Сополимеры акриламидов и акриловой кислоты с противовирусной активностью
- Авторы: Панарин Е.Ф.1, Журавская О.Н.1, Ситко А.В.1, Власова Е.Н.1, Штро А.А.2
-
Учреждения:
- Институт высокомолекулярных соединений – филиал Петербургского института ядерной физики им. Б.П. Константинова Национального исследовательского центра "Курчатовский институт"
- Научно-исследовательский институт гриппа им. А.А. Смородинцева
- Выпуск: Том 66, № 4 (2024)
- Страницы: 218-222
- Раздел: МЕДИЦИНСКИЕ ПОЛИМЕРЫ
- URL: https://bakhtiniada.ru/2308-1139/article/view/279922
- DOI: https://doi.org/10.31857/S2308113924040028
- EDN: https://elibrary.ru/MNIMEE
- ID: 279922
Цитировать
Полный текст
Аннотация
Реакциями в цепях полиакрилового ангидрида с ароматическими аминами впервые синтезированы карбоксильные полиэлектролиты ‒ водорастворимые сополимеры акриловой кислоты с N-замещенными акриламидами. Установлена структура сополимеров и состав, определены их молекулярно-массовые характеристики. Показана возможность получения чередующихся сополимеров акриловой кислоты. Синтезированы сополимеры разного состава, обладающие низкой цитотоксичностью и активностью в отношении вируса простого герпеса.
Полный текст
Несмотря на значительные достижения в области вакцинотерапии, вирусные инфекции по-прежнему остаются важной проблемой здравоохранения. Появление устойчивых к вакцинам вирусов происходит очень быстро. Кроме того, хранение вакцин и их транспортировка требуют соблюдения строгого температурного режима. В условиях сезонных респираторных инфекций и с появлением в мире опасных патогенных вирусов, таких как Ebola, Zika, SARS, H1V и других, против которых вакцины отсутствуют, особенно актуальна потребность в поиске и разработке новых противовирусных средств широкого спектра действия, нейтрализующих вирусы или блокирующих их проникновение в клетку. Среди перспективного класса противовирусных веществ особый интерес представляют высокомолекулярные соединения – водорастворимые синтетические и природные анионные полиэлектролиты.
Впервые противовирусная активность была обнаружена в середине прошлого столетия у полиакриловой и полиметакриловой кислоты [1]. Их активность обусловлена способностью блокировать взаимодействия вирусов с клетками “хозяина”, а также индуцировать выработку организмом специфического противовирусного белка ‒ интерферона, который вырабатывается зараженной клеткой для предупреждения соседних клеток [2]. Эпидемия ВИЧ, начавшаяся в 80-х годах ХХ века, стимулировала исследования по поиску полимеров с противовирусной активностью. Высокую активность продемонстрировали многие полианионные полиэлектролиты синтетические и природные, содержащие ионогенные, фосфатные, фосфонатные, карбоксильные и сульфо-группы [3, 4]. В современных условиях с появлением новых мутантных штаммов коронавируса и волнами сезонных респираторных инфекций целесообразно вести активный поиск макромолекул различного химического строения, обладающих противовирусной активностью, и установления взаимосвязи их строения с биологической активностью.
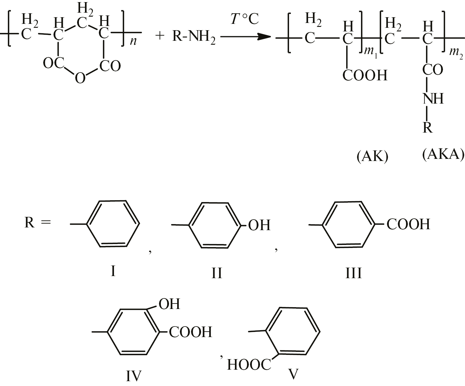
Целью настоящей работы являлся синтез анионных полиэлектролитов: сополимеров акриламидов различного строения с акриловой кислотой реакциями в цепях полиакрилового ангидрида, установления влияния их химического строения акриламидного звена на противовирусную активность и цитотоксичность.
ЭКСПЕРИМЕНТАЛЬНАЯ ЧАСТЬ
Материалы
В настоящей работе применяли акрилоилхлорид фирмы “Aldrich” (Германия) квалификации ч. 97%, триэтиламин производства “Компонент-реактив” (Россия) квалификации ч.д.а. (СТП ТУ КОМП 2-685-13). Инициатором служил 2,2-азо-бис-(изобутиронитрил) (ДАК), который перекристаллизовывали из этанола и хранили в темноте при ‒3 °С, Тпл = 103°‒105 °С.
Использовали также бензол квалификации х.ч. Акционерного общества “ЭКОС-1”; толуол ‒ перегоняли над прокаленной окисью кальция, Ткип = 110 °С, nd = 1.49; п-аминобензойную кислоту (п-АБК) и п-аминосалициловую кислоту (п-АСК) ‒ перекристаллизовывали из смеси вода : этанол в соотношении 1 : 1 с активированным углем, Тпл = 186.5°‒188° и 150.5 °С соответственно; диметилформамид ‒ очищали перегонкой азеотропа бензол‒вода, затем фракционировали в вакууме, Ткип = 153 °С, nd = 1.4269 [5].
Синтез
Ангидрид акриловой кислоты синтезировали по описанию работы [6] в среде диэтилового эфира, путем взаимодействия акриловой кислоты с акрилоилхлоридом в присутствии пиридина, nd = 1.4500 (лит. nd = 1.4487 при 20 °С):
Полиакриловый ангидрид (ПАА) с разной молекулярной массой синтезировали свободно-радикальной полимеризацией в бензоле (М = 75 × 103) или толуоле (М = 81 × 103) с использованием инициатора ДАК в количестве 1 мас. % в атмосфере аргона и запаянных ампулах при температуре 65 °С в течение 20 ч. По окончании полимеризации получали хрупкие блоки, которые извлекали из ампул и промывали соответствующими растворителями (бензолом и толуолом). Выход продукта составил 97‒99 мас. %:
Ацилирование аминов: анилина, (п-)м-аминофенолов, о-аминобензойной кислоты, п-АБК, п-АСК полиакриловым ангидридом проводили в ДМФА (мольное соотношение 1 : 3) при Т = 65 °С в течение 8 ч и выходом сополимеров 44‒78 мас. %. По окончании реакции сополимеры осаждали в диэтиловый эфир или хлороформ, после чего сушили в вакууме, а затем растворяли в 1 N NaOH. Удаляли низкомолекулярные примеси диализом против воды и выделяли лиофильной сушкой. Получали водорастворимые сополимеры натриевой соли акриловой кислоты с N-замещенным акриламидом. Молекулярную массу сополимеров М = (20‒91) × 103 оценивали методом вискозиметрии и рассчитывали по формуле работы [7].
Методы
Для определения молекулярной массы ПАА его подвергали гидролизу водой до полиакриловой кислоты (ПАК) (1 г ПАА растворяли при Т = 60 °С в 25 мл дистиллированной воды и выдерживали в течение 3 ч). Для удаления низкомолекулярных компонентов проводили диализ против воды с использованием полупроницаемой мембраны фирмы “Биолот” с пределом пропускания 1 кДа и выделяли ПАК лиофильной сушкой. Характеристическую вязкость ПАК измеряли в 2 N NaOH при Т = 25 °С в вискозиметре Уббелоде. Молелярную массу рассчитывали с помощью уравнения Марка‒Куна‒Хаувинка для ПАК: [ƞ] = 1.05 × 10‒3 М0.54 [7]; молекулярная масса находилась в интервале (75‒81) × 103.
Для идентификации полученных ПАА и ПАК записывали ИК-спектры на приборе “Shimadzu”, “Iraffinity-1S” в таблетках KBr. В спектрах ПАА наблюдали две полосы поглощения карбонильных групп 1750‒1800 см‒1, а также полосы валентных колебаний C‒O‒C при 1040 см‒1. После гидролиза ПАА в ИК-спектрах ПАК прослеживается исчезновение двух ангидридных полос в области 1750‒1800 см‒1 и появление одной карбонильной группы –CO в области 1700 см‒1 и –COOH в области 1420‒1300 см‒1.
Состав сополимеров определяли по данным элементного анализа на азот и методом УФ-спектроскопии. Спектры регистрировали на спектрофотометре “СФ-256 УВИ” (Общество с ограниченной ответственностью “ЛОМО Фотоника”, Россия): λmax = 215 (I), 236 (II), 284 (III), 286 (IV) и 243 нм (V). Строение сополимеров подтверждено данными ИК-спектроскопии (рис. 1; табл. 1) и спектрами ЯМР 1H.
Рис. 1. ИК-спектр сополимера натриевой соли акриловой кислоты с акрилоиланилидом
Таблица 1. Основные характеристические ИК-спектральные полосы синтезированных сополимеров
R | NH валентные колебания (см1) | ‒CH2‒ (см1) | COOH (см1) | C=O, амид 1 (см1) | Колебания ароматического скелета (см1) | СОО‒, асимм./симм. (см1) |
I II III IV V | 3293 3280 3294 3289 3300 | 2920‒2850 2920‒2850 2920‒2850 2920‒2850 2920‒2850 | 1700 ‒ 1700 плечо 1698 1701, 1683 | 1660 1645 1673 1670 1657 | 1594, 1494 1606, 151 1599, 1447 1598, 1501 1587, 1508 | 1540/1397 1544/1410 1526/1384 1544/1305 1510/1387 |
ИК-спектры регистрировали на ИК-фурье-спектрометре “Vertex 70” фирмы “Bruker” при разрешении 4 см‒1, число сканов 60. При регистрации спектров использовали микроприставку однократного НПВО “Pike” с рабочим элементом, изготовленным из ZnSe. При регистрации спектров однократного НПВО вводили поправку, учитывающую глубину проникновения луча в образец в зависимости от частоты.
Исследование противовирусной активности синтезированных сополимеров в отношении вируса простого герпеса первого типа и цитотоксичности осуществляли на культуре клеток Vero в лаборатории химиотерапии вирусных инфекций Научно-исследовательского института гриппа им. А.А. Смородинцева Минздрава России с использованием стандартных методов [8, 9]. Вирус простого герпеса получали из рабочей коллекции лаборатории химиотерапии вирусных инфекций (накоплен на культуре клеток Vero), далее из вирусосодержащей культуральной жидкости готовили серию аликвот. Полученные аликвоты хранили при температуре ‒80 °С.
В работе использовали клеточную культуру Vero (почечный эпителий зеленой мартышки), полученную из рабочей коллекции лаборатории химиотерапии вирусных инфекций. Для оценки противовирусной активности в отношении простого герпеса первого типа готовили серию 3-кратных разведений веществ, начиная от 2 ЦТД50 (50%-ная цитотоксичная доза, доза препарата, вызывающая гибель половины клеток) на поддерживающей среде “Альфа-МЕМ”, содержащую 20 мкг/мл ципрофлоксацина и 2% фетальной бычьей сыворотки (“Биолот”, Россия). Эти растворы вносили в культуру клеток Vero по 100 мкл на лунку 96-луночного планшета в двукратной концентрации и сразу же добавляли по 100 мкл вируса с концентрацией вирусных частиц в аликвоте не менее 106 в серии из семи 10-кратных разведений (10‒1–10‒7) и инкубировали в течение 1 ч при Т = 37 °С и 5% CO2. Далее клетки отмывали от вируса поддерживающей средой и снова вносили в лунки по 100 мкл разведений тестируемого средства, после чего во все лунки вносили по 100 мкл поддерживающей среды. Планшеты инкубировали в течение 3-х суток при Т = 37 °С и 5% CO2 в CO2-инкубаторе, а затем оценивали выживаемость клеток с помощью микротетразолиевого теста (МТТ-тест). Титр вируса во всех случаях рассчитывали по методу Рида и Менча [8] и выражали в 50%-ных тканевых инфекционных дозах (ТИД50). На основании полученных данных рассчитывали 50%-ную ингибирующую концентрацию (ЭД50).
РЕЗУЛЬТАТЫ И ИХ ОБСУЖДЕНИЕ
Ниже показан синтез сополимеров акриловой кислоты (АК) с N-акрилоильными производными ароматических аминов и аминокислот (АКА):
В ИК-спектре (рис. 1) сополимера натриевой соли акриловой кислоты с акрилоиланилидом присутствует широкая полоса 3500‒2500 см‒1 – колебания связи ‒ОН, на фоне которой заметна полоса 3293 см‒1, относящаяся к валентным колебаниям группы ‒NH вторичного амида, 2945‒2939 см‒1 – колебания группы ‒СН2 полимерной цепи, 1660 см‒1 – полоса поглощения С=О амидной группы (амид 1), 1594 и 1494 см‒1 – плоскостные колебания С=С ароматического скелета. Полосы 1540 и 1397 см‒1 относятся соответственно к антисимметричным и симметричным колебаниям ионизованной карбоксильной группы СОО–. Полоса деформационных колебаний группы ‒NH вторичного амида (амид 2) должна находится в интервале 1570‒1515 см‒1 и не может быть выделена на фоне интенсивной полосы 1540 см‒1. Плечо в области 1700 см‒1 свидетельствует о неполной ионизации полиакриловой кислоты. Другие сополимеры имеют аналогичные спектральные характеристики (табл. 1).
Спектры ЯМР 1H были зарегистрированы на спектрометре “Bruker Avance-400” (Германия) с рабочей частотой 400 МГц относительно сигналов растворителя D2O (4.78 м.д.), которые подтверждают строение и состав полученных сополимеров. На примере спектра (рис. 2) сополимера натриевой соли акриловой кислоты с акрилоиламинобензоатом натрия протоны ароматического кольца обнаруживаются по группе сигналов в интервале δ = 7.0‒7.5 м.д., сигнал продукта разложения ДМФА δ = 2.6 м.д., сигналы CH‒ основной цепи δ = 1.8‒2.8 м.д., сигналы CH2– основной цепи в области 1.2‒1.8 м.д.
Рис. 2. Спектр ЯМР 1H сополимера натриевой соли акриловой кислоты с акрилоиламинобензоатом натрия
Из данных (табл. 2) видно, что впервые синтезированные сополимеры акриламидов с акриловой кислотой проявляют высокую противовирусную активность по сравнению с полиакриловой кислотой. Модификация ПАК с введением в ее структуру ароматических фрагментов приводит к резкому повышению противовирусной активности, указывая тем самым на существенную роль гидрофобных факторов при взаимодействии сополимеров с клетками и вирионами (вирусными частицами).
Таблица 2. Условия ацилирования ароматических аминов и аминокислот ПАА, растворитель ДМФА. Состав и характеристики синтезированных сополимеров (М1 ‒ АК) и (М2 ‒ АКА)
R | Мол. соотношение ПАА : : R‒NH2 | [Ƞ]25 ˚С в 2 N NaOH, дл/г | УФ-спектроскопия, λmax | ЯМР 1H | Противовирусная активность против герпеса первого типа | |
М1 / М2, мол. % | М1 / М2, мол. % | ЦТД50, мкг/мл | ЭД50, мкг/мл | |||
Анилин (I) | 1 : 3 | 0.22 | 57 / 43 | 59 / 41 | ˃50 | 47.38 |
п-аминофенол (II) | 1 : 3 | 0.29 | 43 / 57 | 55 / 45 | ˃50 | 4.5 |
п-АБК (III) | 1 : 3 | 0.41 | 61 / 39 | 60 / 40 | ˃50 | 1.4 |
п-АСК (IV) | 1 : 3 | 0.45 | 78 / 22 | 77 / 23 | ˃50 | <0.6 |
о-аминобензойная кислота (V) | 1 : 3 | 0.44 | 86 / 14 | 77 / 23 | ˃50 | <0.6 |
ПАК | ‒ | (75‒81) × 103 | ‒ / ‒ | ‒ / ‒ | ˃50 | ˃50 |
Таким образом, наиболее высокую активность показали сополимеры акриловой кислоты с акрилоил-п-аминобензойной кислотой, акрилоил-п-аминосалициловой кислотой, акрилоил-п-аминофенолом, акрилоил-о-аминобензойной кислотой. Эти сополимеры перспективны для дальнейшего изучения.
Авторы выражают благодарность Д.Н. Разгуляевой, А.М. Клабукову, А.В. Галочкиной, А.В. Гаршининой, принимавших участие в оценке противовирусной активности образцов.
Работа выполнена в рамках Госзадания “Полимеры для биомедицины” (регистр. № 124013000730-3); а также за счет средств Государственного Задания Министерства Здравоохранения РФ “Молекулярно-биологические подходы к разработке нового лекарственного средства для терапии заболеваний, вызванных штаммами вируса простого герпеса, резистентными к существующим этиотропным препаратам, TVKQ-2024-0004”.
Настоящая статья не содержит описания исследований с использованием в качестве объектов животных и людей.
Авторы заявляют об отсутствии конфликта интересов в финансовой или какой-либо сфере.
Об авторах
Е. Ф. Панарин
Институт высокомолекулярных соединений – филиал Петербургского института ядерной физики им. Б.П. Константинова Национального исследовательского центра "Курчатовский институт"
Автор, ответственный за переписку.
Email: efra99@mail.ru
Россия, Санкт-Петербург
О. Н. Журавская
Институт высокомолекулярных соединений – филиал Петербургского института ядерной физики им. Б.П. Константинова Национального исследовательского центра "Курчатовский институт"
Email: efra99@mail.ru
Россия, Санкт-Петербург
А. В. Ситко
Институт высокомолекулярных соединений – филиал Петербургского института ядерной физики им. Б.П. Константинова Национального исследовательского центра "Курчатовский институт"
Email: efra99@mail.ru
Россия, Санкт-Петербург
Е. Н. Власова
Институт высокомолекулярных соединений – филиал Петербургского института ядерной физики им. Б.П. Константинова Национального исследовательского центра "Курчатовский институт"
Email: efra99@mail.ru
Россия, Санкт-Петербург
А. А. Штро
Научно-исследовательский институт гриппа им. А.А. Смородинцева
Email: efra99@mail.ru
Россия, Санкт-Петербург
Список литературы
- Somer P.D., Clercq E.D., Billiau A., Schonne E., Claesen M. // J. Virol. 1968. V. 2. № 9. P. 878.
- Merigan T.C., Finkelstein M.S. // Virology. 1968. V. 35. № 3. P. 363.
- Anderson R.A., Feathergill K., Diao X., Cooper M., Kirkpatrick R., Spear P., Waller D.P., Chany C., Doncel G.F., Lourens B., Zaneveld L.J. // J. Andrology. 2000. V. 21. № 6. P. 862.
- Schandock F., Riber C.F., Röcker A., Müller J.A., Harms M., Gajda P., Zuwala K., Andersen A.H.F., Lovschall K.B., Tolstrup M., Keppel F., Münch J., Zelikin A.N. // Adv. Healthc. Mater. 2017. V. 6. № 23. P. 1700748.
- Кейл Б. Лабораторная техника органической химии. М.: Мир, 1966.
- Барабашина Р.А., Слепцова О.М. А. с. 888793/23-4 СССР // Б.И. 1965. Бюлл. №13. SU 172313 A1.
- Ryuichi S. // J. Chem. Soc. Japan. Pure Chem. Sec. 1962. V. 83. № 4. P. 386.
- Reed L.J., Muench H. // J. Am. Epidemiology. 1938. V. 27. P. 493.
- Разгуляева Д.Н., Клабуков А.М., Галочкина А.В., Гаршинина А.В., Журавская О.Н., Гаврилова И.И., Манахов В.А., Нестерова Н.А., Штро А.А., Панарин Е.Ф. // Антибиотики и химиотерапия. 2023. Т. 68. № 9‒10. С. 34.
Дополнительные файлы







