On the Absence of Cyclic Structures in Branched Polystyrenes Synthesized by Living Three-Dimensional Radical Polymerization in the Medium of a Deteriorating Thermodynamic Quality Solvent
- Authors: Kurochkin S.A.1,2, Makhonina L.I.1, Perepelitsina E.O.1, Bubnova M.L.1, Berezin M.P.1, Grachev V.P.1
-
Affiliations:
- Federal Research Center of Problems of Chemical Physics and Medicinal Chemistry, Russian Academy of Sciences
- Bauman Moscow State Technical University
- Issue: Vol 65, No 3 (2023)
- Pages: 204-216
- Section: ПОЛИМЕРИЗАЦИЯ
- URL: https://bakhtiniada.ru/2308-1139/article/view/135625
- DOI: https://doi.org/10.31857/S230811392370047X
- EDN: https://elibrary.ru/VYEPCV
- ID: 135625
Cite item
Full Text
Abstract
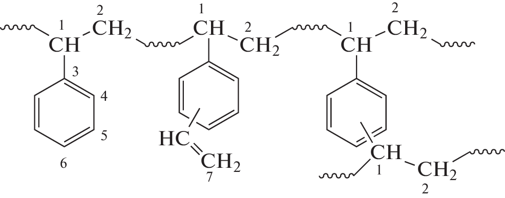
Branched polystyrenes are synthesized by the radical copolymerization of styrene and divinylbenzene with reversible inhibition (in the presence of 2,2,6,6-tetramethylpiperidine-1-oxyl) under deteriorating thermodynamic quality of the solvent. The resulting polymers are studied by size-exclusion chromatography combined with static light scattering, ozonolysis, NMR spectroscopy, and differential scanning calorimetry. The branched polymers synthesized by living radical polymerization are characterized by lower intrinsic viscosity values than their linear analogs. Kuhn–Mark–Houwink parameters for these polymers in a tetrahydrofuran solution (а = 0.29) confirm the nonlinear architecture of macromolecules and a high content of pendant double bonds comparable in the order of magnitude with their theoretical content in the absence of the cyclization reaction indicate their branched structure. The glass transition temperature of the branched polystyrenes is 20–35°С lower than the glass transition temperature of the linear polystyrene.
About the authors
S. A. Kurochkin
Federal Research Center of Problems of Chemical Physics and Medicinal Chemistry, Russian Academy of Sciences; Bauman Moscow State Technical University
Email: oligo@icp.ac.ru
142432, Chernogolovka, Moscow oblast, Russia; 105005, Moscow, Russia
L. I. Makhonina
Federal Research Center of Problems of Chemical Physics and Medicinal Chemistry, Russian Academy of Sciences
Email: oligo@icp.ac.ru
142432, Chernogolovka, Moscow oblast, Russia
E. O. Perepelitsina
Federal Research Center of Problems of Chemical Physics and Medicinal Chemistry, Russian Academy of Sciences
Email: oligo@icp.ac.ru
142432, Chernogolovka, Moscow oblast, Russia
M. L. Bubnova
Federal Research Center of Problems of Chemical Physics and Medicinal Chemistry, Russian Academy of Sciences
Email: oligo@icp.ac.ru
142432, Chernogolovka, Moscow oblast, Russia
M. P. Berezin
Federal Research Center of Problems of Chemical Physics and Medicinal Chemistry, Russian Academy of Sciences
Email: oligo@icp.ac.ru
142432, Chernogolovka, Moscow oblast, Russia
V. P. Grachev
Federal Research Center of Problems of Chemical Physics and Medicinal Chemistry, Russian Academy of Sciences
Author for correspondence.
Email: oligo@icp.ac.ru
142432, Chernogolovka, Moscow oblast, Russia
References
- Korolev G.V. // Russ. Chem. Rev. 2003. V. 72. № 3. P. 197.
- Korolev G.V., Bubnova M.L., Makhonina L.I., Bakova G.M. // Polymer Science A. 2005. V. 47. № 7. P. 653.
- Estrina G.A., Gur’eva L.L., Komarov B.A., Bogdanova L.M., Kurochkin S.A., Estrin Y.I. // Polymer Science B. 2018. V. 60. № 1. P. 1.
- Kurmaz S.V., Grubenko G.A., Knerelman E.I., Davydova G.I., Torbov V.I., Dremova N.N. // Mendeleev Commun. 2014. V. 24. № 2. P. 125.
- Kurmaz S.V., Fadeeva N.V., Gorshkova A.I., Kurochkin S.A., Knerelman E.I., Davydova G.I., Torbov V.I., Dremova N.N., Konev D.V., Kurmaz V.A., Ignatiev V.M., Emelyanova N.S. // Materials. 2021. V. 14. P. 6757.
- Vygodskii Y.S., Volkova T.V., Sakharova A.A., Sapozhnikov D.A., Nikiforova G.G., Matieva A.M. // Polymer Science A. 2006. V. 48. № 7. P. 683.
- Chesnokov S.A., Lenshina N.A., Arsenyev M.V., Kovylin R.S., Baten’kin M.A., Poddel’sky A.I., Abakumov G.A. // Appl. Organometal. Chem. 2017. V. 31. № 2. e3553.
- Novakov I.A., Vygodskii Y.S., Vaniev M.A., Volkova T.V., Lukyanichev V.V., Sidorenko N.V. // Polymer Science A. 2007. V. 49. № 4. P. 388.
- Liao W., Liao Q., Xiong Y., Li Z., Tang H. // J. Photochem. Photobiol. A. 2023. V. 435. 114297.
- Li Q., Tang L., Xia Y., Li B. // Macromol. Rapid Commun. 2013. V. 34. № 2. P. 185.
- Si C., Hu G., Jiang W., Sun P., Cao J., Ji R., Li A., Zhang Q. // Biomacromolecules. 2022. V. 23. № 10. P. 4327.
- Kurmaz S.V., Ivanova I.I., Fadeeva N.V., Perepelitsina E.O., Lapshina M.A., Balakina A.A., Terent’ev A.A. // Polymer Science A. 2022. V. 64. № 5. P. 434.
- Qiang R., Fanghong G., Chunlin L., Guangqun Z., Bibiao J., Chao L., Yunhui C. // Eur. Polym. J. 2006. V. 42. № 10. P. 2573.
- Li W., Yoon J.A., Zhong M., Matyjaszewski K. // Macromolecules. 2011. V. 44. № 9. P. 3270.
- Yang H.-J., Jiang B.-B., Huang W.-Y., Zhang D.-L., Kong L.-Z., Chen J.-H., Liu C.-L., Gong F.-H., Yu Q., Yang Y. // Macromolecules. 2009. V. 42. № 16. P. 5976.
- Kurochkin S.A., Silant’ev M.A., Perepelitsyna E.O., Grachev V.P. // Eur. Polym. J. 2014. V. 57. P. 202.
- Kurochkin S.A., Makhonina L.I., Vasil’ev S.G., Perepelitsina E.O., Zabrodin V.A., Bubnova M.L., Volkov V.I., Grachev V.P. // Polymer Science A. 2017. V. 59. № 5. P. 613.
- Liu G., Qui Q., An Z. // Polym. Chem. 2012. V. 3. № 2. P. 504.
- Shen W., Chang Y., Liu G., Wang H., Cao A., An Z. // Macromolecules. 2011. V. 44. № 8. P. 2524.
- van Ruymbeke E., Muliawan E.B., Vlassopoulos D., Gao H., Matyjaszewski K. // Eur. Polym. J. 2011. V. 47. № 4. P. 746.
- Shi X., Miao M., An Z. // Polym. Chem. 2013. V. 4. № 6. P. 1950.
- Tan J., Rao X., Wu X., Deng H., Yang J., Zeng Z. // Macromolecules. 2012. V. 45. № 21. P. 8790.
- Pan G., Zhang Y., Guo X., Li C., Zhang H. // Biosens. Bioelectron. 2010. V. 26. № 3. P. 976.
- Abe M., Kametani Y., Uemura T. // J. Am. Chem. Soc. 2023. V. 145. № 4. P. 2448.
- Korolev G.V., Kochneva I.S., Bakova G.M., Berezin M.P., Makhonina L.I. // Polymer Science A. 2002. V. 44. № 9. P. 936.
- Huang J., Wang W.-J., Li B.-G., Zhu S. // Macromol. Mater. Eng. 2013. V. 298. № 4. P. 391.
- Ercole F., Thissen H., Tsang K., Evans R.A., Forsythe J.S. // Macromolecules. 2012. V. 45. № 20. P. 8387.
- Park H.Y., Kloxin C.J., Fordney M.F., Bowman C.N. // Dental Mater. 2012. V. 28. № 8. P. 888.
- Yu Q., Zhou M., Ding Y., Jiang B., Zhu S. // Polymer. 2007. V. 48. № 24. P. 7058.
- Kurochkin S.A., Grachev V.P. // Polym. Sci. C. 2015. V. 57. № 1. P. 20.
- Wyatt P.J. // Anal. Chim. Acta. 1993. V. 272. № 1. P. 1.
- Kurochkin S.A. // Polymer Science B. 2010. V. 52. № 1–2. P. 109.
- Будтов В.П. Физическая химия растворов полимеров. СПб.: Химия, 1992.
- Polymer Handbook. 4 ed. / Ed. by J. Brandrup, E.H. Immergut, E.A. Grulke; ass. ed. by A. Abe, D.R. Bloch. New York; Chichester; Weinheim; Brisbane; Singapore; Toronto: Wiley, 1998.
- Zimm B.H., Stockmayer W.H. // J. Chem. Phys. 1949. V. 17. № 12. P. 1301.
- De Gennes P.-G. // Biopolymers. 1968. V. 6. № 5. P. 715.
- Everaers R., Grosberg A.Y., Rubinstein M., Rosa A. // Soft Matter. 2017. V. 13. P. 1223.
- Rosa A., Everaers R. // Phys. Rev. E. 2017. V. 95. № 1. 012117.
- Akabori K.-I., Atarashi H., Ozawa M., Nagamura T., Tanaka K. // Polymer. 2009. V. 50. № 20. P. 4868.
- Fox Jr., Thomas G., Flory P.J. // J. Appl. Phys. 1950. V. 21. № 21. P. 581.
- Bueche F. Physical Properties of Polymers. New York: Interscience, 1962.
- Привалко В.П. Молекулярное строение и свойства полимеров. Л.: Химия, 1986.
- Wooley K.L., Hawker C.J., Pochan J.M., Frechet J.M.J. // Macromolecules. 1993. V. 26. № 7. P. 1514.
- Аскадский А.А., Кондращенко В.И. Компьютерное материаловедение полимеров. М.: Научный мир, 1999. Т. 1.
Supplementary files







