Реологические свойства и кинетика набухания гидрогелей на основе полимерных комплексов пектина и арабиногалактана
- Авторы: Киселев В.А.1, Мударисова Р.Х.1, Бадыкова Л.А.1, Колесов С.В.1, Мингалеев В.З.1
-
Учреждения:
- Уфимский институт химии Уфимского федерального исследовательского центра Российской академии наук
- Выпуск: Том 66, № 3 (2024)
- Страницы: 191-200
- Раздел: ПОЛИМЕРНЫЕ ГЕЛИ
- URL: https://bakhtiniada.ru/2308-1120/article/view/272710
- DOI: https://doi.org/10.31857/S2308112024030032
- EDN: https://elibrary.ru/LWXESU
- ID: 272710
Цитировать
Полный текст
Аннотация
Изучено взаимодействие макромолекул пектина и арабиногалактана в водном растворе. Показано образование полимерных комплексов за счет водородных связей между макромолекулами. Сшивание полимерного комплекса с помощью ионов Са2+ приводит к образованию гидрогелей, свойства которых в значительной степени определяются содержанием арабиногалактана. При низких концентрациях ионов Са2+ (от 0.05 до 0.15 мас. %) введение арабиногалактана способствует повышению модуля сдвига, росту концентрации сшивок и приводит к уменьшению размеров полимерной сети по сравнению с гидрогелями на основе нативного пектина. С увеличением содержания арабиногалактана повышается вклад диффузии Фика в набухание полученных гидрогелей.
Полный текст
Введение
Создание новых гидрогелей для направленного локального применения и пролонгированного высвобождения лекарственных препаратов является актуальной задачей для современной медицины. Гидрогели на основе полисахаридов обладают высокой водопоглощающей способностью, отсутствием токсичности, высокой физиологической активностью и биодеградируемостью [1‒3]. В ряду полисахаридов можно выделить пектин, который является анионным полиэлектролитом и обладает хорошими гелеобразующими свойствами. Гидрогели, приготовленные из концентрированных растворов пектина, являются неограниченно набухающими и поэтому не могут использоваться как препаративные формы [4, 5].
В общем случае успешность применения гидрогелей для биомедицинских приложений во многом зависит от их сорбционных (способности к набуханию) и реологических свойств. Для получения гидрогелей, сочетающих высокую способность к набуханию с устойчивыми реологическими характеристиками, применяются различные методы химического сшивания [6, 7]. В частности, для пектина широко используются ионы двухвалентных щелочноземельных металлов [8‒11], которые сшивают полимерные цепи пектина с образованием пористых трехмерных надмолекулярные структур.
Одним из способов регулирования пористой структуры гидрогелей пектина может быть его частичная замена другим полисахаридом, который не образует гидрогелей с ионами Са2+ [12‒14]. Такие смешанные гидрогели интересны сочетанием двух форм структурирования: химической (за счет образования комплексов между карбоксилат-анионами и катионами Са2+) и физической (за счет межмолекулярных взаимодействий). В качестве второго полисахарида для получения смешанных гидрогелей на основе пектина нами был выбран арабиногалактан лиственницы сибирской), который отличается высокой разветвленностью и неспособностью образовывать гели под действием ионов двухвалентных металлов. Главная цепь арабиногалактана состоит из 1→3 связанных β-D-галактопиранозных остатков, большинство из которых несет боковые ответвления при С-6. Боковые цепи содержат 3,6-ди-О- и 6-О-замещенные остатки β-D-галактопиранозы и 3-О-замещенные остатки β-L-арабинофуранозы, а концевыми невосстановливающими остатками являются β-D-галактопираноза, β-D-арабинофураноза и β-L-арабинопираноза. Арабиногалактан обладает разнообразной биологической активностью, характеризуется хорошей биосовместимостью и может солюбилизировать широкий спектр биологически активных соединений [15‒17].
Целью настоящего исследования – изучение реологических свойств и кинетики набухания гидрогелей на основе полимерных комплексов пектина и арабиногалактана, трехмерно сшитых ионами Са2+.
Экспериментальная часть
Объекты исследования
В экспериментах использовали яблочный пектин товарной марки Unipectine XPP 240 с молекулярной массой 2.6 × 103 [18], степенью метоксилирования 66%, арабиногалактан лиственницы сибирской (Закрытое акционерное общество “Аметис”, Амурская обл., г. Благовещенск, ТУ 9325-008-70692 152–08; молекулярная масса 40 × 103). Методика определения молекулярной массы арабиногалактана приведена в Дополнительных материалах.
Степень метоксилирования, влажность и содержание свободных карбоксильных групп пектина определяли по методике [19]. Подробно это описано в Дополнительных материалах. Элементный анализ полисахаридов проводили на анализаторе марки EUKOEA-3000 (табл. 1).
Таблица 1. Физико-химические характеристики полисахаридов
Полисахарид | Сэксп, % | Нэксп, % | Влажность, % | Свободные СООН-группы, % | a20D, (град·см3)/ (дм г) | lmax, нм Н2О | М ×10–3 |
Пектин | 40.25 | 5.49 | 2.30 | 7.70 | +180 ± 2 | 210 | 26 |
Арабиногалактан | 42.00 | 6.72 | 4.0 | 4.5 | +16 ± 1 | 210, 290 | 40 |
Синтез гидрогелей
Гидрогели пектин + хлористый кальций и арабиногалактан + пектин + хлористый кальций готовили путем смешения полимерных растворов различного состава в заданных объемных соотношениях (25 : 75, 50 : 50, 75 : 25 об.%). Суммарная концентрация по полисахаридам оставалась постоянной (2 мас. %). Для получения гидрогелей в приготовленные полимерные растворы вводили водный раствор хлорида кальция заданной концентрации в интервале 0.05‒0.5 мас.% .
Спектроскопические исследования
ИК-спектры записывали на спектрофотометре “Shimadzu IR-Prestige-21” (700‒3600 см−1, вазелиновое масло). Величину удельного вращения измеряли на поляриметре “Perkin-Elmer” (модель 141). Размер надмолекулярных частиц образцов определяли методом лазерного рассеяния на приборе “Sald 7101” (“Shimadzu”). Длина волны полупроводников оголазера 375 нм. Рабочий диапазон измерения диаметров частиц 10 нм‒300 мкм. УФ-спектры водных растворов снимали в кварцевых кюветах на спектрофотометре “Shimadzu UV-VIS-NIR 3100” при толщине поглощающего слоя 1 см в области 200‒350 нм. (Спектрофотометрические данные представлены в Дополнительных материалах).
Термический анализ образцов
Для изучения термического разложения образцов измерения проводили на приборе синхронного термического анализа ТГА‒ДСК (“Mettler Toledo”) в среде воздуха при скорости нагревания 5 град/мин, в интервале температур 298‒573 К. Для измерений использовали образцы соединений массой 5‒8 мг, применяли тигли из оксида алюминия объемом 70 мкл.
Реологические исследования
Частотные зависимости модуля упругости и модуля потерь определяли на реометре MCR-101 (“Anton Paar”, Австрия). Использовали систему типа плоскость‒плоскость с диаметром плоскостей 35 мм и зазором 1 мм. Температура исследования 25 °С.
Расчет молекулярных параметров полимерной сети гидрогелей
Молекулярные параметры полимерной сети гидрогелей пектин–арабиногалактан–Ca2+ определяли с использованием модуля сдвига G. Модуль сдвига рассчитывали по данным реологических экспериментов с помощью обобщенной модели Максвелла [20‒22]. Более подробное описание этой модели и основные уравнения для расчётов представлены в Дополнительных материалах.
Капиллярная вискозиметрия
Характеристическую вязкость растворов полисахаридов измеряли при 30 ± 0.2 °С в вискозиметре Уббелоде с висячим уровнем с диаметром капилляра 0.56 мм [23]. Для определения характеристической вязкости как индивидуальных полисахаридов, так и их смесей использовали водные растворы с концентрацией 0.3 мас.% в растворе 0.3 М NaCl. Все растворы и растворитель фильтровали через фильтр Шотта (ПОР 16). Чтобы найти характеристическую вязкость, измерения проводили для семи различных концентраций полимера, полученных непосредственным разбавлением исходного раствора в вискозиметре. Перед измерением образцы термостатировали в течение 15 мин, температуру в ячейке поддерживали с точностью ±0.2 °С. Значения характеристической вязкости рассчитывали методом двойной экстраполяции зависимостей ηуд/С и ln ηотн/С к нулевой концентрации.
Изучение набухания гелей
Гидрогели высушивали до постоянной массы. Затем навеску высушенного гидрогеля (ксерогеля) погружали в растворитель. После истечения заданного времени набухший гидрогель извлекали из растворителя и взвешивали, удалив предварительно капли воды с поверхности гидрогеля. В качестве растворителей использовали дистиллированную воду и буферные растворы: ацетатный с рН 4, фосфатный с рН 6 и карбонатно-бикарбонатный с рН 9. Кислотность растворов контролировали на pH-метре “АНИОН 4100”.
Экспериментальную величину набухания S рассчитывали, как относительное увеличение содержания воды в гидрогеле:
,(1)
где m0 – масса ксерогеля, г; m(t) – масса набухшего гидрогеля в момент времени t, г; S(t) – коэффициент набухания, г воды/г ксерогеля (г/г).
Набухание полимеров, в том числе гидрогелей, как правило, отклоняется от законов диффузии Фика [24]. Если набухание происходит только за счет фиковской диффузии, то это формально соответствует кинетике реакции первого порядка и для равновесного (ограниченного) набухания описывается уравнением [25]
, (2)
в котором Se – равновесное набухание, kD – эффективная константа набухания по уравнению первого порядка. Причины нефиковского транспорта воды в полимерную сетку гидрогеля связаны с низкой подвижностью сегментов полимерной цепи между сшивками вследствие их нековалентного взаимодействия с соседними цепями. В этих условиях набухание будет лимитироваться процессами релаксации, т.е. повышением подвижности сегментов полимерных цепей в результате разрушения нековалентных связей под действием молекул воды [26]. Релаксация будет способствовать фиковскому транспорту молекул воды в сформированный свободный объем между полимерными цепями. Нефиковская диффузия (Case II аномальная диффузия [24]) формально соответствует кинетике реакции второго порядка
, (3)
(kR – эффективная константа релаксации).
Экспериментальные кривые набухания полученных гидрогелей пектин–арабиногалактан–Са2+ анализировали в соответствии с линейными формами уравнений (2) и (3), которые описываются следующими выражениями;
, (4)
. (5)
Как видно из этих уравнений, фиковская диффузия соответствует прямолинейной зависимости
от , а нефиковская диффузия,
контролируемая релаксацией (Case II, аномальная диффузия) ‒ прямолинейной зависимости
от t.
Результаты и их обсуждение
Исследование взаимодействия между пектином и арабиногалактаном
ИК-спектр смеси пектина и арабиногалактана (рис. 1 кривая 1) имеет полосы поглощения, характерные для обоих компонентов (рис. 1, кривые 2 и 3). Из сравнения спектров нативных полисахаридов и их смеси (рис. 1, кривая 1) полоса поглощения ν(C=O) пектина (1736 см–1) при его взаимодействии с арабиногалактаном смещается в высокочастотную область на 6 см–1 до 1742 см–1. Кроме того, в области 3200‒3600 см–1 наблюдается смещение полосы поглощения ν(‒ОН) арабиногалактана и пектина в сторону больших волновых чисел. Таким образом, наличие протоноакцепторных (С=О) и протонодонорных (‒OH) функциональных групп в цепях пектина и арабиногалактана обусловливает образование как межмолекулярных, так и внутримолекулярных водородных связей в смеси пектин‒арабиногалактан.
Рис. 1. ИК-спектры индивидуальных веществ и гидрогелей на их основе: 1 – пектин–арабиногалактан, 2 – пектин, 3 – арабиногалактан, 4 – пектин–Са2+, 5 – пектин–арабиногалактан–Са2+.
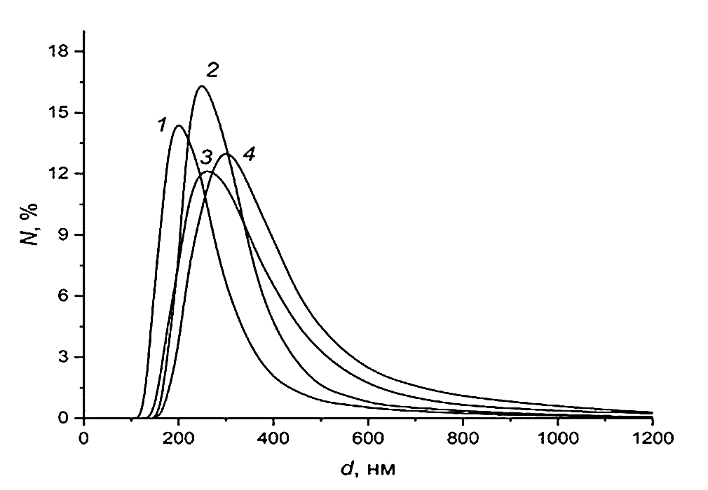
Межмолекулярное взаимодействие пектина и арабиногалактана в растворе подтверждается формированием частиц и изменением характеристической вязкости растворов. Арабиногалактан не образует ассоциатов и частиц в растворе. В растворах пектина и в растворах его смесей с арабиногалактаном присутствуют наноразмерные надмолекулярные частицы (рис. 2). Модальный размер частиц нативного пектина в водном растворе составляет 200 нм при сравнительно узком распределении частиц. Добавление арабиногалактана в раствор пектина и повышение его содержания в полимерной смеси приводит к изменению размерных характеристик частиц в данных системах. В растворе смеси пектин‒арабиногалактан состава 75 : 25 об.% присутствуют частицы с модальным размером 224 нм, а в смеси состава 25 : 75 об.% ‒ частицы с модальным размером 282 нм. При этом с увеличением содержания арабиногалактана в смеси происходит расширение распределения частиц по размерам и повышение содержания частиц с размерами от 300 до 1100 нм, что, по нашему мнению, свидетельствует об образовании интерполимерных комплексов.
Обнаружено, что с увеличением концентрации арабиногалактана в полимерной смеси происходит монотонное падение значений характеристической вязкости от 1.4 дл/г для нативного пектина и до 0.5 дл/г для смеси пектин‒арабиногалактан состава 25 : 75 об.%. Снижение характеристической вязкости растворов полимеров свидетельствует об уменьшении размеров полимерных клубков. Формирующиеся компактные клубки образуют более крупные частицы полимерных комплексов пектин‒арабиногалактан, наличие которых подтверждается методом лазерного рассеяния (рис. 2).
Рис. 2. Распределение частиц по размерам для индивидуального пектина (1) и полимерной смеси пектина с арабиногалактаном с соотношением компонентов 75 : 25 (2), 50 : 50 (3) и 25 : 75 об.% (4). d– диаметр частиц (нм), N – количество частиц (%).
Полимерная смесь пектин‒арабиногалактан характеризуется заметно более высокой термической стабильностью при высоких температурах по сравнению с исходными пектином и арабиногалактаном (рис. 3). Видно, что температуры начала снижения массы как для исходных полисахаридов, так и для их смеси близки и находятся в интервале 27‒37 °C. Количество низкомолекулярных продуктов, удаляемых из смеси пектин‒арабиногалактан в интервале температур от 27 до 45 °С, составляет 3.5%, т.е. сопоставимо со значением, полученным для индивидуальных полисахаридов. Более заметное снижение массы наблюдается на второй стадии, а общее снижение массы продуктов, соответствующее температуре 300 °С, для смеси пектин‒арабиногалактан на 39.2‒46.6% меньше по сравнению с исходными полимерами. Вероятно, на начальной стадии термического разложения происходит отщепление боковых коротких цепочек в арабиногалактане, которое мало отражается на общей потере массы комплекса пектин‒арабиногалактан. При более высоких температурах происходит деградация полимерных цепей с образованием низкомолекулярных продуктов со значительной потерей массы. В целом это воспринимается как более высокая термоустойчивость комплексов пектин‒арабиногалактан.
Рис. 3. Кривые ТГА индивидуальных полисахаридов пектина (1), арабиногалактана (2), пектин–арабиногалактан (3) и высушенных гидрогелей пектин–арабиногалактан–Ca2+ (4), пектин–Ca2+ (5).
Таким образом, полученные результаты свидетельствуют о взаимодействии пектина и арабиногалактана, которое приводит к образованию полимерных комплексов. Формирование таких комплексов может оказать заметное влияние на свойства гидрогелей на основе пектина, сшитого ионами Са2+.
Изучение физико-химических характеристик гидрогелей пектин–арабиногалактан–Са2+
При образовании геля ионы Са2+ связывают карбоксильные группы макромолекул пектина и пектин‒арабиногалактан, что демонстрируют ИК-спектры систем пектин‒Са2+ и пектин–арабиногалактан–Са2+ в которых появляются полосы поглощения карбокси-анионов (1615, 1614 см–1) (рис. 1, кривые 4 и 5). Кроме того, в области 3000‒3400 см-1 наблюдается высокочастотный сдвиг полос поглощения n(‒ОН) для пектин–Са2+ на 6, а для пектин–арабиногалактан–Са2+ на 41 см–1, что указывает на разрыв или ослабление водородных связей в результате координации катионов Са2+ к гидроксильным группам пектина и/или пектин–арабиногалактан. Следует отметить значительное изменение формы полосы поглощения n(С‒О‒С) в области 1000‒ 1200 см–1, что свидетельствует о вовлечении эфирных связей пиранозных и фуранозных колец пектина и пектин–арабиногалактан во взаимодействие с ионами Са2+ при гелеобразовании.
По данным ТГА (рис. 3) видно, что гидрогель пектин–арабиногалактан–Са2+ обладает термической стабильностью на уровне гидрогеля пектин‒ Са2+. С повышением температуры способность гидрогеля пектин–арабиногалактан–Са2+ удерживать воду снижается аналогично гидрогелю пектин‒Са2+, причем примерно до 200 °С масса гидрогелей изменяется незначительно (на 14‒16%). Из рис. 3 также следует, что термическая стабильность пектин–арабиногалактан–Ca2+ находится примерно на уровне с пектин–арабиногалактан. Поэтому можно предположить, что в геле пектин–арабиногалактан–Са2+ макромолекулы пектина прочно связаны не только с ионами Са2+, но и с макромолекулами арабиногалактана.
Реологические характеристики гидрогелей пектин–арабиногалактан–Ca2+
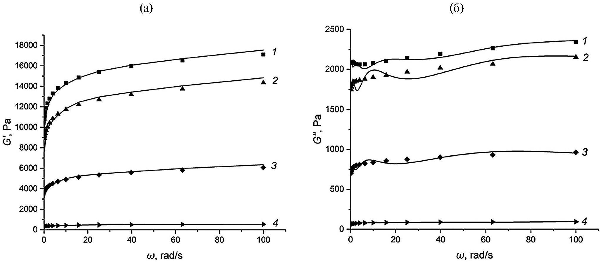
На рис. 4 представлены частотные зависимости модуля накоплений G’ и модуля потерь G’’ для гидрогелей пектин–арабиногалактан–Са2+, а также для соответствующего однокомпонентного гидрогеля при тех же концентрациях компонентов.
Рис. 4. Частотные зависимости модулей накопления G’ (а) и потерь G’’ (б) гелей пектина (1) и пектин–арабиногалактан–Са2+([Са2+] = 0.25 мас. %) состава 75 : 25 (2), 50 : 50 (3) и 25 : 75 об.% (4). Частота осциллирующего напряжения ω = 1 Гц, 25 °С. Точки – экспериментальные значения, линии – расчет в соответствии с обобщенной моделью Максвелла.
Для всех образцов упругий отклик преобладает над вязким (G’ > G’’) во всей исследованной области частот, что типично для гелей. С увеличением содержания арабиногалактана в гидрогеле пектин–арабиногалактан–Са2+ значения модуля накоплений снижаются. Параметры, определенные в уравнениях (6¢) и (7¢) и необходимые для расчета модуля сдвига уравнение (8¢), представлены в Дополнительных материалах.
В табл. 2 показаны результаты расчета модулей сдвига, концентрации сшивок и среднего размера ячеек. Видно, что с увеличением содержания арабиногалактана при прочих равных условиях наблюдается снижение модуля сдвига. Причем более заметное снижение отмечается при содержании арабиногалактана более 25 об.%. Гидрогели, приготовленные в присутствии арабиногалактана с его содержанием более 25 об.%, характеризуются значительно меньшим количеством сшивок и большим размером ячеек. Уменьшение количества сшивок и формирование полимерной сети с большим размером ячеек при повышении содержания арабиногалактана может быть объяснено уменьшением вклада пектиновой части гидрогелей, которая сшита ионами Са2+, когда их содержание достаточно велико. Однако, как видно из табл. 2, при содержании ионов Са2+ ниже 0.05 мас. % в присутствии 50 об.%. Гидрогели арабиногалактана характеризуются большим значением модуля сдвига, большей концентрацией сшивок и меньшим размером ячеек полимерной сети.
Таблица 2. Модуль сдвига и параметры полимерной сетки при различных условиях приготовления гидрогелей пектин–арабиногалактан–Са2+
Содержание арабиногалактана в геле, об.% | Са2+, мас.% | G, кПа | ν, моль/м3 | ξ, нм |
Влияние содержания арабиногалактана | ||||
0 | 0.25 | 19.9 | 8.20 | 7.3 |
25 | 0.25 | 18.5 | 7.60 | 7.5 |
50 | 0.25 | 7.60 | 3.10 | 10.1 |
75 | 0.25 | 1.16 | 0.50 | 18.8 |
Влияние концентрации Са2+ при разном содержании арабиногалактана | ||||
0 | 0.05 | 0.01 | 0.004 | 91.0 |
0 | 0.1 | 0.50 | 0.20 | 24.9 |
0 | 0.5 | 41.6 | 17.10 | 5.7 |
50 | 0.05 | 0.02 | 0.01 | 71.8 |
50 | 0.1 | 3.97 | 1.60 | 12.5 |
50 | 0.5 | 24.5 | 10.10 | 6.8 |
Так, при [Са2+] = 0.1 мас.% и [арабиногалактан] = 0% значение G составляет 0.50 кПа, а при [арабиногалактан] = 50 об.% в составе геля G = 3.97 кПа (табл. 2). Данные табл. 2 согласуются с результатами исследования взаимодействия пектина и арабиногалактана в растворе без ионов Са2+. В гидрогелях, приготовленных при низком содержании ионов [Са2+] < 0.1 мас.%, не связанные полимерные цепи пектина взаимодействует с арабиногалактаном, что упрочняет и структурирует полимерную сетку.
Таким образом, варьирование концентрации арабиногалактана и ионов Са2+ значительно расширяет возможности регулирования реологических свойств пектиновых гидрогелей и структурных параметров их полимерных сеток. Это в свою очередь будет оказывать влияние на кинетику набухания гидрогелей пектин–арабиногалактан–Са2+.
Кинетика набухания гидрогелей пектин–арабиногалактан–Са2+
На рис. 5а представлены кривые набухания гидрогелей, приготовленных с различным содержанием арабиногалактана. Видно, что все кривые соответствуют равновесному набуханию, типичному для химически и ионно-сшитых гидрогелей. Обработка кривых набухания гидрогелей при разном содержании арабиногалактана по уравнению первого порядка (4) показана на рис. 6а и 6б. В отсутствие арабиногалактана и при его содержании до 25 об.% наблюдаются нелинейные (S-образные) зависимости на всей продолжительности набухания гидрогелей до равновесного значения. Это указывет на отсутствие вклада диффузии Фика в процесс набухания. Однако с повышением содержания арабиногалактана выраженный S-образный вид зависимостей в координатах уравнения (4) сменяется на более прямолинейный вид (рис. 6б), о чем свидетельствует повышение коэффициента корреляции R2 для уравнения прямой с 0.93 (рис. 6а) до 0.97 (рис. 6б).
Рис. 5. Кинетические кривые сорбции воды гелями в зависимости от состава (а) и рН среды (б). а: 1 – пектин, 2–4 – пектин : арабиногалактан состава 75 : 25 (2), 50 : 50 (3), 25 : 75 об.% (4), [Са2+] = 0.5 мас.%, рH 7.0; б: рН 9 (1), 6 (2), 4 (3), [пектин : арабиногалактан] = 50 : 50 об.%, [Са2+] = 0.25 мас.%.
Рис. 6. Кинетические кривые набухания, обработанные в координатах уравнений (4) (а, б) и (5) (в) гелей пектин–Са2+ (1) и пектин–арабиногалактан–Са2+ ([Са2+] = 0.5 мас. %, рH 7.0) состава: 75 : 25 (2), 50 : 50 (3), 25 : 75 об.% (4). а: y = 0.1864x, R2 = 0.9397 (1); y = 0.2016x, R2 = 0.9294 (2); б: y = 0.1446x, R2 = 0.9743 (3); y = 0.2511x, R2 = 0.9713 (4); в: y = 0.1482x+2.091, R2 = 0.9975.
Это указывает на то, что увеличение содержания арабиногалактана повышает вклад диффузии Фика в набухание гидрогелей. Данный результат коррелирует с тем, что введение разветвленного арабиногалактана, не способного к сшиванию ионами Са2+, приводит к увеличению средних размеров ячеек полимерной сети, в которых транспорт воды обусловлен исключительно градиентом концентрации (фиковская диффузия).
Обработка кривых набухания гидрогелей при разном содержании арабиногалактана (рис. 5а) по уравнению второго порядка (5) приведена на рис. 6в. Видно, что независимо от содержания арабиногалактана набухание гидрогелей соответствует кинетике реакции второго порядка.
Кинетика набухания пектиновых гидрогелей, приготовленных в присутствии арабиногалактана, демонстрирует заметный отклик на изменение pH, что видно на рис. 5б. Обработка кривых набухания гидрогелей при разных рН среды (рис. 5б) по уравнению первого порядка (4) показана на рис. 7а. Линейные зависимости охватывают практически весь диапазон времени набухания, что указывает на транспорт воды в процессе набухания по типу диффузии Фика. Кроме того, набухание гидрогелей при варьировании рН может быть охарактеризовано кинетикой реакции второго порядка, что следует из рис. 7б.
Рис. 7. Кинетические кривые набухания гелей пектин–арабиногалактан–Са2+ ([Са2+] = 0.25 мас.%) состава 50 : 50 об.% в координатах уравнений (4) (а) и (5) (б) при рН среды 4(1), 6 (2), 9 (3).
а: y = 0.1802x, R2 = 0.9843 (1); y = 0.2914x, R2 = 0.9814 (2); y = 0.1783x, R2 = 0.9826 (3); б: y = 0.1025 x +1.712, R2 = 0.9992 (1); y = 0.0921x+0.5028, R2 = 1 (2), y = 0.0433 x +0.742, R2 = 0.9981 (3).
В табл. 3 представлены величины равновесного набухания Se, констант релаксации kR, рассчитанных по данным рис. 6в, 7б и констант набухания kD, рассчитанных по данным рис. 6а, 6б, 7а. Из табл. 3 следует, что при нейтральном pH повышение содержания арабиногалактана уменьшает величину равновесного набухания, но увеличивает скорость релаксации (повышение константы kR) и скорость фиковской диффузии (повышение константы kD). Это означает, что арабиногалактан способствует транспорту молекул воды в пектиновую часть гидрогеля, сшитую посредством ионов Са2+ и вносящую основной вклад в удержание воды, т.е. величину Se.
Таблица 3. Равновесное набухание и кинетические параметры набухания гидрогелей ПК-Са2+ и пектин–арабиногалактан–Са2+ ([Са2+] = 0.25 мас.%)
Содержание арабиногалактана в гидрогеле, об.% | pH | Se, % | kR, (г/г)-1мин-1 | kD, мин-0.5 |
Влияние содержания арабиногалактана | ||||
0 | 7 | 675 | 0.01 | |
25 | 7 | 466 | 0.02 | |
50 | 7 | 442 | 0.01 | 0.15 |
75 | 7 | 175 | 0.08 | 0.25 |
Влияние pH | ||||
50 | 4 | 976 | 0.01 | 0.18 |
50 | 6 | 1086 | 0.02 | 0.29 |
50 | 9 | 2310 | 0.003 | 0.18 |
В присутствии 50 об.% арабиногалактана в составе геля варьирование pH приводит к изменению кинетических характеристик набухания, т.е. гидрогели пектин–арабиногалактан–Ca2+ являются pH чувствительными. При понижении pH с 9 до 4 ед. наблюдается уменьшение величины равновесного набухания (табл. 3). При этом в кислой и щелочной средах константа релаксации уменьшается относительно ее значения при pH 6 практически на порядок. Это свидетельствует о возрастании лимитирующего влияния скорости релаксации на набухание гидрогелей в кислой и щелочной средах. Схожее влияние pH оказывает и на константы набухания, с той разницей, что в этом случае наблюдается менее значительное понижение значений константы относительно pH 6 (табл. 3).
Таким образом, варьирование pH среды и содержания арабиногалактана оказывают влияние на величину равновесного набухания и скорости ее достижения в широких пределах за счет изменения скоростей релаксации и скорости фиковской диффузии.
Заключение
Проведенные нами исследования свидетельствуют об образовании полимерного комплекса между макромолекулами пектина и арабиногалактана за счет водородных связей и гидрофобных взаимодействий, в результате чего формируются микрочастицы, размер которых зависит от концентрации и состава полимерной смеси. В свою очередь это определяет физико-химические свойства получаемых на их основе гидрогелей, сшитых ионами Са2+. Обнаружено, что формирование гидрогеля в присутствии арабиногалактана при низком содержании ионов Са2+ приводит к увеличению концентрации сшивок и уменьшению размера ячеек полимерной сети, что улучшает реологические свойства таких гелей. Это имеет важное значение для технологии получения инъекционных гидрогелей и медицинских пленок. Судя по данным кинетики набухания, в перспективе появляется возможность регулировать скорость высвобождения иммобилизованных лекарственных средств, изменяя состав полимерной смеси в полученных гидрогелях и используя их высокую pH чувствительность.
Работа выполнена в рамках Программы фундаментальных научных исследований государственных академий на 2022-2024 г.г. (Госзадание: “Развитие фундаментальных основ управления структурой полимеров и кинетикой процесса в каталитической полимеризации, направленной модификации синтетических и биогенных полимеров и получение полимерных систем для биомедицинских приложений” № 1021062311391-0-1.4.4) с использованием оборудования Центра коллективного пользования “Химия” Уфимского института химии Российской академии наук и Регионального центра коллективного пользования “Агидель” Уфимского федерального исследовательского центра Российской академии наук.
Об авторах
В. А. Киселев
Уфимский институт химии Уфимского федерального исследовательского центра Российской академии наук
Автор, ответственный за переписку.
Email: mudarisova@anrb.ru
Россия, 450054, Уфа, пр. Октября, 71
Р. Х. Мударисова
Уфимский институт химии Уфимского федерального исследовательского центра Российской академии наук
Email: mudarisova@anrb.ru
Россия, 450054, Уфа, пр. Октября, 71
Л. А. Бадыкова
Уфимский институт химии Уфимского федерального исследовательского центра Российской академии наук
Email: mudarisova@anrb.ru
Россия, 450054, Уфа, пр. Октября, 71
С. В. Колесов
Уфимский институт химии Уфимского федерального исследовательского центра Российской академии наук
Email: mudarisova@anrb.ru
Россия, 450054, Уфа, пр. Октября, 71
В. З. Мингалеев
Уфимский институт химии Уфимского федерального исследовательского центра Российской академии наук
Email: mudarisova@anrb.ru
Россия, 450054, Уфа, пр. Октября, 71
Список литературы
- Varaprasad K., Raghavendra G.M., Jayaramudu T., Yallapu M.M., Sadiku R. // Mater. Sci. Eng. 2017. V. 79. P. 958.
- Narayanaswamy R., Torchilin V.P. // Molecules. 2019. V. 24. P. 603.
- Wang K., Hao Y., Wang Y., Chen J., Mao L., Deng Y., Chen J., Yuan S., Zhang T., Ren J., Liao W. // Int. J. Polym. Sci. 2019. P. 1.
- Kedir W.M., Deresa E.M., Diriba T.F. // Heliyon. 2022. V. 8. e10654.
- Liu L.S., Fishman M.L., Hicks K.B. // Cellulose. 2007. V. 14. № 1. P. 15.
- Hu W., Wang Z., Xiao Y. // Biomater. Sci. 2019. V. 7. № 3. Р.843.
- Huang S., Kong X., Xiong Y., Zhang X., Chen H., Jiang W., Niu Y., Xu W., Ren C. // Eur. Polym. J. 2020. V. 141. P.110094.
- Ciriminna R., Fidalgo A., Scurria A., Ilharco L.M., Pagliaro M. // Food Hydrocolloids. 2022. V. 127. P. 107483.
- Cai R., Pan S., Li R., Xu X., Pan S., Liu F. // Food Chemi. 2022. V. 389. P. 133130.
- Li D., Li J., Dong H., Li X., Zhang J., RamaswamyS., Xu F. // Int. J. Biological Macromol. 2021. V. 185. P. 49.
- Cao L., LuW., MataA., Nishinari K., FangY. // Carbohydr. Polymers. 2020. V. 242. P. 116389.
- Upadhyay U., Sireesha S., Gupta S., Sreedhar I., Ani tha K.L. // Carbohydr. Polymers. 2023. V. 301. P. 120294.
- Alsakhawy M.A., Abdelmonsif D.A., Haroun M., Sabra S.A. // Int. J. Biological Macromol. 2022. V. 222. P. 701.
- Revuelta M.V., Villalba M.E.C., Navarro A.S., Güida J.A., Castro G.R. // React. Funct. Polym. 2016. V. 106. V. 8.
- Mudarisova R.Kh., Badykova L.A.// Polymer Science A. 2012. V. 54. № 2. P. 106.
- Babkin V.A., Medvedeva E.N., Neverova N.A., Levchuk A.A., Sapozhnikov A.N. // Chem. Nat. Comp. 2014. V. 50. № 2. Р. 225.
- Badykova L.A., Mudarisova R.K., Kolesov S.V.// Polymer Science A. 2021. V. 63. № 2. P. 117.
- Шелухина Н.П., Абаева Р.Ш., Аймухамедова Г.Б. Пектин и параметры его получения. Фрунзе: Илим, 1987. С. 90.
- Донченко Л.В. Технология пектинов и пектинопродуктов. М.: ДеЛи, 2000.
- Kopac T., Rucigaj A., Krajnc M. // Int. J. Biol. Macromol. 2020. V. 159. P. 557.
- The Science and Technology of Rubber / Ed. by James E. Mark, Burak Erman, C. Michael Roland. Acad.Press, 2013. Ch. 5. P. 193.
- Fluids, Colloids and Soft Materials: An Introduction to Soft Matter Physics/ Ed. by Alberto Fernandez Nieves and Antonio Manuel Puertas. Hoboken, New Jersey: Wiley, 2016.
- Рафиков С.Р., Будтов В.П., Монаков Ю.Б. Введение в физико-химию растворов полимеров. М.: Наука, 1978.
- Yavari N., Azizian S. // J. Molec. Liq. 2022. V. 363. P. 119861.
- Schott H. // Macromol. Sci., Physics. 1992. V. 31. № 1. P. 1.
- Ganji F, Vasheghani-Farahani S., Vasheghani-Fara hani E. // Iran. Polym. J. 2010. V. 19. № 5. P. 375.
Дополнительные файлы
Примечание
1Дополнительные материалы доступны по DOI статьи: 10.31857/S2308112024030032









