Формирование нановолокон на основе полиакрилонитрила с графитом и их структурные характеристики
- 作者: Атаханов А.А.1, Ашуров Н.Ш.1, Тураев Ж.1, Абдуразаков М.1, Ашуров Н.Р.1, Рашидова С.Ш.1, Берлин А.А.2
-
隶属关系:
- Институт химии и физики полимеров Академии наук Республики Узбекистан
- Институт химической физики им. Н.Н. Семёнова Российской академии наук
- 期: 卷 66, 编号 2 (2024)
- 页面: 146-152
- 栏目: ПОЛИМЕРНЫЕ ВОЛОКНА
- URL: https://bakhtiniada.ru/2308-1120/article/view/266607
- DOI: https://doi.org/10.31857/S2308112024020058
- EDN: https://elibrary.ru/MYVOQM
- ID: 266607
如何引用文章
全文:
详细
Методом электроспиннинга получены нановолокна на основе полиакрилонитрила с графитом. Изучена структура, а также термические и электрические свойства нановолокон. Показано влияние реологических характеристик растворов и условий процесса электроспиннинга на структуру нановолокон. Выявлены изменения надмолекулярных структурных характеристик нановолокон при электроформовании.
全文:
Благодаря своей морфологии, структуре и специфическим свойствам нановолокна находят широкое применение при получении материалов с уникальными эксплуатационными характеристиками (высокая прочность, гибкость, тепло- и химическая стойкость и другие). В настоящее время электроспиннинг является самым передовым способом получения нановолокон из самых различных полимеров [1–5]. Электроспиннинг обеспечивает простой подход к формированию волокон диаметром от нанометровых до субмикронных размеров с высокой степенью ориентации и управляемыми свойствами [6, 7]. На сегодняшний день нановолокна используются в различных областях промышленности, в качестве катализаторов [8–11], каркасов для тканевой инженерии [12], агентов доставки лекарств [13, 14], антибактериальных препаратов для раневых повязок [15], материалов, чувствительных к суперпарамагнитным полям, фильтр-материалов, армирующих наполнителей нанокомпозитов [16].
Волокна полиакрилонитрила представляют собой наиболее распространенный вид промышленно освоенных карбоцепных синтетических волокон [17, 18]. Это связано с особыми свойствами волокон ПАН: низким коэффициентом теплопроводности, пушистостью, объемностью, которые делают волокна ПАН практически равноценными заменителями шерсти [19]. Кроме того, данный полимер при определенных условиях обладает способностью к циклизации, что определяет такой ассортимент производства ПАН, как технический жгутик, используемый в качестве сырья для углеродных волокон [20].
Также представляют как научный, так и практический интерес композитные материалы на основе ПАН с различными наполнителями, в том числе содержащие графит. ПАН-графитные композиты обладают уникальными свойствами, такими как высокая удельная прочность и жесткость, высокая теплопроводность и электропроводность, а также устойчивость к коррозии. Эти свойства делают ПАН-графитные композиты перспективными материалами для различных технических и промышленных приложений.
В настоящей работе выявлены условия электроформования нановолокон полиакрилонитрила в присутствии частиц диспергированного графита, изучено влияние характеристик растворов и условий электроспининга на структуру нановолокон, а также исследованы электрические и термические свойства нановолокон.
ЭКСПЕРИМЕНТАЛЬНАЯ ЧАСТЬ
Объектами исследования служили полиакрилонитрил (Открытое акционерное общество “Навоиазот” (Узбекистан), молекулярная масса 152 × 103) и графит (“Sigma Aldrich”, содержание углерода 99%, размер частиц 44 мкм (≥ 99%)).
Смесь полимерного раствора с графитом приготавливали следующем образом: 0.8 г графита диспергировали в 5 мл диметилформамида в течение 20 мин в ультразвуковом диспергаторе (УЗДН-2Т) при частоте 44 кГц, затем дисперсию графита добавляли к предварительно приготовленному 8% раствору ПАН в ДМФА и перемешивали в течение 2 ч. Были приготовлены два состава, отличающиеся массовым содержанием графита: ПАН : графит (95 : 5) и ПАН : графит (50 : 50).
Поведение растворов исследовали в сдвиговом потоке, генерированном в системе коаксиальных цилиндров на приборе “Реометр MCR 92” (“Anton Paar”, Austria) при температуре25, 30, 35, 40, 45, 50 и 55оС. Реологические данные обрабатывали с помощью программного обеспечения RheoCompass. Продольное течение суспензии генерировали в капиллярном вискозиметре Кувшинского.
Нановолокна на основе композита ПАН с графитом формовали на приборе “NanoNC eS-robots” (“NanoNC Со. Ltd”, Korea) в следующих условиях: напряжение 15‒27 кВ, расход раствора 10–45 мкл/мин, температура камеры 25–40оС, расстояние между анодом и катодом 10–15 см.
Морфологию поверхности образцов исследовали на сканирующем электронном микроскопе SEM – EVO MA 10 (“Zeiss”, Germany). Ускоряющее напряжение 10.00 кВ, рабочее расстояние 8.5 мм. Изображения в различных масштабах были получены с использованием программного обеспечения SmartSE M.
ИК-спектроскопические исследования выполняли на приборе ИК-Фурье “Inventio-S” (“Bruker”, Germany) в диапазоне волновых чисел от 400 до 4000 см–1, разрешение 4 см–1, соотношение сигнал: шум 30000: 1, скорость сканирования 16 спектров в секунду.
Рентгенографические исследования проводили на дифрактометре “Miniflex 600” (“Rigaku”, Япония) с монохроматизированным CuKα-излучением с длиной волны λ = 1.5418 Å при напряжении 40 кВ и силе тока 15 мА. Образцы исследовали в виде нетканых материалов. Съемку выполняли в интервале углов 2θ = 2˚–40˚. Дифрактограммы обрабатывали с помощью программного обеспечения SmartLab Studio II; использовали фиксированные щели, имеющие угол 1.25о. Эксперименты проводили в режиме отражения (Брегг–Брентано), применяя метод Ритвелда (Rietveld method) и функцию псевдо-Войта.
Термический анализ образцов выполняли на синхронном термоанализаторе “STA PT1600” (“LINSEIS”, Германия) методами термогравиметрии, дифференциальной термогравиметрии и дифференциальной сканирующий калориметрии. Измерения проводили воздушной атмосфере в динамическом режиме со скоростью нагревания 10оС/мин в интервале температур 25–800оС. На основе кривых термического анализа с помощью компьютерной программы Linseis TA Evaluation Software оценивали энтальпию плавления образцов.
РЕЗУЛЬТАТЫ И ИХ ОБСУЖДЕНИЕ
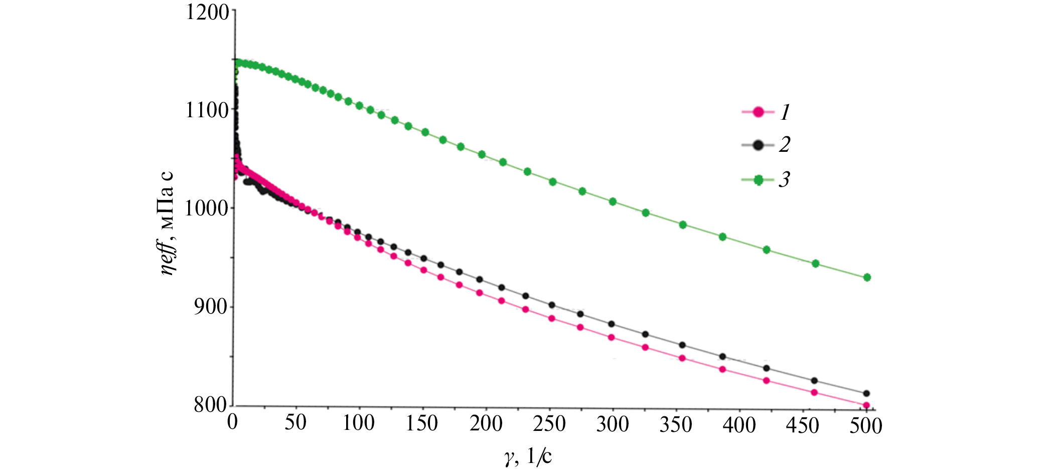
Исследование реологических свойств растворов ПАН и их смесей с графитом в сдвиговых и продольных полях показало, что кривые течения носят неньютоновский характер, обусловленный деформационным упорядочением макромолекул ПАН с частицами графита в широком диапазоне градиентов скорости сдвигового поля (рис. 1).
Рис. 1. Зависимость эффективной вязкости ηeff от градиента скорости сдвигового поля γ в полулогарифмических координатах: 1 – ПАН, 2 – ПАН–графит (95 : 5), 3 – ПАН–графит (50 : 50) в ДМФА. Цветные рисунки можно посмотреть в электронной версии.
Зависимость эффективной вязкости ηeff от градиента скорости сдвигового поля γ определена для изучаемых систем в широком температурном диапазоне. С использованием формулы Френкеля–Эйринга lnηeff = lnA + Ea/RT рассчитана энергия активации вязкого течения Ea, равная 17.02 кДж/моль для исходного ПАН, 17.03 кДж/моль для композиции ПАН–графит (95 : 5) 17.33 кДж/моль для композиции ПАН–графит (50 : 50). Значение энергии активации вязкого течения показывает отсутствие специфических взаимодействии макромолекул ПАН с частицами графита.
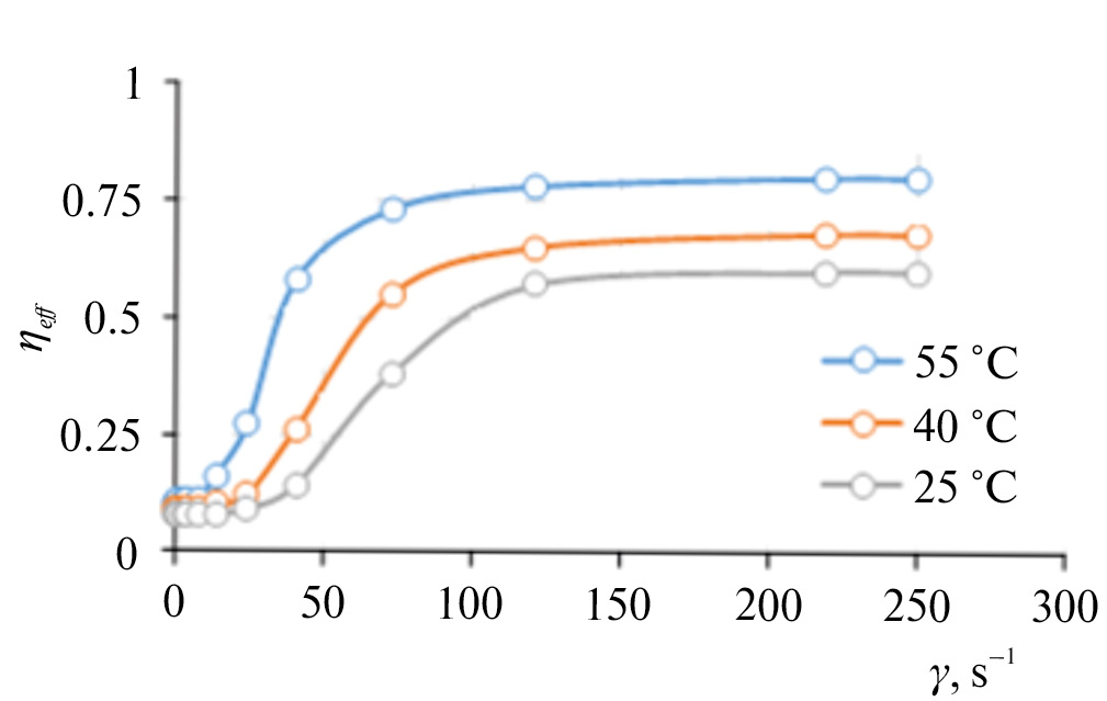
При продольном течении суспензии также обнаружено выраженное неньютоновское течение (рис. 2), причиной которого является ориентационное упорядочение макромолекул в ламинарном продольном поле. Об этом свидетельствует достижение высокого коэффициента ориентации макромолекул (β = 0.6–0.8), который был косвенно измерен методом двулучепреломления.
Рис. 2. Зависимость коэффициента ориентации макромолекул β от градиента скорости продольного поля γ для суспензии ПАН–графит (50 : 50) в ДМФА при температуре 25 (1), 40 (2) и 55оС (3).
Из кривых, приведенных на рис. 2, следует, что в области градиента скорости γ = 20–100 с–1 наблюдается резкое повышение коэффициента ориентации макромолекул β. от 0.10 до 0.75, характерное для динамических фазовых переходов клубок–развернутая цепь первого рода. В области γ > 100 с–1 развернутые макромолекулы практически сохраняют достигнутые ориентированные состояния в продольном поле. Повышение температуры способствует снижению межмолекулярных взаимодействий, что препятствует достижению высокой степени ориентации макромолекул в продольном потоке.
На электронно-микроскопических снимках (рис. 3) наблюдаются волокна с размерами от 100 до 600 нм, причем в композициях видны неравномерно распределенные нано- и микрочастицы графита. В композиции ПАН–графит (50 : 50) частицы графита крупнее, что может быть связано с агломерацией частиц.
Рис. 3. Электронно-микроскопические снимки композиций нановолокон ПАН с графитом в соотношении 95 : 5 (а, б) и 50 : 50 (в, г).
ИК-спектроскопические исследования нановолокон выявили некоторые изменения в интенсивности и положении полос поглощения ПАН после добавления графита. Как видно на спектрах (рис. 4), повышение содержания графита в образцах способствует появлению полос поглощения в области около 2850 см–1 и уменьшению интенсивности полос поглощения в области волновых чисел 2240 и 1735 см–1.
Рис. 4. ИК-спектры образцов ПАН и его композиции с графитом: 1 – исходный ПАН; 2 – нановолокна ПАН; 3, 4 – нановолокна из композиции ПАН : графит = 95 : 5 (3) и 50 : 50 (4).
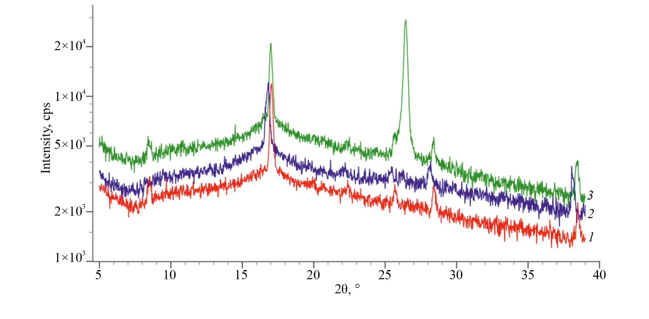
Рентгеноструктурный анализ показал, что дифрактограммы нановолокон ПАН резко отличаются от дифрактограмм исходного образца и от дифрактограмм нановолокон из композиции ПАН–графит (50 : 50) (рис. 5). В процессе электроспиннинга под действием сильного электрического поля происходит ориентационное структурообразование, которое сопровождается скручиванием цепей [21, 22].
Рис. 5. Дифрактограммы образцов ПАН и его композиции с графитом: 1 – нановолокна ПАН; 2, 3 – нановолокна из композиции ПАН : графит = 95 : 5 (2) и 50 : 50 (3).
В нановолокнах наблюдаются изменения показателей кристаллической структуры, т. е. интенсивности I и ширины области когерентного рассеяния, межплоскостных расстояний, а также размеров кристаллитов [23, 24]. На дифрактограммах нановолокон ПАН присутствуют кристаллические рефлексы с максимумами при 2θ = 8.49о, 17.03o, 22.38о, 25.6o и 28.37о. Наиболее интенсивный максимум (при угле 2θ = 17.03°) относится к кристаллографическому рефлексу (200). Нановолокна имеют орторомбическую кристаллическую сингонию с параметрами решетки a = 3.14 Å, b = 10.4 Å, c = 2.39 Å, α = β = γ = 90.00°. Наблюдается также вторая фаза с параметрами решетки a = 2.70 Å, b = 2.70 Å, c = 10.41 Å, α = β = 90.00°, γ = 120.00°, обладающая гексагональной сингонией (рис. 5).
На дифрактограммах нановолокон ПАН–графит присутствуют все кристаллические рефлексы, относящееся к нановолокнам ПАН, а также кристаллический рефлекс при 2θ = 26.4°, соответствующий графиту. Как следует из данных, графит имеет гексагональную сингонию с параметрами решетки a = 2.46 Å, b = 2.46 Å, c = 6.72 Å, α = β = = 90.00°, γ = 120.00°.
На дифрактограммах нановолокон композитов ПАН–графит наиболее интенсивный максимум наблюдается при угле 2θ = 26.4°, который относится к кристаллографическому рефлексу (002) графита с гексагональной сингонией (рис. 5). Добавление графита приводит к увеличению степени кристалличности полимера. Это может быть связано с тем, что графит способствует ориентации макромолекул под действием электростатического поля. Двумерный графит или же графен во время формирования нановолокон из композитов ПАН–графит остается между ориентированными паракристаллическими доменами, что приводит к увеличению степени кристалличности.
Исследования термических характеристик волокон ПАН показали, что термограммы исходного волокна ПАН характеризуются наличием экзотермического эффекта с максимумом при 266.4оС, а также умеренными (с 290 до 500оС) и относительно сильными (с 500 до 720оС) деструкционными процессами гетерогенного характера (рис. 6) [25–27].
Рис. 6. Кривые ДСК исходного волокна ПАН (1), нановолокна ПАН (2), нановолокна ПАН : графит = 95 : 5 (3) и 50 : 50) (4) с увеличенным фрагментом в области протекания процесса циклизации.
Большое содержание добавленного графита приводит к дополнительному восстановлению термостойкости, частичному подавлению циклизации (причиной которого может быть сильное уменьшение доли ПАН) и активизации деструкционных процессов.
По результатам обработки экспериментальных термограмм в табл. 1 приведены характеристики влияния электропрядения и добавок частиц графита на термическое поведение волокнистого полиакрилонитрильного материала.
Таблица 1. Влияние электропрядения и добавок графита на процесс циклизации волокнистого полиакрило- нитрильного материала
В табл. 2 по данным динамической термогравиметрии представлены температуры исследованных образцов при фиксированных величинах потери массы, с помощью которых можно оценить их относительную термостойкость. Эти данные могут представить интерес с практической точки зрения, так как при температурах, близких к 300оС, потери массы невелики и еще не приводят к сильным разрушениям.
Таблица 2. Температуры образцов, отвечающие фиксированным значениям потери массы
Термостойкость исследованных образцов оценивали по термогравиметрическим кривым. В связи с тем, что измерения проводились в воздушной среде, точнее следует говорить о стойкости образцов к термоокислительной деструкции. Ее определяли характеристическими температурами Т25, Т30, Т35, Т40, Т50 и Т60, при которых происходит потеря 25, 30, 35, 40, 50 и 60% массы в одних и тех же условиях эксперимента (скорость нагревания, среда и т. д.) [28].
Сравнительный анализ электропроводности в зависимости от состава образцов показал, что электрический ток, протекающий в электрической цепи, линейно увеличивается с растом электрического напряжения (рис. 7). Повышение содержания графита в образцах способствует увеличению электрического тока в цепи. Это показывает, что электропроводность образцов напрямую зависит от содержания графита.
Рис. 7. Зависимость постоянного тока I от напряжения U для нановолокон на основе ПАН (1), композита ПАН : графит = 95 : 5 (2) и 50 : 50 (3).
Таким образом, изучены реологические свойства растворов ПАН и его композитов с графитом и определены энергии активации вязкого течения. Получены нановолокна на основе ПАН и его композитов с графитом и выявлено, что нановолокна имеют диаметры от 100 до 600 нм; в композитах наблюдаются также нано- и микрочастицы графита. Присутствие графита способствует увеличению термической стойкости и электропроводности нетканых материалов.
作者简介
А. Атаханов
Институт химии и физики полимеров Академии наук Республики Узбекистан
编辑信件的主要联系方式.
Email: a-atakhanov@yandex.com
乌兹别克斯坦, Ташкент
Н. Ашуров
Институт химии и физики полимеров Академии наук Республики Узбекистан
Email: a-atakhanov@yandex.com
乌兹别克斯坦, Ташкент
Ж. Тураев
Институт химии и физики полимеров Академии наук Республики Узбекистан
Email: a-atakhanov@yandex.com
乌兹别克斯坦, Ташкент
М. Абдуразаков
Институт химии и физики полимеров Академии наук Республики Узбекистан
Email: a-atakhanov@yandex.com
乌兹别克斯坦, Ташкент
Н. Ашуров
Институт химии и физики полимеров Академии наук Республики Узбекистан
Email: a-atakhanov@yandex.com
乌兹别克斯坦, Ташкент
С. Рашидова
Институт химии и физики полимеров Академии наук Республики Узбекистан
Email: a-atakhanov@yandex.com
乌兹别克斯坦, Ташкент
А. Берлин
Институт химической физики им. Н.Н. Семёнова Российской академии наук
Email: a-atakhanov@yandex.com
俄罗斯联邦, Москва
参考
- Iijima S. // Nature. 1991. V. 354. Р. 56.
- Alosime E.M. // Nanoscale Res. Lett. 2023. V. 18. № 12.
- Bhat G.S. // J. Nanomater. Mol. Nanotechnol. 2016. V.5. № 1.
- Hagewood J.F. // Int. Fiber J. 2004. V. 19. Р.48.
- Reneker D.H., Chun I. // Nanotechnology. 1996. V. 7. Р. 216.
- Dzenis Y.A. // Science. 2004. V. 304. № 5679. Р.1917.
- Greiner A., Wendorff J.H. // Angew. Chem. Int. Ed. 2007. V. 46. Р.5670.
- Yu Z., Borg O., Chen D., Enger B.C., Frøseth V., Rytter E., Wigum H., Holmen A. // Catal. Lett. 2006. V. 109. Р.43.
- Tiwari A., Dhakate S.R. // Int. J. Biol. Macromol. 2009. V. 44. № 5. Р.408.
- Singha A.S., Rana R.K. // Adv. Mater. Lett. 2010. V. 1. Р. 156.
- Chen L., Pang X., Yu G., Zhang J. // Adv. Mater. Lett. 2010. V. 1. № 1. Р. 75.
- Yoshimoto H., Shina Y.M., Teraia H., Vacanti P. // Biomaterials. 2003. V. 24. Р. 2077.
- Zeng J., Xu X., Chen X., Liang Q., Bian X., Yang L., Jing X. // J. Control. Release. 2003. V. 92. № 3. Р. 227.
- Yu D.G., Zhu L.M., White K., White C.B. // Health. 2009. V. 1. № 2. Р. 67.
- Pornsopone V., Supaphol P., Rangkupan R., Tantayanon S. // J. Polym. Res. 2007. V. 14. Р. 53.
- Kim K., Luu Y.K., Chang C., Fang D., Hsiao B.S., Chu B., Hadjiargyrou M. // J. Control. Release. 2004. V. 98. № 1. Р. 47.
- Huang Z.H., Zhang Y.Z., Kotaki S., Ramakrishna S. // Compos. Sci. Technol. 2003. V. 63. № 15. Р. 2223.
- Филатов И.Ю., Филатов Ю.Н., Якушкин М.С. // Вестн. МИТХТ. 2008. Т. 3. № 5. С. 3.
- Zhang L., Aboagye A., Kelkar A., Lai C., Fong H. // J. Mater. Sci. 2014. V. 49. Р.463.
- Rahaman M.S.A., Ismail A.F., Mustafa A. // Polym. Degrad. Stab. 2007. V. 92. № 8. P. 1421.
- Kholmuminov A.A., Ashurov N.Sh., Yunusov M.Yu., Yugai S.M., Ashurov N.R., Rashidova S.Sh. // Polymer Science А. 2013. V. 55. № 1. P. 39.
- Kim C., Yang S. // Appl. Phys. Lett. 2003. V. 83. № 6. P. 1216.
- Миркин Л.И. Справочник по рентгеноструктурному анализу поликристаллов. М.: Наука, 1961.
- Мартынов М.А., Вылегжанина К.А. Рентгенография полимеров. Л.: Химия, 1972.
- Wendland W.W. Thermal Methods of Analysis. New York: Wiley, 1974.
- Берштейн В.А., Егоров В.М. Дифференциальная сканирующая калориметрия в физикохимии полимеров. Л.: Химия, 1990.
- Ивлев В.И., Фомин Н.Е., Юдин В.А., Окин М.А., Панькин Н.А. // Термический анализ. Саранск: Изд-во Мордовского ун-та, 2017. Ч. 1.
- Практикум по физике и химии полимеров/ Под ред. В. Ф. Куренкова М.: Химия, 1990. С. 253.
补充文件










