Особенности влияния хлорорганических соединений на полимеризацию олефинов и диенов в присутствии катализаторов Циглера–Натта
- Авторы: Салахов И.И.1, Козлов В.Г.2, Сосновская Л.Б.1, Нифантьев И.Э.3, Ивченко П.В.3
-
Учреждения:
- Нижнекамский химико-технологический институт (филиал) ФГБОУ ВО “Казанский национальный исследовательский технологический университет”
- Институт экологии Волжского бассейна Российской академии наук
- Институт нефтехимического синтеза им. А.В. Топчиева Российской академии наук
- Выпуск: Том 65, № 2 (2023)
- Страницы: 83-107
- Раздел: ОБЗОРЫ
- URL: https://bakhtiniada.ru/2308-1139/article/view/135618
- DOI: https://doi.org/10.31857/S2308113923700419
- EDN: https://elibrary.ru/WZFSOL
- ID: 135618
Цитировать
Полный текст
Аннотация
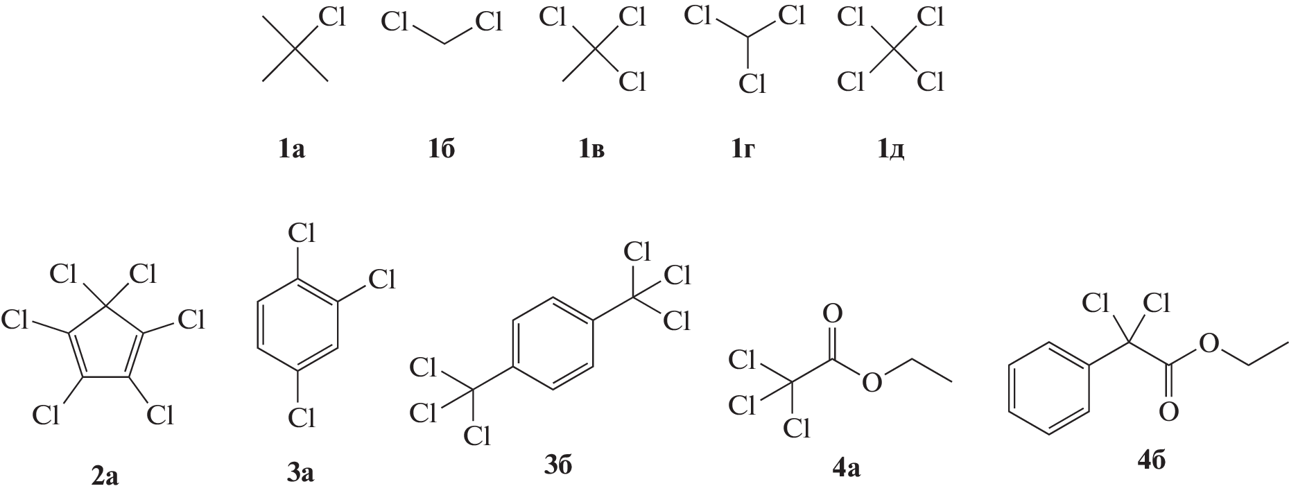
Проанализированы публикации отечественных и зарубежных авторов, посвященные исследованиям каталитических систем Циглера‒Натта на основе неодима, ванадия и титана, модифицированных хлорорганическими соединениями и используемых в синтезе полиолефинов и полидиенов. Проведен анализ патентной литературы и проанализированы основные тренды развития в области металлокомплексного катализа с использованием хлорорганических соединений. Рассмотрены преимущества и недостатки подобных каталитических систем по сравнению с классическими немодифицированными катализаторами, в которых в качестве источника хлора применяются алкил-алюминийхлориды. Авторами подробно проанализированы опубликованные данные о роли атома хлора как лиганда в активных центрах полимеризации олефинов и диенов. Выявлена и описана роль моно- и полихлорированных органических соединений в неодимовой, ванадиевой и титан-магниевой каталитических системах.
Об авторах
И. И. Салахов
Нижнекамский химико-технологический институт (филиал) ФГБОУ ВО“Казанский национальный исследовательский технологический университет”
Email: i.i.salahov@gmail.com
Россия, 423578, Нижнекамск, пр. Строителей, 47
В. Г. Козлов
Институт экологии Волжского бассейна Российской академии наук
Email: i.i.salahov@gmail.com
Россия, 445003, Самарская обл., Тольятти, ул. Комзина, 10
Л. Б. Сосновская
Нижнекамский химико-технологический институт (филиал) ФГБОУ ВО“Казанский национальный исследовательский технологический университет”
Email: i.i.salahov@gmail.com
Россия, 423578, Нижнекамск, пр. Строителей, 47
И. Э. Нифантьев
Институт нефтехимического синтеза им. А.В. Топчиева Российской академии наук
Email: i.i.salahov@gmail.com
Россия, 19991, Москва, Ленинский пр., 29
П. В. Ивченко
Институт нефтехимического синтеза им. А.В. Топчиева Российской академии наук
Автор, ответственный за переписку.
Email: i.i.salahov@gmail.com
Россия, 19991, Москва, Ленинский пр., 29
Список литературы
- Sauter D.W., Taoufik M., Boisson C. // Polymers. 2017. V. 9. № 6. P. 185.
- Jubinville D., Esmizadeh E., Saikrishnan S., Tzoganakis C., Mekonnen T. // Sust. Mater. Technol. 2020. V. 25. P. e00188.
- Ricci G., Leone G. // Polyolefins J. 2014. V. 1. № 1. P. 43.
- Ricci G., Pampaloni G., Sommazzi A., Masi F. // Macromolecules. 2021. V. 54. № 13. P. 5879.
- Долгоплоск Б.А., Тинякова Е.И. // Высокомолек. соед. А. 1994. Т. 36. № 10. С. 1653.
- Ziegler Catalysts: Recent Scientific Innovations and Technological Improvements / Ed. by G. Fink, R. Mülhaupt, H. H. Brintzinger. NewYork: Springer, 1995.
- Ziegler K., Gellert H., Holzkamp E., Wilke G. // Brennstoffe. 1954. B. 35. S. 321.
- Ziegler K. // J. Petr. Refiner. 1955. V. 34. № 8. P. 111.
- Ziegler K., Holzkamp E., Breil H., Martin H. // Angew. Chem. 1955. B. 67. S. 426, 541.
- Natta G., Corradini P. // Rend. Accad. Naz. Lincei VIII. 1955. V. 19. № 5. P. 239.
- Natta G., Corradini P. // J. Polym. Sci. 1956. V. 20. P. 251.
- Natta G. // J. Polym. Sci. 1957. V. 26. P. 120.
- Natta G., Corradini P., Porri L. // Rend. Accad. Naz. Lincei VIII. 1956. V. 20. P. 728.
- Natta G. // Rubber Plastics Age. 1957. V. 38. P. 495.
- Natta G., Porri L., Mazzei A., Morero D. // Chim. e Ind. (Milan). 1959. V. 41. № 5. P. 398.
- Baier M.C., Zuideveld M.A., Mecking S. // Angew. Chem. Int. Ed. 2014. V. 53. № 37. P. 9722.
- Stürzel M., Mihan S., Mülhaupt R. // Chem. Rev. 2016. V. 116. № 3. P. 1398.
- Stalzer M.M., Delferro M., Marks T.J. // Catal. Lett. 2015. V. 145. P. 3.
- Mohite A.S., Rajpurkar Y.D., More A.P. // Polym. Bull. 2021. V. 79. P. 1309.
- Zanchin G., Leone G. // Progr. Polym. Sci. 2021. V. 113. P. 101342.
- Kumawat J., Gupta V.K. // Polym. Chem. 2020. V. 11. № 38. P. 6107.
- Монаков Ю.Б., Марина Н.Г., Сабиров З.М. // Высокомолек. соед. А. 1994. Т. 36. № 10. С. 1680.
- The Stereo Rubbers / Ed. by W. Saltman. New York: Wiley-Interscience, 1977.
- Taniike T., Terano M. // Adv. Polym. Sci. 2013. № 257. P. 81.
- Trischler H., Höchfurtner T., Ruff M., Paulik C. // Kinet. Catal. 2013. V. 54. № 5. P. 559.
- Salakhov I., Akhmetov I., Kozlov V. // Polymer Science B. 2011. V. 53. № 7–8. P. 385.
- Nifant’ev I.E., Salakhov I.I., Ivchenko P.V. // Molecules. 2022. V. 27. № 21. P. 7164.
- Yu G., Chen W., Wang Y. // Kexue Tongbao. 1983. V. 28. № 7. P. 408.
- Yu G., Chen W., Wang Y. // Kexue Tongbao. 1984. V. 29. № 3. P. 421.
- Qian H., Yu G., Chen W. // Gaofenzi Tongxun. 1984. № 3. P. 226.
- Chen W., Xiao S., Wang Y., Yu G. // Kexue Tongbao. 1984. V. 29. № 7. P. 892.
- Маркевич И.Н., Шараев О.К., Тинякова Е.И., Долгоплоск Б.А. // Докл. АН СССР. 1983. Т. 268. № 4. С. 892.
- Яковлев В.А., Воллерштейн Е.Л., Черезова Л.С., Тинякова Е.И., Долгоплоск Б.А. // Докл. АН СССР. 1983. Т. 268. № 6. С. 1422.
- Гайлюнас Г.А., Биктимиров Р.Х., Хайруллина Р.М., Марина Н.Г., Монаков Ю.Б., Толстиков Г.А. // Докл. АН СССР. 1987. Т. 295. № 6. С. 1385.
- Гайлюнас Г.А., Биктимиров Р.Х., Савельева И.Г. Химия и физикохимия высокомолекулярных соединений. Уфа: Ин-т химии Башкирского филиала АН СССР, 1987.
- Shen Z., Ouyang J., Wang F., Hu F., Yu F., Qian B. // Polym. Sci., Polym. Chem. Ed. 1980. V. 18. № 12. P. 3345.
- Shen Z., Ouyang J. // Handbook on the Physics and Chemistry of Rare Earth. / Ed. by K.A. Gschneidner, Jr., L. Eyring. Elsevier Sci. Publ. 1987. V. 9. P. 395.
- Yang J., Hu J., Feng S., Pan E., Xie D., Zhong C., Ouyang J. // Sci. Sin. 1980. V. 23. № 6. P. 734.
- Gallazzi M.C., Bianchi F., Depero L., Zocchi M. // Polymer. 1988. V. 29. № 8. P. 1516.
- Mazzei A. // Macromol. Chem. 1981. B. 182. № 4. S. 61.
- Ceausescu E., Dimonie M., Fieroiu V., Hubca G., Gruber V., Badea E., Vladulescu V., Verestoi A., Iovu H., Vasile I. // Rev. Roum. Chim. 1989. V. 34. № 1. P. 5.
- Санягин А.А., Кормер В.А. // Докл. АН СССР. 1985. Т. 283. № 5. С. 1209.
- Монаков Ю.Б., Толстиков Г.А. Каталитическая полимеризация 1,3-диенов. М.: Наука, 1990.
- Пат. 3794604 США // РЖХим. 1975. C279П.
- Throckmorton M.C. // Kautsch. Gummi Kunstst. 1969. B. 22. № 6. S. 293.
- Пат. 2011543 ФРГ // Chem. Abstrs. 1971. 13981y.
- Пат. 2399447 Франция // РЖХим. 1980. С379П.
- Пат. 2833721 ФРГ // Chem. Abstrs. 1979. 169316b.
- Quirk R.P., Kells A.M. // Polym. Int. 2000. V. 49. № 7. P. 751.
- Liao Y., Lin X., Zhang S. Пат. 85101899 Китай // Chem. Abstrs. 1986. V. 105. № 26. P. 227542.
- Yang C., Zheng Y., Wang F. // Hecheng Xiangjiao Gongue. 1987. V. 10. № 6. P. 409.
- Liao Y., Zhang S., Liu X. // Yingyong Huaxue. 1987. V. 4. № 1. P. 13.
- Liao Y., Zhang S., Liu X. // Yingyong Huaxue. 1988. V. 5. № 2. P. 34.
- Pan E., Zhong C., Xie D., Ouyang J. // Huaxue Xuebao. 1982. V. 40. № 4. P. 301.
- Friebe L., Nuyken O., Obrecht W. // Neodymium Based Ziegler Catalysts – Fundamental Chemistry / Ed. by O. Nuyken Munich: Springer, 2006.
- Friebe L., Nuyken O., Windisch H., Obrecht W. // Macromol. Chem. Phys. 2002. № 203. P. 1055.
- Witte J. // Angew. Makromol. Chem. 1981. № 94. P. 119.
- Friebe L., Windisch H., Nuyken O., Obrecht W. // Macromol. Sci., Pure Appl. Chem. 2004. 41. P. 245.
- Friebe L., Muller J.M., Nuyken O., Obrecht W. // J. Macromol. Sci., Pure Appl. Chem. 2006. 43. P. 11.
- Черненко Г.М., Яковлев В.А., Тинякова Е.И., Долгоплоск Б.А. // Высокомолек. соед. Б. 1989. Т. 31. № 8. С. 637.
- Dong W., Endo K., Masuda T. // Macromol. Chem. Phys. 2003. № 204. P. 104.
- Jenkins D.K. // Polymer. 1985. V. 26. № 1. P. 152.
- Пат. 2206577 Россия. 2001 // Б.И. 2003. С08F136/06.
- Zhang Q., Ni X., Shen Z. // Macromol. Sci., Pure Appl. Chem. 2004. № 41. P. 39.
- Zhang Q., Ni X., Shen Z. // Polym. Int. 2002. № 51. P. 208.
- Пат. 2268894 Россия 2004 // Б.И. 2006. С08F4/14.
- Ахметов И.Г., Махиянов Н.К., Салахов И.И., Хачатуров А.С. // Каучук и резина. 2007. № 5. С. 2.
- Knauf T., Braubach W. Pat. 1095952 Eur. 2001.
- Knauf T., Braubach W. // Chem. Abstr. 2001. V. 134. № 312297.
- Jang Y.C., Kwag K.H., Kim P.S. Pat. 2000032230 Korean. 2000.
- Jang Y.C., Kwag K.H., Kim P.S. // Chem. Abstrs. 2002. V. 136. № 341170.
- Sone T., Hattori I., Yamazaki D., Nonaka K. Eur. pat. 1099710 2001.
- Sone T., Hattori I., Yamazaki D., Nonaka K. // Chem. Abstrs. 2001. V. 134. № 354405.
- Ishino Y., Nakayama S., Mori Y., Hattori I. Pat. 6391990 USA. 2003.
- Ishino Y., Nakayama S., Mori Y., Hattori I. // Chem. Abstrs. 2000. V. 133. № 151837.
- Wilson D.J. // J. Polym. Sci. A. 1995. V. 33. P. 2505.
- Монаков Ю.Б., Биешев Я.Х., Берг А.А., Рафиков С.Р. // Докл. АН СССР. 1977. Т. 234. № 5. С. 1125.
- Рафиков С.Р., Монаков Ю.Б., Биешев Я.Х., Валитова И.Ф., Муринов Ю.И., Толстиков Г.А., Никитин Ю.И. // Докл. АН СССР. 1976. Т. 229. № 5. С. 1174.
- Shokri A., Talebi S., Salami-Kalajahi M. // Polym. Bull. 2020. V. 77. P. 5245.
- Wang F., Liu H., Zheng W., Guo J., Zhang C., Zhao L., Zhang H., Hu Y., Bai C., Zhang X. // Polymer. 2013. V. 54. P. 6716.
- Quirk R.P., Kells R.P., Yunlu K., Cuif J.P. // Polymer. 2000. № 41. P. 5903.
- Mello I.L., Coutinho F.M.B. // J. Appl. Polym. Sci. 2009. V. 112. P. 1496.
- Manuiko G.V., Salakhov I.I., Aminova G.A., Akhmetov I.G., Dyakonov G.S., Bronskaya V.V., Demidova E.V. // Theor. Found. Chem. Eng. 2010. V. 44. № 2. P. 139.
- Taube R. // Metallorganic Catalysts for Synthesis and Polymerization / Ed. by W. Kaminsky. Berlin; Heidelberg; New York: Spring-Verlag, 1999.
- Авдеева О.Г., Маркевич И.Н., Шараев О.К., Бондаренко Г.Н., Тинякова Е.И., Долгоплоск Б.А. // Докл. АН СССР. 1986. Т. 286. № 3. С. 641.
- Monakov Yu.B., Sabirov Z.M., Duvakina N.V., Glukhov E.A., Ponomareva O.A., Spirikhin L.V. // Polymer Science A. 2001. V. 43. № 2. P. 91.
- Монаков Ю.Б., Марина Н.Г., Сабиров З.М. // Высокомолек. соед. A. 1994. Т. 36. № 3. С. 378.
- Гольштейн С.Б., Яковлев В.А., Бондаренко Г.Н., Ямпольский Ю.П., Долгоплоск Б.А. // Докл. АН СССР. 1986. Т. 289. № 3. С. 657.
- Воллерштейн Е.Л., Глебова Н.Н., Гольштейн С.Б., Завадовская Э.Н., Шараев О.К., Яковлев В.А., Тинякова Е.И., Долгоплоск Б.А. // Докл. АН СССР. 1979. Т. 249. № 4. С. 860.
- Akhmetov I.G., Kozlov V.G., Salakhov I.I., Sakhabutdinov A.G., D’yakonov G.S. // Int. Polym. Sci. And Tech. 2010. V. 37.
- Салахов И.И. Дис. … канд. тех. наук. Казань: Казанский национальный исслед. технол. ун-т, 2009.
- De León R.D., Corral F.S., Enríquez-Medrano F.J., Ibarra G.B., Martínez P.L., Gámez F.H., López-González H.R., De Valle L.F.R. // Int. J. Polym. Sci. 2016. P. 1.
- Zolotarev V.L., Markov B.A., Yartseva T.A. // Int. Polym. Sci. Tech. 2013. V. 40. № 11. P. 17.
- Аксенов В.И., Галибеев С.С., Аширов Р.В., Тихомирова И.Н., Казаков Ю.М., Максимов Д.А., Каблов В.Ф. Координационная полимеризация бутадиена-1,3 на различных каталитических системах. Томск: Изд-во Томского политехн. ун-та, 2011.
- Hagen H., Boersma J., van Koten G. // Chem. Soc. Rev. 2002. V. 31. № 6. P. 357.
- Wu J.-Q., Li Y.-S. // Coord. Chem. Rev. 2011. V. 255. № 19–20. P. 2303.
- Redshaw C. // Dalton Trans. 2010. V. 39. № 24. P. 5595.
- Nomura K., Zhang S. // Chem. Rev. 2011. V. 111. № 3. P. 2342.
- Zambelli A., Sessa I., Grisi F., Fusco R., Accomazzi P. // Macromol. Rapid Commun. 2001. V. 22. № 5. P. 297.
- Soshnikov I.E., Semikolenova N.V., Shubin A.A., Bryliakov K.P., Zakharov V.A., Redshaw C., Talsi E.P. // Organometallics. 2009. V. 28. № 23. P. 6714.
- Bravaya N.M., Faingol’d E.E., Badamshina E.R., Sanginov E.A. // Polymer Science C. 2020. V. 62. № 1. P. 1.
- Чирков Н.М., Матковский П.Е., Дьячковский Ф.С. Полимеризация на комплексных металлорганических катализаторах. М.: Химия, 1976.
- Zhang H.X., Hu Y.M., Zhang C.Y., Lee D.H., Yoon K.B., Zhang X.Q. // Catal. Commun. 2016. V. 83. P. 39.
- Karol F.J., Kao S.C., Cann K.J. // Polym. Sci., Polym. Chem. 1993. V. 31. P. 2541.
- Adisson E., Deffieux A., Fontanille M., Bujadoux K. // J. Polym. Sci., Polym. Chem. 1994. V. 32. P. 1033.
- D’Agnillo L., Soares J.B.P., van Doremaele G.H.J. // Macromol. Mater. Eng. 2005. V. 290. P. 256.
- Reinking M.K., Bauer P.D., Seyler J.W. // J. Appl. Catal. A. 1999. V. 189. P. 23.
- van Duin M., van Doremaele G., van der Aar N. // Rubber World. 2018. 258. P. 20.
- Gumboldt A., Helberg J., Schleitzer G. // Makromol. Chem. 1967. V. 101. P. 229.
- Christman D.L. // J. Polym. Sci. A. 1972. V. 10. P. 471.
- Maric G.J., Mornet Ph.J. // Rev. Gen. Caoutch. Plast. 1971. V. 48. № 10. P. 1016.
- Zohuri G.H., Vakili M., Jamjah R., Ahmadjo S., Nekomanesh M. // Rubber Chem. Technol. 2005. V. 78. P. 682.
- Evens G., Pijpers E., Seevens R. Eur. pat. 0044119B1. 1985.
- van Doremaele G., Hazen J. NASCRE1, First North American Symposium on Chemical Reaction Engineering. Houston, USA. 2001.
- Evens G.G., Pijpers E.M.J., Seevens R.H.M. // Transition Metal Catalyzed Polymerizations / Ed. by R. Quirk. Cambridge: Cambridge Univ. Press, 1988.
- Hao X., Zhang C., Li L., Zhang H., Hu Y., Hao D., Zhang X. // Polymers. 2017. V. 9. № 8. P. 325.
- Salakhov I., Tkacheva E., Kozlov V., Galanina D., Sakhabutdinov A. // RSC Adv. 2021. V. 11. P. 20916.
- Cozewith C., Ver Strate G. // Macromolecules. 1971. V. 4. № 4. P. 482.
- Fineman M., Ross S.D. // J. Polym. Sci. 1950. V. 5. P. 259.
- Karasev V.N., Minsker K.S. // Polym. Sci. USSR. 1971. V. 13. P. 1652.
- Подольный Ю.Б., Соловьева Г.В., Каменев Ю.Г. // Высокомолек. соед. А. 1974. Т. 16. № 12. С. 2767.
- Mayo F.R., Lewis F.M. // J. Am. Chem. Soc. 1944. V. 66. P. 1594.
- Bhargava R., Wang S.Q., Koenig J. // Liquid Chromatography / FTIR Microspectroscopy / Microwave Assisted Synthesis. Advances in Polymer Science. Springer, Berlin, Heidelberg, 2003. V. 163.
- Mikenas T.B., Zakharov V.A., Nikitin V.E., Echev-skaya L.G., Matsko M.A. // Russ. J. Appl. Chem. 2010. V. 83. P. 2210.
- Mikenas T.B., Koshevoy E.I., Cherepanova S.V., Zakharov V.A. // J. Polym. Sci., Polym. Chem. 2016. V. 54. P. 2558.
- Bahri-Laleh N., Arabi H., Mehdipor-Ataei S., Nekoomanesh-Haghighi M., Zohuri G., Seifali M., Akbari Z. // J. Appl. Polym. Sci. 2012. V. 123. P. 2526.
- Abedi S., Majdabadi-Farahani N., Daftari-Besheli M., Ghasempour H., Azadi F. // Polym. Bull. 2015. V. 72. P. 2377.
- Rośario Ribeiro M., Deffieux A., Fontanille M., Portela M.F. // Macromol. Chem. Phys. 1995. V. 196. P. 3833.
- Spitz R., Pasquet V., Patin M., Guyot A. // Ziegler Catalysts / Ed. by G. Fink, R. Mülhaupt, H.H. Brintzinger. Berlin; Heidelberg: Springer, 1995.
- Linda N. Winslow. Pat. 5534472 USA. 1996.
- Luo H.K., Tang R.G., Yang H., Zhao Q.F., An J.Y. // Appl. Catal. A. Gen. 2000. V. 203(2). P. 269.
- Farrer D.K. Pat. 6646073 USA. 2003.
- Bahri-Laleh N., Abbas-Abadi M.S., Haghighi M.N., Akbari Z., Mohammad R.T., Mirjahanmardi S.H. // J. Appl. Polym. Sci. 2010. V. 117(3). P. 1780.
- Abedi S., Azadi F., Daftari-Besheli M., Majdabadi-Farahani N., Safinejad A. // J. Appl. Polym. Sci. 2014. V. 131. P. 40189.
- Abbas-Abadi M.S. // Designed Monomers and Polymers. 2017. V. 20. P. 524.
- Gholami Y., Abdouss M., Abedi S., Azadi F., Baniani P., Arsalanfar M. // Bull. Chem. React. Eng. Catal. 2018. V. 13. P. 412.
- Abbas-Abadi M.S., Rashedi R., Sepahi A., Farhadi A., Biglarkhani M. // Iran Polym. J. 2020. V. 29. P. 659.
- Bazgir H., Abbas-Abadi M.S., Haghighi M.N., Darounkola M.R.R., Issaabadi Z. // J. Polym. Res. 2021. V. 28. P. 301.
- Beran D.L., Cann K.J., Jorgensen R.J. Eur. pat. 120501. 1984.
- Karol F.J. WO 88 02377. 1988.
- Nicoletti J.W., Cann K.J., Karol F.J. Eur. pat. 286001. 1988.
- Cann K.J., Karol F.J., Lee K.H. Pat. 4892853 USA. 1990.
- Cann K.J. // Polym. Mater. Sci. Eng. 1991. V. 64. P. 106.
- Cann K.J., Nicoletti J.W., Karol F.J. Pat. 5442018 USA. 1995.
- Bahri-Laleh N., Correa A., Mehdipour-Ataei Sh., Arabi H., Haghighi M.N., Zohuri G., Cavallo L. // Macromolecules. 2011. V. 44. № 4. P. 778.
- Крыжановский А.В., Иванчев С.С. // Высокомолек. соед. А. 1990. Т. 32. № 7. С. 1383.
- Крыжановский А.В., Захаров П.С., Богданов-Катьков Н.В., Поляков А.А., Иванчев С.С. // Пласт. массы. 1988. № 4. С. 20.
- Geyer R., Jambeck J.R., Law K.L. // Sci. Adv. 2017. V. 3.
- Gupta P., Wilkes G.L., Sukhadia A.M., Krishnaswamy R.K., Lamborn M.J., Wharry S.M., Tso C.C., DesLauriers P.J., Mansfield T., Beyer F.L. // Polymer. 2005. V. 46.
- Meng W., Li H., Li J., Chen B. // J. Korean Chem. Soc. 2011. V. 55. № 4. P. 673.
- Salakhov I.I., Mikenas T.B., Zakharov V.A., Kozlov V.G., Matsko M.A., Suslova T.N. // Int. J. Mol. Sci. 2022. V. 23. P. 10335.
- Салахов И.И, Сахабутдинов А.Г, Батыршин А.З., Шайдуллин Н.М., Бородин Р.Г., Михайлов В.Н., Назаров В.В., Хакимова Т.М., Волков В.Л., Суслова Т.Н. Пат. 2759723 Россия. 2021.
- Mikenas T.B., Tregubov A.A., Zakharov V.A., Echev-skaya L.G., Matsko M.A. // Polimery. 2008. V. 53. P. 353.
Дополнительные файлы
















