – сигнал “c”).
Рис. 2. Спектр ЯМР 1H исходной полимеризационной смеси макромономеров ММ-1 и ММ-2 в хлорбензоле с мономерным составом F1/F2 = 0.94. Показаны сигналы винильных фрагментов CH (a1), СН2 (a2, a3), малеимидных фрагментов CH (b) и гексаметилдисилоксана CH3 (c)
В соответствии с уравнением Майо–Льюиса на основе полученных значений параметров f1/f2 и случайно выбранных значений r1 были построены линейные зависимости (рис. 3). Известно, что значения относительной активности мономеров однозначно определяются точкой пересечения полученных линейных зависимостей. Однако в реальном случае наблюдается небольшое расхождение, которое формирует диапазон значений r1 и r2. В этом случае наиболее вероятные значения относительной активности устанавливаются как центр тяжести образуемой треугольной области. Таким образом, значения относительной активности исследуемых макромономеров составляют r1 = 0.015 ± 0.475 и r2 = 0.115 ± 0.074. Рассчитанные значения r1 и r2 близки к литературным значениям соответствующих низкомолекулярных мономеров и подтверждают, что сополимеризация макромономеров ММ-1 и ММ-2 приведет к образованию преимущественно альтернантного сополимера.
Рис. 3. Графики Майо–Льюиса, полученные для сополимеризации макромономеров ММ-1 и ММ-2. Треугольный диапазон вероятных значений r1 и r2 (1). Полноразмерный график с пересечением трех линейных зависимостей (2)
Сополимеризация макромономеров в неводной среде
Сополимеризация макромономеров проводилась в хлорбензоле при температуре 70 °С с использованием динитрила азоизомасляной кислоты в качестве инициатора. Выбор растворителя был обусловлен необходимостью минимизации передачи цепи в растворитель и хорошей растворимостью полиоксазолинов в хлорбензоле. Концентрация инициатора составляла 0.5 × 10‒3 моль/л, что соответствовало исходному соотношению мономера к инициатору [M]0 : [I]0 = 200 : 1.
Структура полученного в неводной среде образца 1 привитого сополимера подтверждена методом спектроскопии ЯМР 1H (рис. 4). В спектре обнаружены высокоинтенсивные сигналы полиоксазолиновых цепей: метиленовые группы полиэтиленимина (3.74–3.36 м.д. – сигнал “d”), метиновые группы изопропилового заместителя (2.96–2.60 м.д. – сигнал “f”), метиленовые группы этильного заместителя (2.46–2.17 м.д. – сигнал “g”) и метильные группы алкильных заместителей (1.27–0.91 м.д. – сигнал “i”). С использованием соотношения интенсивностей сигналов макромономерных звеньев ММ-1 и ММ-2 определен состав сополимера. Показано, что мольные доли f2/f1 боковых полимерных цепей ММ-1 и ММ-2 соответственно близки к эквивалентным с незначительным избытком поли-2-изопропил-2-оксазолина: f2/f1 = 1.12. В спектре также обнаружены уширенные сигналы ароматических фрагментов. Сигналы “a1” 7.98 м.д. и “a2” 7.80 м.д. соответствуют химическим сдвигам ароматических протонов N-(4-сульфонилфенил)сукцинимида, а сигналы “b1” и “b2” 7.69–7.45 м.д. соответствуют химическим сдвигам бензильных протонов. Сигналы “c1” 4.23 м.д. и “c2” 4.12 м.д. характерны для протонов метиленовых и метиновых групп в α-положении к бензольному кольцу макромономера ММ-2. Сигнал “e” 3.31 м.д. относится к протонам сукцинимидного фрагмента в основной цепи полимера. Сигнал “h” 2.13 м.д. соответствует химическому сдвигу метиленовых протонов основной цепи. Полученный спектр ЯМР 1Н образца 1 позволяет сделать вывод об успешном формировании привитого сополимера с углеводородной основной цепью и высокой степенью прививки боковых полиоксазолиновых цепей.
Рис. 4. Спектр ЯМР 1H образца привитого сополимера
Сополимеризация макромономеров в водной среде
Рассмотрена возможность синтеза полимерных щеток в водной среде, поскольку полиоксазолиновые макромономеры обладают достаточной для проведения такого синтеза водорастворимостью. Сополимеризация макромономеров в водном растворе проводилась в условиях окислительно-восстановительного инициирования в присутствии персульфата калия, сульфата железа(II) и гидросульфита натрия при двух температурных режимах: в условиях повышенной температуры (образец 2), а также при охлаждении (образец 3). Инициирующая система взята на основе опыта предыдущих исследований, в которых было показано, что в выбранных условиях происходит полимеризация макромономеров поли-2-алкил-2-оксазолинов с образованием привитого сополимера [26]. Скорость образования радикалов в выбранной системе достаточна для проведения полимеризации при значениях температуры близких к комнатным, а также при охлаждении.
Кроме того, в работе был рассмотрен и альтернативный вариант проведения сополимеризации термочувствительных полиоксазолиновых макромономеров при нагревании выше их нижних критических значений температуры растворимости [27]. Можно полагать, что образующиеся в процессе сополимеризации макромономеров термочувствительные олигомеры при повышенных значениях температуры будут претерпевать фазовый переход и агрегировать в виде набухших клубков, что уменьшит вероятность квадратичного обрыва цепи и приведет к полимерам с бóльшей, чем при полимеризации в растворе, молекулярной массе. Для гидрофильного макромономера ММ-1, полученного на основе поли-2-этил-2-оксазолина, точка помутнения в водном растворе массовой концентрацией 2% составила 65 °С, а для гидрофобного макромономера ММ-2, полученного на основе поли-2-изопропил-2-оксазолина, точка помутнения составила 46 °С.
Сополимеризация макромономеров, соответственно, проводилась при температуре 75 °С, что выше значений температуры фазового перехода обоих макромономеров, в инертной атмосфере. Суммарная массовая концентрация макромономеров в растворе составляла 4.14%. После завершения процесса сополимеризации раствор охлаждался и подвергался фильтрации от нерастворимых продуктов, затем образец сополимера 2 был очищен диализом от низкомолекулярных продуктов и олигомеров. Известно, что при длительном выдерживании водных растворов поли-2-алкил-2-оксазолинов в условиях повышенной температуры протекают процессы кристаллизации последних, связанные с дегидратацией полиоксазолиновых цепей [28]. Предположительно, некоторая доля макромономеров выкристаллизовалась из раствора в процессе полимеризации, что привело к снижению выхода продукта. Однако анализ образца 2 методом спектроскопии ЯМР 1Н показал, что синтезированный сополимер содержит эквивалентное количество звеньев ММ-1 и ММ-2: f2/f1 = 1.08 (рис. 5).
Рис. 5. Фрагмент спектров ЯМР 1H образцов 2 и 3, полученных в водных растворах
Понижение температуры синтеза, в свою очередь, может привести к повышению контроля над процессом и получению образцов с более узким молекулярно-массовым распределением. В связи с этим образец сополимера 3 был получен полимеризацией в водной среде при температуре 3 °С в условиях окислительно-восстановительного инициирования. Суммарная массовая концентрация макромономеров в растворе составляла 5.22%. Образец 3 также имел эквивалентное количество мономерных звеньев ММ-1 и ММ-2: f2/f1 = 1.06.
Молекулярно-массовые и характеристики и ассоциация в водных растворах
Методом гель-проникающей хроматографии показано, что синтезированные образцы полимерных щеток являются мономодальными, что иллюстрируют приведенные на рис. 6 хроматограммы.
Рис. 6. Хроматограммы образцов полимерных щеток 1–3
Также не обнаружено высокомолекулярных побочных продуктов, наличие которых могло бы свидетельствовать о реакциях рекомбинации макрорадикалов. Результаты, полученные методом гель-проникающей хроматографии, хорошо согласуются с исследованиями динамического рассеяния света в растворах хлороформа, которые показали мономодальное распределение интенсивности светорассеяния вдоль гидродинамических радиусов. Индексы полидисперсности Ð = Mw/Mn образцов находятся в диапазоне 1.3–1.7 (табл. 3), что соответствует обрыву основных цепей преимущественно по механизму диспропорционирования. Наиболее узкое молекулярно-массовое распределение наблюдалось у образца 3, синтезированного в водной среде при охлаждении.
Таблица 3. Молекулярно-массовые и гидродинамические характеристики образцов полимерных щеток
Образец | Мw × 10‒3, г/моль | Rh, нм | A2 × 104, см3 моль г‒2 | Ð (ГПХ) | f1/f2 (ЯМР 1H) |
1 2 3 | 51.7 14.6 32.0 | 3.6 3.2 3.5 | 1.1 4.7 1.0 | 1.66 1.54 1.32 | 1.12 1.08 1.06 |
Примечание. Rh ‒ гидродинамический радиус, A2 ‒ второй вириальный коэффициент, f1/f2 ‒ мономерный состав сополимера.
Как видно из табл. 3, наибольшей молекулярной массы удалось достичь при проведении синтеза в среде хлорбензола. При сравнении молекулярных масс полимерных щеток, синтезированных в водных средах, заметно, что увеличение температуры синтеза приводит к снижению Mw. Вероятно, это связано с тем, что значения температуры дегидратации мономерных звеньев 2-изопропил-2-оксазолина значительно ниже значений температуры проведения реакции.
Известно, что водные растворы линейного поли-2-изопропил-2-оксазолина претерпевают фазовый переход при температуре от 45° до 63 °С в зависимости от молекулярной массы [29]. Обычно при этом образуются плотные надмолекулярные структуры и выпадает осадок полимера. Можно предположить, что такое поведение препятствует получению высокомолекулярных образцов. В пользу данного предположения свидетельствует изучение термочувствительности водных растворов синтезированных образцов. Процессы самоорганизации сравниваемых полимерных щеток подобны тем процессам, которые наблюдаются для звездообразных поли-2-алкил-2-оксазолинов [30]. Температура начала фазового разделения для образцов 2 и 3 составила 39° и 33 °С соответственно. Данное различие связано со значительным снижением молекулярной массы при переходе от образца 3 к образцу 2. При этом методом дина мического рассеяния света для обоих образцов полимерных щетокв водных растворах при комнатной температуре зафиксировано два типа частиц: индивидуальные макромолекулы с гидродинамическими радиусами Rf и большие агрегаты с радиусом Rs. Однако размер больших агрегатов в растворах образца 2 выше, чем в случае образца 3. Это объясняется дегидратацией мономерных звеньев поли-2-изопропил-2-оксазолина в процессе получения образца 2, и, как описано выше, формирование таких агрегатов препятствует получению образцов с более высокой молекулярной массой.
ЗАКЛЮЧЕНИЕ
Показана возможность синтеза амфифильных полимерных щеток с чередующимися боковыми полиоксазолиновыми цепями в водных растворах в условиях окислительно-восстановительного инициирования радикальной полимеризации. В качестве макромономеров для радикальной сополимеризации были успешно применены линейные поли-2-алкил-2-оксазолины различной структуры с массами полимеризуемыми концевыми группами типа винилбензола и N-замещенного малеимида. Установлено, что синтезируемые альтернантные полимерные щетки имеют эквивалентное содержание боковых полимерных цепей гидрофильного поли-2-этил-2-оксазолина и гидрофобного поли-2-изопропил-2-оксазолина. Также изучено влияние температуры синтеза на молекулярно-массовые характеристики полимерных щеток. Так, наиболее предпочтительным является проведение синтеза в водной среде при охлаждении, поскольку при температуре около 3 °С и прочих равных условиях может быть получен сополимер с узким молекулярно-массовым распределением и наибольшей молекулярной массой.
Исследованные полимерные щетки имеют температуру фазового разделения в водных растворах вблизи физиологической температуры тела человека, что позволяет рассматривать возможным их использование для различных биомедицинских целей. При этом возможность проведения синтеза в водной среде может значительно упростить процесс получения подобных полимеров.
Работа выполнена при финансовой поддержке Российского научного фонда в рамках научного проекта № 23-23-00079.
Авторлар туралы
А. Блохин
Институт высокомолекулярных соединений – филиал Петербургского института ядерной физики им. Б.П. Константинова Национального исследовательского центра “Курчатовский институт”
Хат алмасуға жауапты Автор.
Email: blokhin_an@hq.macro.ru
Ресей, Санкт-Петербург
Т. Кирилэ
Институт высокомолекулярных соединений – филиал Петербургского института ядерной физики им. Б.П. Константинова Национального исследовательского центра “Курчатовский институт”
Email: blokhin_an@hq.macro.ru
Ресей, Санкт-Петербург
А. Разина
Институт высокомолекулярных соединений – филиал Петербургского института ядерной физики им. Б.П. Константинова Национального исследовательского центра “Курчатовский институт”
Email: blokhin_an@hq.macro.ru
Ресей, Санкт-Петербург
А. Филиппов
Институт высокомолекулярных соединений – филиал Петербургского института ядерной физики им. Б.П. Константинова Национального исследовательского центра “Курчатовский институт”
Email: blokhin_an@hq.macro.ru
Ресей, Санкт-Петербург
А. Теньковцев
Институт высокомолекулярных соединений – филиал Петербургского института ядерной физики им. Б.П. Константинова Национального исследовательского центра “Курчатовский институт”
Email: blokhin_an@hq.macro.ru
Ресей, Санкт-Петербург
Әдебиет тізімі
- Иванов И.В., Мелешко Т.К., Кашина А.В., Якиманский А.В. // Успехи химии. 2019. Т. 88. № 12. С. 1248.
- Pietrasik J., Sumerlin B.S., Lee R.Y., Matyjaszewski K. // Macromol. Chem. Phys. 2007. V. 208. P. 30.
- Nese A., Lebedeva N.V., Sherwood G., Averick S., Li Y., Gao H., Peteanu L., Sheiko S.S., Matyjaszewski K. // Macromolecules. 2011. V. 44. P. 5905.
- Chen T., Yang H., Wu X., Yu D., Ma A., He X., Sun K., Wang J. // Langmuir. 2019. V. 35. P. 3031.
- Cheng G., Böker A., Zhang M., Krausch G., Müller A.H.E. // Macromolecules. 2001. V. 34. P. 6883.
- Pyun J., Kowalewski T., Matyjaszewski K. // Macromol. Rapid Comm. 2003. V. 24. P. 1043.
- Ilgach D.M., Meleshko T.K., Yakimansky A.V. // Polymer Science C. 2015. V. 57. № 1. P. 3.
- Барабанова А.И., Громов В.Ф., Бунэ Е.В., Богачев Ю.С., Козлова Н.В., Телешов Э.Н. // Высокомолек. соед. А. 1994. Т. 36. № 6. С. 901.
- Nekrasova Т.N., Кirila Т.Yu., Kurlykin М.P., Теn′kovtsev А.V., Filippov А.P. // Polymer Science В. 2021. V. 63. № 2. P. 116.
- Gubarev A.S., Lezov A.A., Podsevalnikova A.N., Mikusheva N.G., Fetin P.A., Zorin I.M., Aseyev V.O., Sedlacek O., Hoogenboom R., Tsvetkov N.V. // Polymers. 2023. V. 15. P. 623.
- Rodchenko S., Amirova A., Milenin S., Ryzhkov A., Talalaeva E., Kalinina A., Kurlykin M., Tenkovtsev A., Filippov A. // Eur. Polym. J. 2020. V. 140. Р. 110035.
- Witte H., Seeliger W. // Justus Liebigs Annalen der Chemie. 1974. P. 996.
- Cremlyn R., Nunes R. // Phosphorus Sulfur Silicon Relat. Elem. 1987. V. 31. P. 245.
- Amirova A.I., Dudkina M.M., Tenkovtsev A.V., Filippov A.P. // Colloid Polym. Sci. 2015. V. 293. P. 239.
- Shimano Y., Sato K., Kobayashi S. // Polym. J. 1999. V. 31. № 3. P. 219.
- Weber C., Babiuch K.P., Rogers S., Perevyazko I., Hoogenboom R., Schubert U.S. // Polym. Chem. 2012. V. 3. № 10. P. 2976.
- Luef K.P., Hoogenboom R., Schubert U.S., Wiesbrock F. // Adv. Polym. Sci. 2015. V. 274. P. 183.
- Hoogenboom R., Fijten M.W.M., Schubert U.S. // J. Polym. Sci., Polym. Chem. 2004. V. 42. P. 1830.
- Hoogenboom R., Fijten M.W.M., Thijs H.M.L., van Lankvelt B.M., Schubert U.S. // Design. Monomers Polym. 2005. V. 8. P. 659.
- Wiesbrock F., Hoogenboom R., Leenen M.A.M., Meier M.A.R., Schubert U.S. // Macromolecules. 2005. V. 38. P. 5025.
- Bag S., Ghosh S., Paul S., Khan M.E.H., De P. // Macromol. Rapid Commun. 2021. V. 42. Р. 2100501.
- Nakayama Y., Smets G. // J. Polym. Sci., Polym. Chem. 1967. V. 5. P. 1619.
- Liu Q., Lv X., Li N., Pan X., Zhu J., Zhu X. // Polymer. 2018. V. 10. P. 321.
- Hill D.J.T., Shao L.Y., Pomery P.J., Whittaker A.K. // Polymer. 2001. V. 42. P. 4791.
- Mayo F.R., Lewis F.M. // J. Am. Chem. Soc. 1944. V. 66. № 9. P. 1594.
- Blokhin A.N., Kurlykin M.P., Razina A.B., Dudkina M.M., Ten’kovtsev A.V. // Polymer Science B. 2018. V. 60. № 4. P. 421.
- Weller D., McDaniel J.R., Fischer K., Chilkoti A., Schmidt M. // Macromolecules. 2013. V. 46. P. 4966.
- Oleszko N., Utrata-Wesołek A., Wałach W., Libera M., Hercog A., Szeluga U., Domański M., Trzebicka B., Dworak A. // Macromolecules. 2015. V. 48. № 6. P. 1852.
- Diab C., Akiyama Y., Kataoka K., Winnik F.M. // Macromolecules. 2004. V. 37. № 7. P. 2556.
- Kirila T.Yu., Razina A.B., Ten’kovtsev A.V., Filippov A.P. // Polymer Science C. 2022. V. 64. № 2. P. 211.
Қосымша файлдар









