Periodic Donor-Acceptor (Co)polyarylenephthalides with Tunable Photoluminescent Parameter
- Авторлар: Kraikin V.A.1, Fatykhov A.A.1, Gileva N.G.1, Yangirov T.A.1, Ostakhov S.S.1, Kayumova R.R.1, Mamykin A.V.1, Salazkin S.N.2
-
Мекемелер:
- Ufa Institute of Chemistry, Ufa Federal Research Center, Russian Academy of Sciences
- A.N. Nesmeyanov Institute of Organoelement Compounds, Russian Academy of Sciences
- Шығарылым: Том 65, № 1 (2023)
- Беттер: 61-71
- Бөлім: Articles
- URL: https://bakhtiniada.ru/2308-1139/article/view/135617
- DOI: https://doi.org/10.31857/S2308113923700341
- EDN: https://elibrary.ru/PIHEXO
- ID: 135617
Дәйексөз келтіру
Толық мәтін
Аннотация
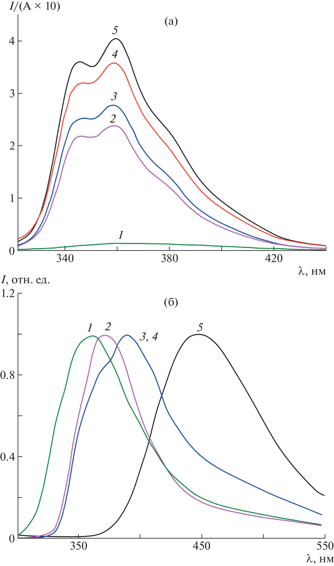
The macromonomers of the dyad (OYO) and triad (OYOYO, OYTYO) structure (with О being diphenylene oxide, T being terphenylene, and Y being the phthalide cycle) as well as a series of (co)poly-arylenephthalides with general formula [(OY)p(TY)q]n differing in the ratio between the diphenyleneoxyphthalide p and terphenylenephthalide q groups (p : q = 0 : 1, 1 : 1, 2 : 1, 3 : 1, 1 : 0) have been synthesized. Photooptical and emission properties of the solutions and thin films of the synthesized (co)polymers and their aggregates formed upon the addition of a bad solvent have been investigated.
Авторлар туралы
V. Kraikin
Ufa Institute of Chemistry, Ufa Federal Research Center, Russian Academy of Sciences
Email: vkrajkin@mail.ru
450054, Ufa, Russia
A. Fatykhov
Ufa Institute of Chemistry, Ufa Federal Research Center, Russian Academy of Sciences
Email: vkrajkin@mail.ru
450054, Ufa, Russia
N. Gileva
Ufa Institute of Chemistry, Ufa Federal Research Center, Russian Academy of Sciences
Email: vkrajkin@mail.ru
450054, Ufa, Russia
T. Yangirov
Ufa Institute of Chemistry, Ufa Federal Research Center, Russian Academy of Sciences
Email: vkrajkin@mail.ru
450054, Ufa, Russia
S. Ostakhov
Ufa Institute of Chemistry, Ufa Federal Research Center, Russian Academy of Sciences
Email: vkrajkin@mail.ru
450054, Ufa, Russia
R. Kayumova
Ufa Institute of Chemistry, Ufa Federal Research Center, Russian Academy of Sciences
Email: vkrajkin@mail.ru
450054, Ufa, Russia
A. Mamykin
Ufa Institute of Chemistry, Ufa Federal Research Center, Russian Academy of Sciences
Email: vkrajkin@mail.ru
450054, Ufa, Russia
S. Salazkin
A.N. Nesmeyanov Institute of Organoelement Compounds, Russian Academy of Sciences
Хат алмасуға жауапты Автор.
Email: vkrajkin@mail.ru
119991, Moscow, Russia
Әдебиет тізімі
- Cimrova V., Kminek I., Pavlackova P., Vyprachticky D. // ECS Transactions. 2011. V. 33. P. 119.
- Singhal S., Yadav P., Naqvi S., Gupta S., Patra A. // ACS Omega. 2019. V. 4. P. 3484.
- Neumann K., Thelakkat M. // Proc. of SPIE. 2012. V. 8477. P. 84771H.
- Nosova G.I., Lypenko D.A., Smyslov R.Yu., Berezin I.A., Zhukova E.V., Mal’tsev E.I., Dmitriev A.V., Litvinova L.S., Solovskaya N.A., Dobrokhotov O.V., Abramov I.G., Yakimanskii A.V. // Polymer Science B. 2014. V. 56. № 1. P. 59.
- Nosova G.I., Litvinova L.S., Berezin I.A., Zhukova E.V., Smyslov R.Yu., Yakimansky A.V. // Polymer Science B. 2019. V. 61. № 1. P. 8.
- Kopylova T.N., Gadirov R.M., Degtyarenko K.M., Tel’minov E.N., Solodova T.A., Ponyavina E.N., Nikonov S.Yu., Nosova G.I., Solovskaya N.A., Berezin I.A., Il’gach D.M., Yakimansky A.V. // Polymer Science B. 2014. V. 56. № 4. P. 399.
- Jessop I.A., Diaz F.R., Terraza C.A., Tundidor-Camba A., Leiva A., Cattin L., Bernede J.-C. // Polymers. 2018. V. 10. P. 553.
- Uddin A., Plunkett K.N. // J. Polym. Sci. 2020. V. 58. P. 3165.
- Cong S., Chen J., Wang L., Lan L., Wang Y., Dai H., Liao H., Zhou Y., Yu Y., Duan J., Li Z., McCulloch I., Yue W. // Adv. Funct. Mater. 2022. V. 32. P. 2201821.
- Akkuratov A.V., Troshin P.A. // Polymer Science B. 2014. V. 56. № 4. P. 414.
- Ie Y., Aso Y. // Polym. J. 2017. V. 49. P. 13.
- Keshtov M.L., Godovskii D.Yu., Kuklin S.A., Wang L., Konstantinov I.O., Krayushkin M.M., Khokhlov A.R. // Dokl. Chem. 2016. V. 470. № 2. P. 283.
- Keshtov M.L., Kuklin S.A., Zou Y., Khokhlov A.R., Konstantinov I.O., Ostapov I.E., Makhaeva E.E., Sharma G.D. // Dokl. Phys. Chem. 2020. V. 495. № 2. P. 196.
- Keshtov M.L., Kuklin S.A., Khokhlov A.R., Godovsky D.Yu., Konstantinov I.O., Ostapov I.E., Xie Zh., Sharma G.D. // Dokl. Phys. Chem. 2021. V. 496. № 1. P. 1.
- Nosova G.I., Solovskaya N.A., Romashkova K.A., Yakimanskii A.V., Aleksandrova E.A., Kudryavtsev V.V. // Polymer Science A. 2008. V. 50. № 8. P. 901.
- Pandey L., Risko C., Norton J.E., Bredas J.-L. // Macromolecules. 2012. V. 45. P. 6405.
- Hedstrom S., Wang E., Persson P. // Mol. Phys. 2016.
- Miao J., Li H., Wang T., Han Y., Liu J., Wang L. // J. Mater. Chem. A. 2020. V. 8. P. 20998.
- Wang J., Higashihara T. // MRS Online Proceedings Library. 2014. V. 1628. P. 550.
- Chebotareva A.B., Untila G.G., Kost T.N., Stepanov A.S., Salazkin S.N., Shaposhnikova V.V. // Sol. Energy Mater. Sol. Cells. 2017. V. 165. P. 1.
- Chebotareva A.B., Untila G.G., Kost T.N., Stepanov A.S., Salazkin S.N., Shaposhnikova V.V. // Sol. Energy. 2019. V. 193. P. 828.
- Chebotareva A.B., Kost T.N., Stepanov A.S., Salazkin S.N., Shaposhnikova V.V. // Russ. Chem. Bull. 2022. V. 71. № 2. P. 368.
- Salazkin S.N., Shaposhnikova V.V., Machulenko L.N., Gileva N.G., Kraikin V.A., Lachinov A.N. // Polymer Science A. 2008. V. 50. № 3. P. 243.
- Antipin V.A., Mamykin D.A., Lachinov A.N., Kovalev A.A., Ostakhov S.S., Salazkin S.N., Kazakov V.P. // High Energy Chem. 2010. V. 44. № 4. P. 311.
- Antipin V.A., Lachinov A.N., Mamykin D.A., Kovalev A.A., Ostakhov S.S., Shaposhnikova V.V., Salazkin S.N., Kazakov V.P. // High Energy Chem. 2010. V. 44. № 4. P. 316.
- Yusupov A.R., Rakhmeev R.G., Lachinov A.N., Kalimullina L.R., Nakaryakov A.S., Bunakov A.A. // Phys. Solid State. 2013. V. 55. № 7. P. 1494.
- Lezhnev S.K., Yusupov A.R., Galiev A.F., Kornilov V.M., Gadiev R.M., Lachinov A.N. // JETP Lett. 2019. V. 110. № 7. P. 447.
- Salazkin S.N. // Polymer Science B. 2004. V. 46. № 7‒8. P. 203.
- Gileva N.G., Nosovskaya I.I., Fatykhov A.A., Salazkin S.N., Kraikin V.A. // Russ. J. Org. Chem. 2019. V. 55. № 2. P. 174.
- Kraikin V.A., Fatykhov A.A., Sakhipova I.I., Sedova E.A., Egorov A.E., Salazkin S.N. // Magn. Reson. Chem. 2013. V. 51. P. 621.
- Fatykhov A.A., Sedova E.A., Egorov A.E., Salazkin S.N., Kraikin V.A. // Magn. Reson. Chem. 2017. V. 55. P. 958.
- Wang K., Chen H., Zhang J., Zou Y., Yang Y. // J. Phys. Chem. Lett. 2021. V. 12. P. 3928.
- Reid O.G., Pensack R.D., Song Y., Scholes G.D., Rumbles G. // Chem. Mater. 2014. V. 26. P. 561.
- Guo Z., Lee D., Schaller R.D., Zuo X., Lee B., Luo T., Gao H., Huang L. // J. Am. Chem. Soc. 2014. V. 136. P. 10024.
- Красовицкий Б.М., Болотин Б.М. Органические люминофоры. М.: Химия, 1984.
- Deng Y., Yuan W., Jia Z., Liu G. // J. Phys. Chem. B. 2014. V. 118. P. 14536.
- Li Y., Nguyen D.D., Shetye K., Peng Z. // Int. J. Polym. Sci. 2020. V. 2020. P. 8866816.
- So W.Y., Hong J., Kim J.J., Sherwood G.A., Chacon-Madrid K., Werner J.H., Shreve A.P., Peteanu L.A. // J. Phys. Chem. B. 2012. V. 116. P. 10504.
- Шатенштейн А.И., Вырский Ю.П., Правикова Н.А., Алиханов П.П., Жданова К.И., Изюмников А.Л. Определение молекулярных весов полимеров. М.: Химия, 1964.
Қосымша файлдар













