ВЫСОКОАКТИВНЫЕ КАТАЛИЗАТОРЫ НА ОСНОВЕ ГИБРИДНЫХ САЛИЦИЛАЛЬДАРИЛИМИННЫХ КОМПЛЕКСОВ ДИХЛОРИДА ТИТАНА(IV) ДЛЯ СИНТЕЗА СВЕРХВЫСОКОМОЛЕКУЛЯРНОГО ПОЛИЭТИЛЕНА С НЕЗАЦЕПЛЕННЫМИ МАКРОМОЛЕКУЛАМИ
- Авторы: Олейник И.В.1, Шундрина И.К.1, Олейник И.И.1
-
Учреждения:
- Новосибирский институт органической химии им. Н.Н. Ворожцова Сибирского отделения Российской академии наук
- Выпуск: Том 65, № 4 (2023)
- Страницы: 243-253
- Раздел: КАТАЛИЗ
- URL: https://bakhtiniada.ru/2308-1139/article/view/231631
- DOI: https://doi.org/10.31857/S2308113923700560
- EDN: https://elibrary.ru/VAIYCY
- ID: 231631
Цитировать
Полный текст
Аннотация
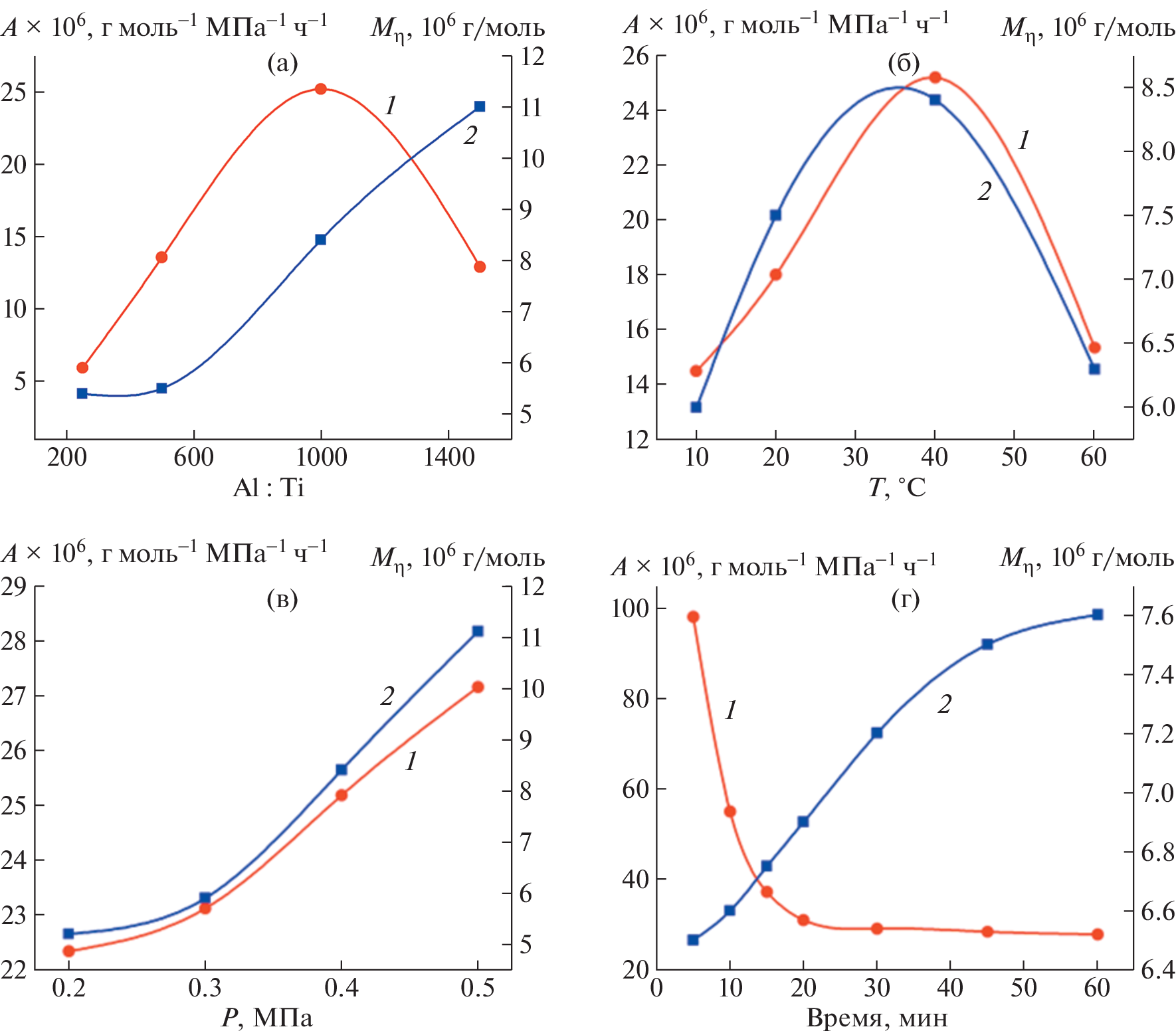
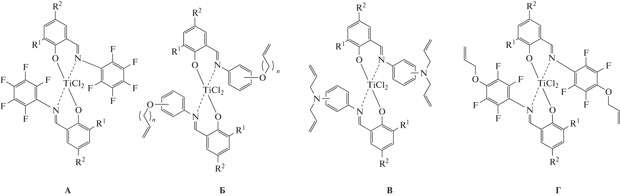
Изучены особенности полимеризации этилена в присутствии салицилальдарилиминых комплексов дихлорида титана(IV), содержащих 4-аллилокси-2,3,5,6-тетрафторфенилиминогруппу, а именно {2-[(4-CH2=CH-CH2O)C6F4N=CH]-6-R1-4-R2-C6H2O}2TiCl2 (R1 = t-Bu, CMe2(Ph); R2 = H, Me, OMe, t-Bu, CMe2(Ph), Cl, Br) в присутствии метилалюмоксана. Все комплексы являются высокоактивными (до 27.8 × 106 гПЭ \({\text{{\cyrm}{\cyro}{\cyrl}{\cyrsftsn}}}_{{{\text{Ti}}}}^{{ - 1}}\) \({\text{{\CYRM}{\CYRP}{\cyra}}}_{{{{{\text{C}}}_{2}}{{{\text{H}}}_{4}}}}^{{ - 1}}\) ч–1) в температурном интервале 10–60°С и образуют порошкообразный сверхвысокомолекулярный полиэтилен (М = (4.4–16.0) × 106 г/моль) с низким числом межмолекулярных зацеплений. Показано, что в процессе полимеризации комплексы иммобилизируются на макромолекулах сверхвысокомолекулярного ПЭ.
Об авторах
И. В. Олейник
Новосибирский институт органической химии им. Н.Н. ВорожцоваСибирского отделения Российской академии наук
Email: oleynik@nioch.nsc.ru
Россия,
630090, Новосибирск, пр. академика Лаврентьева 9
И. К. Шундрина
Новосибирский институт органической химии им. Н.Н. ВорожцоваСибирского отделения Российской академии наук
Email: oleynik@nioch.nsc.ru
Россия,
630090, Новосибирск, пр. академика Лаврентьева 9
И. И. Олейник
Новосибирский институт органической химии им. Н.Н. ВорожцоваСибирского отделения Российской академии наук
Автор, ответственный за переписку.
Email: oleynik@nioch.nsc.ru
Россия,
630090, Новосибирск, пр. академика Лаврентьева 9
Список литературы
- Stürzel M., Mihan S., Mülhaupt R. // Chem. Rev. 2016. V. 116. P. 1398.
- Kurtz S.M. The UHMWPE Handbook: Ultra-High Molecular Weight Polyethylene in Total Joint Replacement. London: Elsevier, 2004.
- Encyclopedia of Polymer Science and Engineering / Ed. by H.F. Mark, N.M. Bikales, C.G. Overberger, G. Menges, J.I. Kroschwitz. New York: Wiley Interscience, 1985. V. 6. P. 490.
- Sun Y., Wang Q., Li X., Chen X., Ma Y., Zhang Q., Jin X., Jiang Y., Sun L., Luo Q. // J. Appl. Polym. Sci. 2005. V. 98. P. 474.
- Brach del Prever E.M., Bistolfi A., Bracco P., Costa L. // J. Orthopaed. Traumatol. 2009. V. 10. P. 1.
- Shen S., Henry A., Tong J., Zheng R., Chen G. // Nat. Nanotechnol. 2010. V. 5. P. 251.
- Peacock A.J. Handbook of Polyethylene: Structures, Properties, and Applications. New York: Marcel Dekker, 2000.
- Santoro M., Gorelli F.A., Bini R., Haines J., van der Lee A. // Nat. Commun. 2013. V. 4. P. 1557.
- Smith P., Lemstra P.J., Pijpers J.P.L. // J. Polym. Sci., Polym. Phys. 1982. V. 20. P. 2229.
- Rastogi S., Spoelstra A.B., Goossens J.G.P., Lemstra P.J. // Macromolecules. 1997. V. 30. P. 7880.
- Smith P., Lemstra P.J., Kirschbaum R., Pijpers J.P.L. Pat. 4436689 USA. 1984.
- Shiraki T., Yoshimura Y., Nakashima K. Pat. 0190878 EP. 1986.
- Soares J.B.P., Kim J.D., Rempel G.L. // Ind. Eng. Chem. Res. 1997. V. 36. P. 1144.
- Smith P., Lemstra P.J., Booij H.C. // J. Polym. Sci., Polym. Phys. Ed. 1981. V. 19. P. 877.
- Chanzy H.D., Rotzinger B., Smith P. Pat. 4769433 USA. 1988.
- Ozerin A.N., Ivanchev S.S., Chvalun S.N., Aulov V.A., Ivancheva N.I., Bakeev N.F. // Polymer Science A. 2012. V. 54. № 12. P. 950.
- Rotzinger B.P., Chanzy H.D., Smith P. // Polymer. 1989. V. 30. P. 1814.
- Smith P., Lemstra P.J. // Colloid Polym. Sci. 1980. V. 258. P. 891.
- Smith P., Chanzy H.D., Rotzinger B.P. // J. Mater. Sci. 1987. V. 22. P. 523.
- Rastogi S., Yao Y., Ronca S., Bos J., van der Eem J. // Macromolecules. 2011. V. 44. P. 5558.
- Yao Y., Jiang S., Rastogi S. // Macromolecules. 2014. V. 47. P. 1371.
- Forte G., Ronca S. // Int. J. Polym. Sci. 2017. ID 7431419.
- Romano D., Tops N., Bos J., Rastogi S. // Macromolecules. 2017. V. 50. P. 2033.
- Baier M.C., Zuideveld M.A., Mecking S. // Angew. Chem. Int. Ed. 2014. V. 53. P. 9722.
- Tuskaev V.A., Gagieva S.C., Kurmaev D.A., Vasil’ev V.G., Kolosov N.A., Zubkevich S.V., Mikhaylik E.S., Golubev E.K., Nikiforova G.G., Zhizhko P.A., Serenko O.A., Bulychev B.M. // Chin. J. Polym. Sci. (Engl. Ed.). 2019. V. 37. P. 471.
- Makio H., Terao H., Iwashita A., Fujita T. // Chem. Rev. 2011. V. 111. P. 2363.
- Smith P., Lemstra P.J. // J. Mater. Sci. 1980. V. 15. P. 505.
- Ivancheva N.I., Malinskaya M.Yu., Oleinik I.I., Khaikin S.Ya., Ivanchev S.S., Tolstikov G.A. // Dokl. Phys. Chem. 2007. V. 417. P. 301.
- Ivanchev S.S., Vasil’eva M.Yu., Ivancheva N.I., Badaev V.K., Oleinik I.I., Sviridova E.V., Tolstikov G.A. // Polymer Science B. 2009. V. 51. № 7–8. P. 276.
- Ivancheva N.I., Badaev V.K., Sviridova E.V., Nikolaev D.A., Oleinik I.V., Ivanchev S.S. // Russ. J. Appl. Chem. 2011. V. 84. P. 118.
- Ivancheva N.I., Sanieva D.V., Fedorov S.P., Oleinik I.V., Oleinik I.I., Tolstikov G.A., Ivanchev S.S. // Russ. Chem. Bull. 2012. V. 61. P. 836.
- Ivancheva N.I., Khaikin S.Ya., Sviridova E.V., Fedorov S.P., Sanieva D.V., Molev O.V., Oleinik I.V., Ivanchev S.S. // Russ. J. Appl. Chem. 2012. V. 85. P. 1404.
- Oleynik I.V., Shundrina I.K., Oleyinik I.I. // Polym. Adv. Technol. 2020. V. 31. P. 1921.
- Oleynik I.V., Oleynik I.I. // Ru. J. Gen. Chem. 2022. V. 92. P. 1457.
- Padmanabhan S., Sarma K.R., Rupak K., Sharma S. // Mater. Sci. Eng. B. 2010. V. 168. P. 132.
- Wunderlich B., Cormier C.M. // J. Polym. Sci. A-2. 1967. V. 5. P. 87.
- Romano D., Tops N., Andablo-Reyes E., Ronca S., Rastogi S. // Macromolecules. 2014. V. 47. P. 4750.
- Britovsek G.J.P., Bruce M., Gibson V.C., Kimberley B.S., Maddox P.J., Mastroianni S., McTavish S.J., Redshaw C., Solan G.A., Strömberg S., White A.J.P., Williams D.J. // J. Am. Chem. Soc. 1999. V. 121. P. 8728.
- Alt H.G. // J. Chem. Soc. Dalton Trans. 1999. P. 1703.
- Rastogi S., Lippits D.R., Peters G.W.M., Graf R., Yao Y., Spiess H.W. // Nat. Mater. 2005. V. 4. P. 635.
- Mitani M., Mohri J., Yoshida Y., Saito J., Ishii S., Tsuru K., Matsui S., Furuyama R., Nakano T., Tanaka H., Kojoh S., Matsugi T., Kashiwa N., Fujita T. // J. Am. Chem. Soc. 2002. V. 124. P. 3327.
- Furuyama R., Saito J., Ishii S., Makio H., Mitani M., Tanaka H., Fujita T. // J. Organomet. Chem. 2005. V. 690. P. 4398.
- Mitani M., Furuyama R., Mohri J., Saito J., Ishii S., Terao H., Nakano T., Tanaka H., Fujita T. // J. Am. Chem. Soc. 2003. V. 125. P. 4293.
- Ronca S., Forte G., Tjaden H., Yao Y.F., Rastogi S. // Polymer. 2012. V. 53. P. 2897.
- Stürzel M., Kempe F., Thomann Y., Mark S., Enders M., Mülhaupt R. // Macromolecules. 2012. V. 45. 6878.
- Chen P., Yang H., Chen T., Li W. // Ind. Eng. Chem. Res. 2015. V. 54. P. 11024.
Дополнительные файлы








