Формирование композитных полимерных фотонных кристаллов и изучение их свойств методами оптической спектроскопии
- Authors: Шевченко Н.Н.1, Якобсон О.Д.1, Иванькова Е.М.1, Селькин А.В.2
-
Affiliations:
- Институт высокомолекулярных соединений Российской академии наук
- Физико-технический институт им. А.Ф. Иоффе Российской академии наук
- Issue: Vol 66, No 1 (2024)
- Pages: 31-41
- Section: ФУНКЦИОНАЛЬНЫЕ ПОЛИМЕРЫ
- URL: https://bakhtiniada.ru/2308-1139/article/view/264112
- DOI: https://doi.org/10.31857/S2308113924010043
- EDN: https://elibrary.ru/NORIKM
- ID: 264112
Cite item
Full Text
Abstract
Методами последовательной эмульсионной и затравочной эмульсионной полимеризации изготовлены монодисперсные полимерные частицы типа ядро‒оболочка. Структура поверхностного слоя частиц изучена с помощью растровой электронной микроскопии. Установлено, что последовательная эмульсионная полимеризация позволяет получать частицы с наименьшими значениями дисперсии их диаметра. Введение метилметакрилата как на стадии синтеза ядер, так и в процессе формирования оболочки приводит к формированию сферических частиц с гладким поверхностным слоем. На основе таких частиц получены пленки с ярко выраженными свойствами фотонных кристаллов и исследованы их спектры брэгговского отражения в поляризованном свете.
Full Text
ВВЕДЕНИЕ
Синтез полимерных монодисперсных частиц субмикронного размера на основе различных мономеров является интенсивно развивающейся областью химии высокомолекулярных соединений. Одно из интересных направлений применения таких полимерных частиц заключается в формировании на их основе периодических трехмерных структур, проявляющих свойства фотонных кристаллов (ФК) [1–3]. За последние 30 лет полимерные ФК были сформированы с использованием как сферических монодисперсных частиц, синтезированных на основе гомополимера (в основном либо полистирола, либо полиметилметакрилата), так и частиц более сложной структуры и морфологии [4–6]. Считается, что синтез частиц со структурой ядро–оболочка позволит сформировать бездефектные полимерные фотонные кристаллы большей площади [7]. Одними из первых работ в этой области были исследования команды Т. Ruhl, описывающие синтез частиц со структурой ядро–оболочка состава полистиролполиметилметакрилат–полиэтилакрилат [8, 9]. Было показано, что состав оболочки оказывает существенное влияние как на процесс самоорганизации частиц в трехмерные упорядоченные частицы, так и на свойства получаемых ФК. Интерес к синтезу частиц со структурой ядро–оболочка прежде всего связан с возможностью управления свойствами получаемых полимерных ФК. Например, на основе частиц ядро–оболочка могут быть сформированы фотонно-кристаллические мета-материалы, перспективные в качестве хемосенсоров, чувствительных к составу окружающей среды [10–16], датчиков давления, а также датчиков различных биологически активных соединений и т.д. [17–20]. Кроме того, фотонные кристаллы могут применяться в качестве газовых сенсоров [21–24]. Так, недавние работы [21, 22] показали, что полимерные ФК могут использоваться в качестве сенсора на ароматические молекулы – бензол, толуол, представляющие собой опасность как для окружающей среды, так и для здоровья человека. ФК на основе частиц кремнезема могут выступать в качестве датчиков на аммиак [23, 24]. Разработки в данной области перспективны, поскольку позволяют создавать эффективные и быстрые методы анализа при определении различных заболеваний.
Следует отметить, что синтез полимерных частиц со структурой ядро–оболочка представляет собой сложную и все еще исследуемую задачу [25, 26]. Нерешенными остаются вопросы понимания, как происходит процесс формирования частиц со структурой ядро–оболочка на основе термодинамически несовместимых полимеров. Основными методами синтеза частиц ядро–оболочка остаются метод затравочной эмульсионной полимеризации и метод непрерывной последовательной эмульсионной полимеризации [13, 16, 27]. Как оказалось, в зависимости от используемого метода при одинаковом составе реакционной системы в процессе формирования оболочки могут образовываться частицы с гладкой и сферической формой оболочки, а также частицы, по своей форме напоминающие мяч для гольфа (в англоязычной литературе такие частицы называют “golf-ball like particle”) [28]. В основном в литературе описываются экспериментальные данные по изучению характеристик уже синтезированных частиц ядро–оболочка [29]. Такая тенденция вполне закономерна, поскольку исследовать как характеристики самих частиц ядро–оболочка, так и ФК на их основе представляет собой довольно трудоемкую и непростую задачу. В своей работе S. Schutzmann и соавторы [30] показали, что для полученных ФК-структур на основе частиц поли(стирол-(co-2-гидроксиэтилметакрилат)) применение метода оптической эллипсометрии позволяет экспериментально определить эффективный показатель преломления, оценить степень оптической анизотропии и величину пространственной модуляции показателя преломления, а также долю “пустот” (воздуха) в ФК. Аналогичные исследования представлены в работе M. Ahles [31] при исследовании полимерных ФК на основе частиц полистирол–полиэтилакрилат. Найдено, что эллипсометрический подход может надежно и воспроизводимо предоставить дополнительную информацию о пространственном профиле показателя преломления и о форме полимерных частиц. Кроме того, проведенные нами ранее исследования показали, что спектроскопия брэгговского отражения света представляет собой весьма эффективный метод неразрушающего контроля структурного совершенства полимерных ФК-пленок, изготовленных на основе монодисперсных полистирольных частиц [32, 33]. Следует отметить, что заметную роль в формировании опалоподобных ФК могут играть эффекты спекания (взаимопроникновения) полимерных частиц и деформации (понижения симметрии) кубической решетки. При этом появляется возможность контролируемого управления свойствами ФК [34–39].
Цель настоящей работы – сравнительное исследование методов последовательной эмульсионной и затравочной сополимеризации как способов формирования монодисперсных субмикронных частиц со структурой ядро/оболочка, в которых состав оболочки одинаков или отличается незначительно. Показано, что метод формирования частиц оказывает существенное влияние на форму их поверхностного слоя (гладкая и сферическая или “гольфоподобная”). Поверхность синтезированных частиц ядро–оболочка исследовали методом растровой электронной микроскопии (РЭМ), определяя при этом и размеры частиц.
Кроме того, в работе детально исследованы свойства ФК-структур путем измерения спектров брэгговского отражения в поляризованном свете. Продемонстрирована эффективная процедура теоретического анализа экспериментальных спектров на основе простых кинематических условий дифракции света внутри трехмерных ФК, учитывающих эффекты многоволновой дифракции.
ЭКСПЕРИМЕНТАЛЬНАЯ ЧАСТЬ
Метакриловая кислота (МАК), метилметакрилат (ММА), бутилакрилат (БА), диметакрилат этиленгликоля (ДМЭГ), триметилолпропантриметакрилат (ТМПТМ) и стирол (все производства “Sigma-Aldrich”, Германия) очищали по стандартным методикам [19]. Инициатором служил водорастворимый персульфат калия (K2S2O8) (Общество с ограниченной ответственностью “Вектон”, Санкт-Петербург), очищенный перекристаллизацией из воды. Тетраметилэтилендиамин (ТМЭД) (“Sigma-Aldrich”, Германия) применяли без дополнительной очистки. Для приготовления растворов и проведения гетерофазной полимеризации использовали бидистиллированную воду (проводимость не более 0.12 мкСм/см (система деионизации “ВОДОЛЕЙ-М”, Россия). Растворы NaOH получали при растворении в бидистиллированной воде таблеток NaOH (“ч. д. а.”, Общество с ограниченной ответственностью “Вектон”, Санкт-Петербург) после их предварительной отмывки от бикарбоната натрия (NaHСО3), отрицательно влияющего на полимеризационный процесс. Точную концентрацию растворов NaOH определяли методом кондуктометрического титрования стандартным раствором HCl. Готовые растворы NaOH использовали не более двух недель, поскольку при долгом хранении они поглощают СО2 из воздуха.
В опубликованных нами ранее работах [13, 25] было показано, что частицы на основе полистирола, полученные в присутствии метакриловой кислоты, характеризуются минимальными значениями дисперсии диаметра частиц. В связи с этим в данной работе при исследовании методов последовательной эмульсионной полимеризации и затравочной эмульсионной полимеризации были выбраны условия синтеза ядер, описанных в работе [13].
В реактор помещали прокипяченную и охлажденную в токе аргона бидистиллированную воду с растворенным в ней инициатором. При перемешивании приливали половину объема МАК и рассчитанное количество раствора NaOH. Далее в систему добавляли смесь, содержащую стирол, ММА и оставшуюся часть МАК. После этого определяли рН среды и при помощи водяной бани устанавливали необходимую температуру. Процесс полимеризации проводили в течение 2 ч, поддерживая температуру в реакторе постоянной.
Формирование оболочки, содержащей звенья БА, осуществляли непрерывным способом сразу же после синтеза ядра. Для этого в реакционную систему на последней стадии полимеризации ядра вводили смесь (50 мас. % по отношению к ядру), содержащую ММА, БА и 0.5 мас. % сшивающего агента ДМЭГ (или ТМПТМ), а также дополнительное количество водного раствора инициатора K2S2O8. Полимеризацию проводили в течение еще 2 ч. После охлаждения полученной полимерной дисперсии до комнатной температуры обратный холодильник заменяли на прямой, присоединяли парогенератор и отгоняли “следы” не прореагировавшего с водяным паром мономера. От водорастворимых примесей полимерную дисперсию очищали трехкратным последовательным центрифугированием и редиспергированием частиц в бидистиллированной воде (центрифуга “Centrifuge 5804”, Eppendorf, Германия).
Процесс формирования оболочки, содержащей звенья БА, осуществляли методом затравочной полимеризации в две стадии. На первой стадии методом, описанным ранее, формировали ядра П(стирол‒МАК). Далее очищенную дисперсию ядер частиц (5 мас. %) помещали в реактор и нагревали на водяной бане. После выдерживания дисперсии частиц в течение 30 мин добавляли смесь мономеров, образующих оболочку. Через 30 мин набухания частиц ядер мономерами, формирующими оболочку, вводили окислительно-восстановительную инициирующую систему K2S2O8 : ТМЭД (при температуре 90°С ТМЭД в реакционную систему не добавляли). Состав мономеров и условия сополимеризации приведены в табл. 1.
Реакционную смесь выдерживали при нагревании не более 15 мин, затем охлаждали до комнатной температуры. После проведения процесса полимеризации непрореагировавшие мономеры удаляли при пониженном давлении (вакуумный роторный испаритель “Laborota 4011”, Heidolph, Германия). Полимерную дисперсию частиц очищали от водорастворимых олигомеров трехкратными последовательными циклами центрифугирование–редиспергирование в бидистиллированной воде (центрифуга “Centrifuge 5804”, Eppendorf, Германия).
Размер частиц и морфологию их поверхности оценивали с помощью РЭМ (микроскоп “SUPRA 55 VP”, Германия). Измерения гидродинамического диаметра частиц методом динамического светорассеяния (ДСР) и их ζ-потенциала в 10–2 М водном растворе NaCl проводили на анализаторе “Zetasizer Nano-ZS” (Malvern, Великобритания).
На основе синтезированных композитных частиц были получены пленки, проявляющие свойства ФК. Для этого разбавленную водную дисперсию частиц со структурой ядро–оболочка наносили на предварительно очищенную стеклянную подложку и медленно высушивали на воздухе. Для каждого типа частиц ядро–оболочка было получено несколько пленок, предназначенных для дальнейших оптических исследований.
Измерения спектров брэгговской дифракции выполняли на оптической установке, собранной на базе мини-спектрометра “HAMAMATSU C10083CA” (Япония). Спектры брэгговского отражения снимали в s-поляризациях падающего и отраженного света (ss-конфигурация) при разных углах падения. Источником света при измерении спектров служила галогенная лампа накаливания. Подобная методика эксперимента описана в работах [32, 33].
Анализируя возможную неоднородность оптических свойств пленок в пределах их отражающих поверхностей, предварительно спектры регистрировали от разных поверхностных областей размером около 2 × 2 мм2 для каждой пленки. Всего на каждом образце было выделено порядка 30 точек, на которые фокусировалась нить лампы накаливания в пятно, максимальный поперечный размер которого не превышал 0.4 мм. При этом фиксировались области, в пределах которых спектры представлялись наиболее качественными с точки зрения дальнейших более детальных измерений.
Ниже схематически изображена геометрия отражения света от опалоподобного ФК.
Плоскость XY совпадает с латеральной (отражающей) плоскостью (111) поверхности образца. Азимут φ плоскости падения (содержащей падающий и отраженный лучи) отсчитывается от плоскости XZ, перпендикулярной наклонным плоскостям (11–1) и (002) кристалла, θ – угол падения–отражения. В рисунок включена также микрофотограмма (полученная с помощью РЭМ) фрагмента поверхности образца, поясняющая, каким образом поверхностные глобулы полимера расположены относительно осей X и Y.
Изменение угла φ в эксперименте осуществляли путем поворота образца пленки ФК вокруг нормали к поверхности, т.е. вокруг оси Z. Направление распространения падающего (отраженного) света задавалось устанавливаемым с помощью гониометра углом падения (отражения) θ.
РЕЗУЛЬТАТЫ И ИХ ОБСУЖДЕНИЕ
Синтез монодисперсных полимерных частиц ядро–оболочка осуществляли двумя методами.
Сначала был применен метод последовательной эмульсионной полимеризации.
На первом этапе синтеза были сформированы затравочные ядра на основе сополимера стирола с метилметакрилатом и метакриловой кислотой (см. табл. 1.), а также на основе только сополимера стирола с метакриловой кислотой. В ходе эксперимента варьировали температуру формирования затравочных ядер. Кроме того, в условиях опытов ФН1, ФН2 и ФН3 в процессе формирования ядер дополнительно вводили в смесь сомономеров 30 мас. % метилметакрилата (табл. 1). В условиях эксперимента опыта ФН4 в реакционную систему не вводили метилметакрилат, и синтез вели при температуре 90°С. Все соотношения сомономеров и условия проведения процесса были подобраны таким образом, что к моменту окончания стадии формирования затравочных ядер частиц их размер был сопоставим и составлял по данным ДСР 190– 200 нм.
Таблица 1. Условия получения композитных частиц со структурой ядро–оболочка и их характеристики
Опыт № | Соотношение компонентов реакционной смеси, мас. % | D*, нм | Đ | ζ, мВ 10–2 М, NaCl | |||
ядро | оболочка | ||||||
M/H2O мас. % | Т, °С | (ММА + БА)/ядро | сшиватель/Моболоч. мас. % | ||||
ФН1 | (стирол + ММА + МАК) – 5.5 | 75 | 0.75 : 0.25 | 0.5 – ДМЭГ | 320 | 0.03 | –77 |
ФН2 | (стирол + ММА + МАК) – 5.5 | 75 | 0.5 : 0.5 | 0.5 – ДМЭГ | 310 | 0.05 | –86 |
ФН3 | (стирол + ММА + МАК) – 5.5 | 75 | 0.5 : 0.5 | 0.5 – ТМПТМ | 230 | 0.03 | –85 |
ФН4 | (стирол + МАК) – 5.4 | 50 | 0.5 : 0.5 | 0.5 – ДМЭГ | 310 | 0.06 | –80 |
ФН5** | (стирол + МАК) – 5.4 | 50 | 0.5 : 0.5 | 0.5 – ДМЭГ | 315 | 0.14 | –73 |
ФН6** | (стирол + МАК) – 5.4 | 90 | 0.5 : 0.5 | 0.5 – ТМПТМ | 320 | 0.08 | –71 |
Примечание. Т – температура полимеризации. M – мономеры. Đ – дисперсность. Состав мономерной фазы: инициатор – 2.4 мас. % к M при формировании частиц ядра и 1.2 мас. % к M при формировании оболочки. Мономеры ядра: стирол, МАК, ММА. Мономеры оболочки: ММА БА, ДМЭГ (или ТМПТМ).
* Определено методом ДСР.
** Полимерные частицы ядро‒оболочка получены в процессе затравочной эмульсионной полимеризации (характеристика затравочных частиц ядра: D = 262 нм, Đ = 0.028).
На второй стадии метода последовательной эмульсионной полимеризации формировали оболочку. Оказалось, что соотношение массы мономеров оболочки к ядру, равное 0.75 : 0.25, приводит лишь к незначительному увеличению диаметра частиц ядро–оболочка (табл. 1, опыт ФН1). При введении в качестве сшивающего агента триметилолпропантриметакрилата закономерно уменьшается размер формируемых частиц ядро–оболочка, поскольку в данном случае формируется оболочка с более плотной упаковкой полимерных цепей. Исследование структуры поверхностного слоя синтезированных частиц ядро-оболочка было проведено методом РЭМ (рис. 1). Показано, что в условиях опыта ФН2 формируются частицы ядро–оболочка с минимальными значениями дисперсии диаметра частиц (рис. 1а, 1б).
Рис. 1. Изображения РЭМ пленок на основе частиц ядро–оболочка: опыты ФН2 (а, б), ФН3 (в, г), ФН4 (д, е), ФН5 (ж, з) и ФН6 (и, к). На вставке – фотографии образов ФН2 и ФН6. Цветные рисунки можно посмотреть в электронной версии.
Введение в качестве сшивающего агента триметилолпропантриметакрилата привело к незначительному искажению сферичности частиц ядро/оболочка (рис. 1г), что также отразилось на их самоорганизации в трехмерные структуры. Как видно на микрофотографиях, для образца пленки на основе частиц ФН3 характерно большее количество дефектов по сравнению с пленкой на основе частиц ФН2 (рис. 1в). Следует отметить, что проведение процесса формирования частиц ядро–оболочка методом последовательной эмульсионной полимеризации в условиях, когда на первой стадии формирования ядра в реакционную систему не вводили метилметакрилат, привело к тому, что на второй стадии в процессе формирования оболочки образовались частицы с диаметром существенно ниже, чем диаметр частиц ядра (рис. 1д, 1е). Это свидетельствует о том, что на второй стадии идет образование “бисерного” полимера, состоящего из мономеров оболочки. Таким образом, в условиях опыта ФН4 при сополимеризации термодинамически несовместимых полимеров (когда мономеры второй стадии добавлены в достаточном количестве) образующиеся полимерные цепи полиметилметакрилата предпочтительно образуют отдельную фазу частиц вместо того, чтобы полимеризоваться на поверхности затравочных ядер. Заметим, что в процессе последовательной эмульсионной полимеризации формируются либо сферические частицы ядро–оболочка с гладким поверхностным слоем, либо частицы ядро–оболочка, у поверхностного слоя которых незначительно пропадает сферичность. Напротив, при проведении полимеризации частиц методом затравочной эмульсионной полимеризации формируются частицы ядро–оболочка, поверхностный слой которых напоминает “мяч для гольфа” (рис. 1ж–1к). Введение в процессе полимеризации оболочки более разветвленного сшивающего агента триметилолпропантриметакрилата приводит к тому, что “гольфоподобная” структура поверхностного слоя частиц ядро–оболочка становится более отчетливой. Несмотря на то, что как в условиях опыта ФН5, так и в условиях опыта ФН6 были получены частицы с “гольфоподобной” структурой поверхностного слоя, из данных РЭМ следует, что такие частицы способны к самосборке в трехмерно-упорядоченные структуры (рис. 1ж, 1и, 1к).
Исследование спектров брэгговского отражения света от образцов ФК полимерных пленок, полученных на основе синтезированных частиц ядро–оболочка, показало, что наиболее совершенными в смысле проявления трехмерной кристаллической структуры оказались образцы пленок ФК на основе частиц опыта ФН2. Следует отметить, что из водной дисперсии каждого типа частиц ядро–оболочка были сформированы тонкие пленки в количестве от 5 до 10 штук. При этом только в серии пленок на основе частиц опыта ФН2 практически не наблюдаются (или фиксируются весьма незначительные) изменения в спектрах разных пленок, входящих в серию. Заметим, что для этой же серии пленок характерна наиболее высокая оптическая однородность вдоль поверхности.
В случае пленок на основе частиц ФН4, для которых в спектрах отражения регистрируется минимальный эффект брэгговской дифракции, воспроизводимость качества спектров от образца к образцу оказалась самой низкой.
В этой связи важно также подчеркнуть, что численные значения структурных параметров (прежде всего фотонно-кристаллических периодов) оказываются слабо зависящими от расположения точек измерений на поверхности конкретной пленки, хотя качество самих спектров (ширина и интенсивность брэгговских пиков) могут сильно зависеть от точки наблюдения.
На рис. 2 изображены измеренные спектры брэгговской дифракции света от ФК на основе частиц опыта ФН2 в ss-конфигурации зеркального отражения, полученные при трех углах падения θ = 15°, 35°, 55° в азимутальной ориентации образца φ = 0°.
Рис. 2. Спектры брэгговского отражения ss-поляризованного света от ФК-пленки на основе частиц опыта ФН2 при угле падения θ = 15° (1), 35° (2) и 55° (3) (азимутальная ориентация образца φ = 0°).
Из экспериментальных данных следует, что с ростом θ происходит коротковолновое смещение пиков отражения, а также появляется ярко выраженный дублет в полосе отражения при углах падения в интервале 50° < θ < 60°. Кроме этого, длинноволновые по отношению к пикам области спектров характеризуются присутствием интерференционной (типа интерференции Фабри‒Перо) осциллирующей структуры. Что касается провала в дублетной полосе отражения при угле падения 55° (кривая 1), то при увеличении θ он смещается в длинноволновую сторону спектра.
Если при фиксированном угле падения вращать образец вокруг нормали к поверхности (ось Z) , т.е. менять азимутальный угол φ, то положение провала также смещается в пределах полосы отражения. При этом существует некоторое предельное значение φ, при котором достигается самое длинноволновое положение провала. Как было установлено ранее [32, 33], такое предельное φ соответствует ориентации ФК-образца, при которой наклонные кристаллические плоскости (11–1) и (002) перпендикулярны плоскости падения (XZ, см. выше), т.е., когда φ = 0°. Это обстоятельство позволяет, вообще говоря, на основании азимутального поведения спектра брэгговского отражения устанавливать необходимую ориентацию образца, не прибегая к диагностике с использованием РЭМ.
Измеренные зависимости от угла падения θ –спектральных особенностей полос брэгговского отражения для образца на основе частиц ФН2 приведены на рис. 3.
Рис. 3. Спектральные положения особенностей брэгговского отражения света от ФК-пленки на основе частиц ФН2 в зависимости от угла падения θ (ss-поляризация света): экспериментальные зависимости 1 и 2 – положения пиков и провалов соответственно, кривая 3 – расчет по формуле (1).
Кривая 1 (точки 1) описывает спектральное положение максимума полосы при азимуте φ = 0°. Аномальное поведение кривой вблизи угла падения θ. θ* ≈55° связано с тем, что при этом угле выравниваются максимальные значения длинноволнового и коротковолнового пиков дублетной полосы: при θ < θ* более интенсивным является коротковолновый пик, а при θ > θ* – наоборот.
Экспериментальная кривая 2 построена на основании измерений спектрального положения провала в дублетной полосе в зависимости от угла падения.
Переходя к количественной обработке представленных на рис. 3 результатов измерений, отметим, что в первом приближении основные наблюдаемые угловые зависимости можно интерпретировать в рамках кинематического подхода [32, 33]. Так, спектральное положение максимума λ111 полосы брэгговского отражения света на плоскостях (111) достаточно хорошо аппроксимируется зависимостью
(1)
выражающей собой модификацию закона Брэгга применительно к опалоподобной структуре.
В выражении (1) параметр ε0 представляет собой среднюю диэлектрическую проницаемость ФК, a00 – минимальное расстояние между центрами глобул в плоскости поверхности образца, а η – коэффициент одноосной деформации образца вдоль направления [111], перпендикулярного плоскости поверхности. Коэффициент η определяется как отношение соответствующего межплоскостного расстояния в деформированной решетке к межплоскостному расстоянию в идеальной кубической (недеформированной) структуре и по своему смыслу характеризует механохромные (mechanochromic [20]) свойства опалоподобного ФК. Значение η = 1 относится кнедеформированной решетке, случай η < 1 описывает ситуацию, когда кубическая решетка сжата вдоль направления [111].
В результате подгонки (методом наименьших квадратов) теоретической зависимости, задаваемой соотношением (1), к экспериментальным данным рис. 3 (кривая 1) получаем сплошную кривую 3, при значениях параметров a00η = 253 нм и ε0 = 2.26. С другой стороны, точка пересечения (λ*, θ*) угловых зависимостей 2 и 3, представленных на рис. 3 при азимутальной ориентации φ = 0°, дается (согласно работе [32]) выражением
(2)
Последнее соотношение следует из резонансного условия многоволновой дифракции света одновременно на двух системах плоскостей: латеральных (111) и наклонных (11-1) по отношению к ним [32, 33]. Тогда, подставляя в выражение (2) измеренные значения λ* = 520 нм и θ* = 54.5° и зная приведенное выше произведение a00η, находим по отдельности численные значения как a00= 265.9 нм, так и η = 0.946.
Еще один из немаловажных параметров, характеризующих исследованную пленку, а именно ее толщина d, может быть оценен из измерения периода осцилляций в спектре отражения, которые наблюдаются в длинноволновой области (в районе 700 нм на рис. 2), достаточно удаленной от брэгговского пика. Используя стандартную формулу Эйри, имеем d = 12.7 мкм. Тогда, зная толщину пленки и значение a00η, находим число монослоев Nсл. микроглобул, укладывающихся в пределах толщины пленки (Nсл.= 63).
Анализ данных РЭМ для пленки на основе частиц ФН2 позволяет установить среднее латеральное расстояние <a00> между ближайшими глобулами на поверхности образца. В результате усреднения по нескольким разным направлениям вдоль выбранных поверхностных цепочек частиц получаем значение <a00> = 263.3 нм. С другой стороны, теоретический расчет, выполненный на основе анализа оптических спектров в рамках выше описанной модели [32], дает, как отмечено выше, для той же пленки значение a00 = 265.9 нм. Иными словами, погрешность определения параметра a00 двумя разными методами оказывается в пределах, не превышающих 1.5%.
Этот результат надежно подтверждает справедливость использованной процедуры теоретического описания спектров брэгговского отражения, свидетельствует о высоком кристаллическом совершенстве образцов, изготовленных на основе частиц серии ФН2 и позволяет рассматривать такие образцы в качестве уникальных модельных объектов для дальнейших теоретических исследований взаимодействия света с решеткой трехмерных ФК.
Степень структурного совершенства исследуемых пленок как объектов с трехмерной ФК структурой может качественно оцениваться по глубине и резкости провала в дублетной полосе (наблюдаемой при достаточно больших углах падения внешнего света). Поскольку формирование такого провала является следствием многоволновой дифракции света внутри трехмерного ФК одновременно на разных системах (двух и более) кристаллических плоскостях (см. также работу [33]), в такой ситуации речь идет фактически о проявлении трехмерных кристаллических свойств пленок.
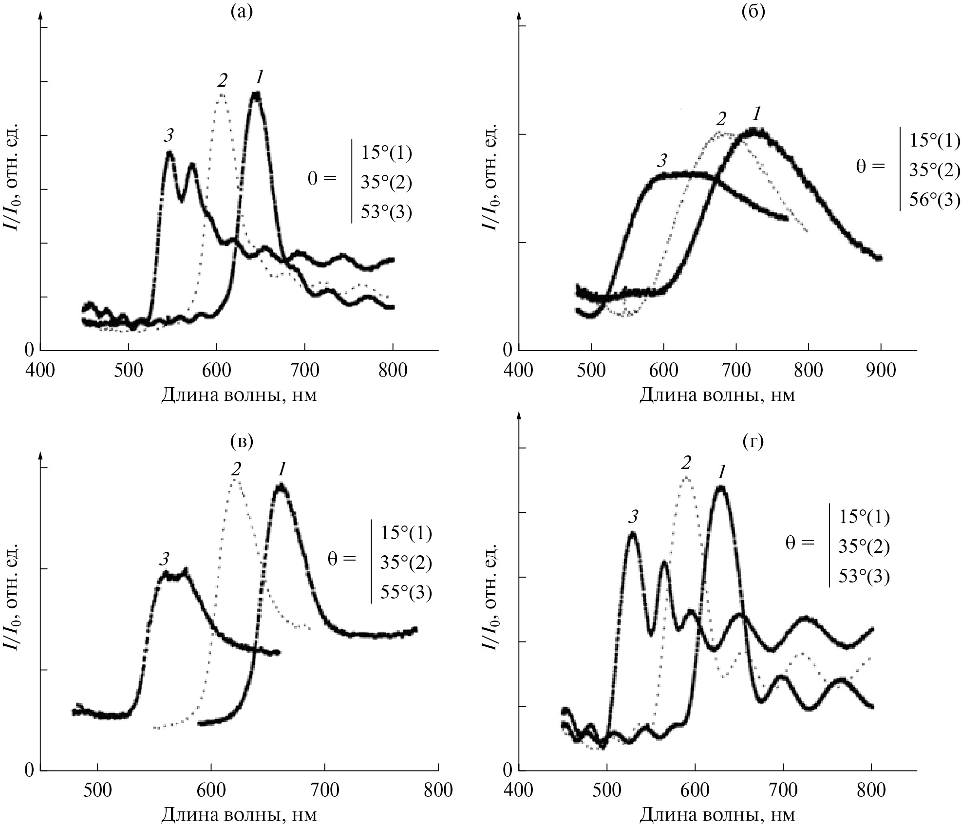
На рис. 4 представлены измеренные спектры ФК на основе частиц опытов ФН3, ФН4, ФН5 и ФН6 для нескольких углов падения θ (по три разных угла на каждый образец), которые позволяют отследить принципиальные тенденции изменения формы спектров с изменением θ.
Из данных рис. 4 следует, что спектры демонстрируют основную наблюдаемую закономерность в их поведении, связанную с изменением угла падения θ. А именно, регистрируемые интенсивные полосы отражения смещаются в коротковолновую сторону по мере увеличения θ, что согласуется с угловой зависимостью (1). В связи с этим можно утверждать, что для всех обсуждаемых образцов мы имеем дело с эффектом брэгговской дифракции в направлении зеркального отражения света. Кроме того, наблюдаются существенные различия в форме и спектральной ширине полос. Так, заметно выраженный провал (дублетная структура) в полосе отражения (который является главным признаком трехмерной пространственной периодичности пленки) зарегистрирован в спектрах образцов частиц ФН3 и ФН6. В случае образца на основе частиц ФН5 фиксируется менее выраженная дублетная форма полосы, а для пленки на основе частиц ФН4 можно говорить лишь о намеке на дублетность, проявляющемся в наличии плато в максимуме полосы отражения при θ* = 56°.
Теоретическая обработка спектров, изображенных на рис. 4, выполнялась в рамках процедуры, изложенной выше. В табл. 2 представлены численные значения (полученные в результате такой обработки) параметров всех исследованных образцов.
Рис. 4. Спектры брэгговского отражения света от ФК-пленки на основе частиц ФН3 (а), ФН4 (б), ФН5 (в) и ФН6 (г). θ = 15° (1), 35° (2), 53° (а, г), 56° (б) и 55° (в) (3).
Таблица 2. Значения оптических и структурных параметров исследованных полимерных ФК
Образец ФК | a00, нм | ε0 | η | d, мкм | Nсл |
ФН2 | 265.9 | 2.27 | 0.946 | 12.7 | 63 |
ФН3 | 195.3 | 2.658 | 0.94 | 5.52 | 38 |
ФН5 | 283.7 | 2.339 | 0.948 | – | – |
ФН6 | 284.3 | 2.253 | 0.916 | 2.59 | 13 |
Показано, что, как правило, в пленках присутствует определенная степень одноосной (вдоль нормали к поверхности) деформации, выражаемая отличием от единицы коэффициента η. В тех ситуациях, когда дублетная структура полос не регистрируется, возможность измерения деформационного параметра η отсутствует. Чтобы оценить значение среднего минимального расстояния a00 между центрами полимерных глобул, в таких ситуациях в качестве грубой оценки использовали приемлемое усредненное (по совокупности большого числа образцов) значение η ≈ 0.94. Толщина d пленки и число Nсл. монослоев могут быть оценены, если в спектрах в длинноволновой области регистрируется интерференционная структура.
Исследования спектров брегговского отражения позволяют оценить степень совершенства формируемых фотонно-кристаллических структур. Из литературы известно, что трехмерно-упорядоченные пленки с минимальным количеством дефектов могут быть сформированы только на основе полимерных частиц с минимальной дисперсией по диаметру. Однако распределение частиц по размерам не является достаточным условием формирования совершенных пленок ФК. Существенным условием также является формирование у частиц поверхностного слоя, обеспечивающего образование периодических коллоидных структур еще в водной дисперсионной среде. В работе показано, что на основе частиц ядро– оболочка, полученных методом последовательной эмульсионной полимеризации (частицы опыта ФН2), возможно воспроизводимое формирование трехмерно-упорядоченных пленок, в которых ориентация частиц в соседних доменах сохраняется (рис. 1а). На основе таких частиц ядро–оболочка могут быть изготовлены совершенные трехмерные ФК толщиной до 63 монослоев.
ЗАКЛЮЧЕНИЕ
В работе показано, что монодисперсные полимерные частицы со структурой ядро–оболочка могут быть получены методами последовательной эмульсионной и затравочной эмульсионной полимеризации. При этом наименьшими значениями дисперсии диаметра характеризуются частицы, синтезированные методом последовательной эмульсионной полимеризации. Введение метилметакрилата как на стадии синтеза ядер, так и в процессе формирования оболочки приводит к формированию сферических частиц с гладкой формой поверхностного слоя.
Выполненные в работе исследования спектров брэгговской дифракции света от полимерных пленок, полученных путем самоорганизации синтезированных частиц, позволили оценить степень совершенства получаемых фотонных кристаллов. На основе комплекса спектрально-поляризационных измерений пленочных образцов установлено, что наиболее совершенные трехмерные кристаллические решетки формируются в процессе седиментации на подложку исходных частиц ФН2 со структурой ядро–оболочка, изготовленных методом последовательной эмульсионной полимеризации.
Работа выполнена при финансовой поддержке Российского научного фонда (проект 23-23-00501).
About the authors
Н. Н. Шевченко
Институт высокомолекулярных соединений Российской академии наук
Author for correspondence.
Email: natali.shevchenko29@gmail.com
Russian Federation, 199004 Санкт-Петербург, Большой пр., 31
О. Д. Якобсон
Институт высокомолекулярных соединений Российской академии наук
Email: natali.shevchenko29@gmail.com
Russian Federation, 199004 Санкт-Петербург, Большой пр., 31
Е. М. Иванькова
Институт высокомолекулярных соединений Российской академии наук
Email: natali.shevchenko29@gmail.com
Russian Federation, 199004 Санкт-Петербург, Большой пр., 31
А. В. Селькин
Физико-технический институт им. А.Ф. Иоффе Российской академии наук
Email: natali.shevchenko29@gmail.com
Russian Federation, 194021 Санкт-Петербург, Политехническая ул., 26
References
- Kazuaki S. // Opt. Rev. 1999. V. 6. № 5. P. 381.
- Park J.-G., Benjamin R.W., Magkiriadou S., Magkiriadou S., Kodger T., Kim S.-H., Kim Y.-S., Manoharan V.N. // Opt. Mater. Express. 2017. V. 7. № 1. P. 253.
- Ifijen I.H., Omonmhenle S.I. // Biomed. Mater. Devices. 2023.
- Yazhgur P., Aubry G. J., Froufe-Pérez L.S., Scheffold F. // Opt. Express. 2021. V. 29. № 10. P. 14367.
- Ohnuki R., Takeoka Y., Yoshioka S. // ACS Appl. Nano Mater. 2023. V.6. № 14. 13137.
- Shevchenko N.N., Shabsel’s B.M., Iurasova D.I., Skurkis Yu.O. // Polymer Science C. 2022. V. 64. № 2. P. 245.
- Li H., Wu P., Zhao G., Guo J., Wang C. // J. Colloid Interface Sci. 2021. V. 584. P. 145.
- Ruhl T., Spahn P., Hellmann G. // Polymer. 2003. V. 44. № 25. P. 7625.
- Viel B., Ruhl T., Hellmann G. // Chemistry of Materials. 2007. V. 19. № 23. P. 5673.
- Demirörs A.F., Poloni E., Chiesa M., Bargardi F.L. // Nat. Commun. 2022. V. 13. P. 4397.
- Shevchenko N., Pankova G., Laishevkina S., Iakobson O., Koshkin A., Shabsels B. // Colloids Surf. Physicochem. Eng. Asp. 2019. V. 562. P. 310.
- Shevchenko N.N., Shabsels B.M., Men’shikova A.Yu., Pankova G.A., Smyslov R.Y., Saprykina N.N., Sel’kin A.V., Ukleev T.A. // Nanotechnol. Russ. 2012. V. 7. № 3–4. P. 188.
- Iakobson O., Ivan’kova E., Shevchenko N. // Langmuir. 2023. V. 39. № 28. P. 9952.
- Takeoka Y. // J. Mat. Chem. C. 2013. V. 1. № 38. P. 6059.
- Shevchenko N., Pankova G., Shabsel’s B., Baigildin V., Khoshkin A., Ukleev T., Sel’kin A. // J. Dispersion Sci. Technol. 2018. V. 39. P. 1.
- Lü T., Xu M., Chen J., Qi D., Zhao // Langmuir. 2023. V. 39. № 44. P. 15808.
- Finlayson C.E., Rosetta G., Tomes J.J. // Appl. Sci. 2022. V. 12. № 10. P. 4888.
- Rosetta G., Matthew G., Tomes J.J., Butters M., Jens P., Hartmann F., Gallei M., Finlayson C.E. // Molecules. 2022. V. 27. № 12. P. 3774.
- Rosetta G., Tomes J.J., Butters M., Gunn M., Finlayson C.E., High-Angle // Crystals. 2023. V. 13. № 4. P. 622.
- Wei B., Hu. Y., Yang D., Huang S. // Adv. Sensor Res. 2023. V 2. № 7. P. 2200078.
- Emami H., Alidadi M., Ebnali-Heidari A., EbnaliHeidari M. // Optik. 2016. V. 127. № 5. P. 2461.
- Goyal A.K., Dutta H.S., Pal S. // J. Phys. D. 2017. V. 50. № 20. P. 203001.
- Kuchyanov A.S., Chubakov P.A., Plekhanov A.I. // Optic. Comm. 2015. V. 351. P. 109.
- Kuchyanov A.S., Sorokin V.A., Chubakov P.A., Mikerin S.L. // Opt. Instrument. Proc. 2022. V. 58. P. 36.
- Men’shikova A. Yu., Bilibin A. Yu., Shevchenko N.N., Shabsel’s B.M., Evseeva T.G., Bazhenova A.G., Sel’kin A.V. // Polymer Science A. 2006. V. 48. № 9. P. 910.
- Wang F., Luo Y., Li B.-G., Zhu S. // Macromolecules, 2015. V. 48. № 5. P. 1313.
- Iakobson O.D., Ivan’kova E.M., Vaganov G.V., Krasnopeeva E.L., Shevchenko N.N. // Polymer Science B. 2023. V. 65. № 4. P. 457.
- Kim S.H., Son W.K., Kim Y.J., Kang E.-G., Kim D.-W., Park C.W., Kim W.-G., Kim H.-J. // J. Appl. Polym. Sci. 2003. V. 88. № 3. P. 595.
- Shahsavari M.R., Namjoo A., Mohammadian H., Saadat Y., Hosseinzadeh S., Abdolbaghi S. // Colloid J. 2016. V. 78. № 3. P. 415.
- Schutzmann S., Prosposito P., Casalboni M., Venditti I., Russo M.V. // Phys. Status Solidi (c). 2008. V. 5. № 5. P. 1403.
- Ahles M., Ruhl T., Hellmann G.P., Winkler H., Schmechel R., von Seggern H. // Optics Communications. 2005. V. 246, № 1–3. P. 1.
- Ukleev T.A., Yurasova D.I., Shevchenko N.N., Sel’kin A.V. // J. Phys.: Conf. Ser. 2016. V. 769. P. 012051.
- Ukleev T.A., Shevchenko N.N., Iurasova D.I., Sel’kin A.V. // Phys. Solid State. 2018. V. 60. № 5. P. 916.
- Sinitskii A.S., Khokhlov P.E., Abramova V.V., Laptinskaya T.V., Tretyakov Yu.D. // Mendeleev Commun. V. 17. № 1. P. 4.
- Florescu M., Torquato S., Steinhardt P.J. // Proc. Nat. Acad. Sci. 2009. V. 106. № 49. P. 20658.
- Schertel L., Siedentop L., Meijer J.-M., Keim P., Aegerter C.M., Aubry G.J., Maret G. // Adv. Opt. Mater. 2019. V. 7. № 15. P. 1900442.
- Woldeyohannes M., John S. // J. Opt. B. 2003. V. 5. № 2. P. R43.
- Baryshev A.V., Kosobukin V.A., Samusev K.B., Usvyat D.E., Limonov M.F. // Phys. Rev. B. 2006. V. 73. № 20. P. 205118.
- Calisteo-López J.F., Ibisate M., Sapienza R., Froufe-Pérez L.S., López Á.B.C. // Adv. Mater. 2011. V. 23. № 1. P. 30.
Supplementary files








