Механохимическое твердофазное растворение целлюлозы и синтетических полимеров в N-метилморфолин-N-оксиде и его использование в ходе формования волокон
- Authors: Голова Л.К.1, Бондаренко Г.Н.1, Макаров И.С.1, Зуев К.В.1, Куличихин В.Г.1
-
Affiliations:
- Институт нефтехимического синтеза им. А.В. Топчиева Российской академии наук
- Issue: Vol 66, No 2 (2024)
- Pages: 122-145
- Section: ПОЛИМЕРНЫЕ ВОЛОКНА
- URL: https://bakhtiniada.ru/2308-1120/article/view/266580
- DOI: https://doi.org/10.31857/S2308112024020045
- EDN: https://elibrary.ru/MZDWYW
- ID: 266580
Cite item
Full Text
Abstract
Разработанный академиком Н.С. Ениколоповым метод механохимической твердофазной модификации полимеров в условиях интенсивной деформации позволил решить одну из важнейших проблем переработки целлюлозы, а именно ее растворение. В результате разработан новый процесс твердофазного растворения целлюлозы в N-метилморфолин-N-оксиде, получены высококонцентрированные растворы целлюлозы и ряда синтетических полимеров, а также смесевые растворы на их основе в широком интервале концентраций. Впервые установлено, что высококонцентрированная по целлюлозе фаза (до 45%), образованная в процессе фазового распада в присутствии осадителя переходит в неравновесное мезофазное состояние колончатого типа. Введение в растворы целлюлозы в N-метилморфолин-N-оксиде синтетических полимеров, образующих кристаллосольваты с N-метилморфолин-N-оксидом, но не вступающих во взаимодействие с целлюлозой, превращают процесс формирования колончатой мезофазы в равновесный. Полученные смесевые волокна имеют высокие прочностные и деформационные свойства. Установлены механизмы взаимодействия полимеров различной природы с N-метилморфолин-N-оксидом, а также между целлюлозой и другими полимерами с N-метилморфолин-N-оксидом на различных стадиях получения смесевых композиций от стадии твердофазной активации при деформации сдвига до перехода в текучее состояние и формования волокон и пленок. Проведенные исследования позволили обозначить пути направленного регулирования структуры и свойств целлюлозы и получения композиций на ее основе.
Full Text
ВВЕДЕНИЕ
Разработанное выдающимся ученым Николаем Сергеевичем Ениколоповым новое направление полимерной химии – твердофазная механохимическая активация в сдвиговом поле [1–5] послужило импульсом к развитию работ по возможности его применения к решению задач, трудно осуществимых с использованием классических подходов. Так, среди множества проблем, связанных с переводом в раствор полимеров различной природы, особое место занимает целлюлоза, растворение которой в силу ее структурных особенностей является весьма сложной задачей. Регулярность строения макромолекул целлюлозы, наличие плотной системы Н-связей и относительно высокая жесткость цепи (сегмент Куна оценивается приблизительно в 75 Å) резко ограничивает круг потенциальных растворителей целлюлозы. Целлюлоза разлагается до начала плавления, поэтому растворение является единственным путем получения на ее основе формовочных изделий – волокон и пленок и т. д.
До недавнего времени основным способом растворения целлюлозы был экологически опасный вискозный процесс, сопровождающийся выделением токсичных продуктов – сероуглерода и сероводорода, а также солей тяжелых металлов. Появление в 70-е годы ХХ в. нового, экологически чистого, прямого растворителя целлюлозы – N-метилморфолин-N-оксида (ММО) было подобно взрыву, позволившему в промышленном масштабе разработать экологически чистый ММО-процесс получения нового гидратцеллюлозного волокна Лиоцелл, реальной альтернативы вискозному процессу [6–10]. Новый процесс потребовал таких финансовых затрат на его разработку и капитальных вложений в промышленную реализацию, что и на сегодняшний день стоимость этого волокна явно завышена. Во многом это обусловлено энергозатратами при получении прядильных растворов, включающими расходы электроэнергии на выпарку воды из предварительно полученной пульпы целлюлозы в 50%-ном водном растворе ММО. Такое “обезвоживание” необходимо для растворения целлюлозы, ибо растворителем является только моногидрат ММО, содержащий 13.3% воды, причем при меньшем содержании воды эффективность растворения увеличивается, но пределом является точка плавления бинарного растворителя, которая не должна превышать разумных температур: 76°C для моногидрата и 120–130°C для ММО с 8–10% воды.
В классических работах Н.С. Ениколопова показано, что в момент воздействия деформации сдвига в твердых телах протекают химические реакции со скоростью, на 3–8 порядков выше, чем в жидкой фазе [1, 11]. Основная механохимическая идея твердофазных реакций предусматривает смешение, измельчение, активацию твердой фазы и собственно механохимические превращения. В результате интенсивного механического воздействия происходит измельчение и аморфизация смесевой полимерной системы с образованием in situ межфазных поверхностей, обладающих высокой активностью, необходимой для протекания физико-химических превращений [12]. Предельно достигаемая степень измельчения тем выше, чем больше энергонапряженность измельчающего агрегата и чем ниже прочность и пластичность частиц. Для класса шаровых мельниц она тем выше, чем больше диаметр барабана и масса шаров.
Важно, что идеология твердофазных реакций получила продолжение не только для инициирования ковалентного взаимодействия между компонентами, но и для растворения столь популярной целлюлозы в ММО. Уже в 90-е годы ХХ в. проведено диспергирование и активация смеси порошков целлюлозы и ММО в широком диапазоне концентраций вплоть до 50%-ного содержания полимера при различных временах обработки в различных шаровых мельницах. Контролирование глубины механохимической активации температурой перехода системы при нагревании в гомогенное текучее состояние позволило определить режимы наибольшей эффективности твердофазного взаимодействия целлюлозы с ММО и впервые получить сверхконцентрированные растворы [13–16].
В результате проведенных исследований был установлен механизм твердофазного механохимического растворения целлюлозы в ММО и создана технологическая схема оригинального твердофазного ММО-процесса получения новых волокон, которым присвоен товарный знак Орцел [10]. Твердофазный способ получения прядильных растворов целлюлозы имеет явные преимущества перед традиционным ММО-процессом, в первую очередь за счет меньшего количества стадий и более высокой концентрации получаемого прядильного раствора. Перевод в текучее состояние системы осуществляется нагреванием активированного твердофазного предраствора до температуры плавления растворителя. Здесь представлены принципиальные схемы традиционного-ММО и твердофазного-ММО процессов (см. схему 1).
Схема 1
Высокую эффективность взаимодействия ММО с группами ОН целлюлозы обеспечивает наличие в молекуле ММО семиполярной донорной связи N→О с двумя неподеленными электронными парами на атоме кислорода, способными взаимодействовать с двумя протонсодержащими группами. ММО существует в трех термодинамически равновесных кристаллогидратных формах [17, 18]. На рис. 1 представлена двухкомпонентная диаграмма системы ММО–Н2О с тремя термодинамически равновесными кристаллогидратными формами ММО: 2,5-гидратная форма (II), содержащая 28% воды и имеющая Тпл = 38°C, способна вызывать только набухание целлюлозы, моногидратная ( I) c содержанием воды 13.3% и Тпл. = 76°C (МГ ММО) и безводная с Тпл. ~182°C.
Рис. 1. Фазовая диаграмма системы ММО–Н2О, демонстрирующая стадии растворения (А), необратимого (В) и обратимого (С) набухания целлюлозы в ММО. II – 2,5-гидрат ММО, I – моногидрат ММО [18, 19]. Цветные рисунки можно посмотреть в электронной версии.
Наиболее широко используется моногидратная форма ММО, сочетающая достаточно высокую растворяющую способность со сравнительно низкой температурой плавления. В моногидрате ММО можно получить растворы, содержащие до 15% целлюлозы. Дальнейшее уменьшение содержания воды в ММО приводит к повышению растворяющей способности и сопровождается увеличением температуры плавления вплоть до безводного ММО (Тпл. ангидрида ММО равна 182°C). Однако реализовать высокую реакционную активность безводного ММО не представляется возможным ввиду близости температуры плавления к температуре активной термической деструкции.
Термодинамическая активность ММО как высокополярного донорного растворителя определяется его составом. Для более полной реализации высокой растворяющей способности ММО стерически объемные молекулы растворителя должны иметь возможность проникновения в упорядоченные области целлюлозы. Если в традиционном ММО-процессе эта проблема решается введением дополнительных стадий предварительной обработки целлюлозы водным, разбавленным раствором растворителя и последующей энергоемкой, требующей создания специального оборудования, стадии удаления избытка воды при постоянном контроле состава системы (см. схему 1), то в твердофазном ММО-процессе – одностадийной механохимической активацией.
Высокая эффективность твердофазного взаимодействия ММО с целлюлозой дала импульс к расширению работ в этом направлении. Использование методологии твердофазной механоактивации позволило перевести в растворы в ММО такие гидрофобные синтетические полимеры как жесткоцепные термотропные жидкокристаллические алкилен-ароматические сополиэфиры и промышленные полимеры – ароматические и алифатические полиамиды, сегментированные полиуретаны и различные сополимеры на основе акрилонитрила. Исследованы механизмы взаимодействий исследуемых полимеров с ММО в процессе активации, свойства и структура растворов и полученных волокон [20–23].
В настоящее время для получения новых материалов с планируемыми свойствами широко используются не индивидуальные полимеры, а их смеси. В этой связи весьма перспективным кажется создание смесевых систем на основе целлюлозы и сополимеров ПАН, в частности благодаря тому обстоятельству, что оба полимера являются не только источниками шерстеподобных и хлопкоподобных материалов, что важно в текстильной промышленности, но и прекурсорами углеродных волокон различного ассортимента. Углеродные волокна из ПАН характеризуются высокими значениями углеродного остатка (до 50%) и высокими механическими характеристиками, позволяющими использовать их в качестве армирующих компонентов композиционных материалов. В то же время углеродные волокна из целлюлозы при более низких значениях коксового остатка (порядка 15–20%) и умеренных механических характеристиках благодаря низкой теплопроводности совершенно незаменимы как теплозащитные материалы. Можно полагать, что сочетание в одном прекурсорном волокне целлюлозы и ПАН может иметь синергетический эффект в случае углеродных волокон, т. е. повышение прочности по сравнению с целлюлозным углеродными волокнами и снижение теплопроводности по сравнению с углеродными волокнами из ПАН. При очевидной важности и актуальности проблемы ее решение ввиду отсутствия общего растворителя и энергоемкой стадии перемешивания долгое время не получало развития и стало возможным благодаря разработке методологии твердофазного механохимического сорастворения целлюлозы и ПАН в ММО. Установлены механизмы взаимодействия между сополимерами ПАН различной природы и ММО, а также между целлюлозой и сополимерами ПАН и ММО на различных стадиях получения смесевых композиций: от твердофазной до перехода в текучее состояния и формования.
В этой связи представляется своевременным провести системный обзор-анализ проведенных исследований с целью выявления общих закономерностей физико-химических взаимодействий в процессе твердофазного растворения полимеров при деформации сдвига в ММО, определяющих свойства и структуру текучих растворов и волокон, полученных на их основе, и обозначить пути направленного создания новых полимерных композиций с требуемым комплексом свойств.
ОСОБЕННОСТИ ТВЕРДОФАЗНОГО ВЗАИМОДЕЙСТВИЯ ЦЕЛЛЮЛОЗЫ С ММО ПОД ВОЗДЕЙСТВИЕМ СДВИГОВОГО ДЕФОРМИРОВАНИЯ
Согласно основным положениям механохимии, высокая эффективность твердофазной активации целлюлозы под влиянием ММО может быть обусловлена воздействием на макрокинетические факторы процесса растворения: доступностью любых ее участков к взаимодействию с растворителем, проникающим при столь интенсивном диспергировании в самые малодоступные межфибриллярные пространства, и взаимодействием на молекулярном уровне.
Исследования влияния степени дисперсности целлюлозы на эффективность реакций твердофазного взаимодействия с ММО позволили установить, что размер частиц порошковой целлюлозы не должен превышать 250 мкм, а степень аморфизации – не более 10%. Для установления природы наблюдаемой высокой реакционной способности смесей целлюлозы с ММО, подвергнутых твердофазной активации, был проведен комплекс сравнительных физико-химических исследований исходных реагентов, смесей целлюлозы и ММО, подвергнутых воздействию деформации сдвига и давления и механических смесей того же состава, обработанных отдельно в тех же режимах, а затем гомогенизированных.
Результаты изучения взаимодействия с водой различных смесей, содержащих от 3 до 25% целлюлозы, полученные в адиабатическом калориметре (табл. 1), позволили выявить общую для обеих систем тенденцию увеличения теплового эффекта при взаимодействии исследуемых смесей с водой с уменьшением концентрации целлюлозы в смесях, обусловленную, вероятно, разницей теплот взаимодействия с водой ММО и целлюлозы [24].
Таблица 1. Энтальпия взаимодействия системы целлюлоза–ММО с водой
Однако, несмотря на то, что значения энтальпий взаимодействия с водой механических смесей значительно выше, чем в случае активированных смесей с водой, разность энтальпий практически постоянна и равна 222 Дж/г, практически совпадая с энтальпией растворения целлюлозы в расплаве ММО, равной 224 Дж/г, и при непосредственном контакте твердой целлюлозы с расплавом ММО. Безусловно, полученные значения имеют определенные погрешности, однако они достаточно убедительно свидетельствуют о близкой природе взаимодействий, протекающих между целлюлозой и ММО в твердой фазе и при непосредственном контакте твердой целлюлозы с расплавом ММО, но при более низкой температуре (около 300 К), практически равной плавлению активированной твердой системы. Твердая фаза в механохимических процессах рассматривается как среда, в которой протекают физико-химические процессы. При деформационном перемешивании смеси порошков целлюлоза и ММО происходит образование межфазной границы, где атомы вступают в контакт друг с другом и проникают через межфазную границу с последующем растворением в объеме второго компонента со скоростью, в 3–4 раза превышающей скорость высокотемпературного растворения в жидкой фазе.
Для расшифровки молекулярного механизма взаимодействия молекул ММО с макромолекулами целлюлозы были использованы самые разные подходы. Так, проведенные в совместной работе с Т.И. Борисовой [25] исследования активированной системы целлюлоза–ММО диэлектрическим методом позволили установить, что первой стадией является внедрение молекул ММО между кристаллографическими плоскостями (101) целлюлозы, причем связь N→O8 молекул ММО оказывается относительно первичных гидроксилов целлюлозы С6–ОН, причем на расстоянии меньше 3 Å, доступном для образования водородных связей. В молекулах моногидрата ММО семиполярная N→O связь имеет высокую электронодонорность, что и приводит к разрыву межмолекулярных связей в целлюлозе ОН6–ОНЗ' и образованию связей между OН6O8 и ОНЗ'О8 в системе целлюлоза–ММО. При разрыве межмолекулярных водородных связей увеличивается вероятность взаимодействии молекул ММО с гидроксильными группами, связанными внутримолекулярными водородными связями ОН2'–ОН6 и O5–OН3'. Глубокая степень сольватации меж- и внутримолекулярных водородных связей целлюлозы неизбежно приводит к переводу макромолекул целлюлозы в раствор.
Несмотря на то, что взаимодействие гидроксильных групп целлюлозы с донорным растворителем ММО имеет не химическую, а электроно-донорно-акцепторную природу [5, 6], была предпринята попытка выделения, образующегося Н-комплекса методом сублимации несвязанного ММО под вакуумом и исследования доведенного до постоянного веса образца методами РСА и ИК-спектроскопии. Сравнительный анализ рентгенограмм и участка спектров, выделенного Н-комплекса и отдельных компонентов этой системы, показал отсутствие их аддитивности, что можно рассматривать как прямое подтверждение реакции твердофазного комплексообразования, протекающего в условиях одновременного всестороннего давления, сдвига и вынужденного пластического течения между целлюлозой и ММО, и образования твердых предрастворов.
Особое внимание обращает на себя факт снижения температуры плавления и соответственно растворения смесей, подвергнутых твердофазной активации, по сравнению с температурой плавления используемого ММО, возрастающий с увеличением содержания целлюлозы в смеси. Выявленные зависимости находятся в соответствии с данными работ [18, 26, 27] с той лишь разницей, что в данном случае температурная депрессия выражена более ярко. Так, если в случае моногидрата ММО увеличение содержания целлюлозы от 3 до 15% приводит к снижению температуры плавления раствора на 2–6°C, как показано в работе [2], и на 6–13°C согласно данным, полученным в работе [26], то активированные смеси на основе ММО с Тпл. = 170 и 150°C, содержащие 30% целлюлозы, плавятся с образованием раствора при 130°C, т. е. температурная депрессия составляет 40 и 20°C соответственно.
Выявленный факт депрессии температуры плавления с увеличением содержания целлюлозы обусловлен взаимодействием сокомпонентов системы на молекулярном уровне. Применив для оценки этого взаимодействия соотношение Флори–Хаггинса, в работе [18] был определен параметр взаимодействия Флори–Хаггинса χ, являющийся количественной мерой взаимодействия полимер–растворитель, который, как оказалось, имеет нетрадиционно высокое отрицательное значение, равное –3. Как правило, отрицательные значения χ для различных полимерных систем не превышают или незначительно превышают –1. Дальнейшие исследования по уточнению этого параметра привели к еще большей аномалии значений χ, практически на порядок превышающие определенные ранее отрицательные значения [26, 27]. Полученные аномально низкие значения χ, вероятно, являются следствием того, что использование классической теории Флори–Хаггинса для системы целлюлоза–ММО недостаточно корректно, так как особенности исследуемой системы – высокая полярность как целлюлозы, так и ММО, а также твердофазное комплексообразование, требуют учета дополнительных факторов.
Возможность образования в процессе механофизической активации целлюлозы ММО твердых Н-комплексов (сольватов), с Тпл. на 30–50°C ниже температуры плавления исходного ММО, позволяет использовать наиболее реакционноспособные высокоплавкие гидратные формы ММО и получать растворы, содержащие до 50% целлюлозы. Получение сверхконцентрированных растворов дало возможность вплотную подойти к проблеме, которую и по сегодняшний день нельзя считать решенной, а именно: существует ли ЖК-порядок в растворах целлюлозы в ММО.
ЖИДКОКРИСТАЛЛИЧЕСКОЕ СОСТОЯНИЕ РАСТВОРОВ ЦЕЛЛЮЛОЗЫ В ММО
Элементарной единицей целлюлозы является целлобиозный остаток, состоящий из двух глюкопиранозных циклов. Наличие асимметричного атома углерода придает глюкопиранозному циклу хиральность, т. е. неэквивалентность зеркальному отражению. Это приводит к возникновению оптической активности звена, макромолекулы в целом и в конечном счете предопределяет тип ЖК-структуры целлюлозы в растворах, а также в растворах и расплавах производных целлюлозы. Достаточно подробно особенности формирования ЖК-состояния как в растворах, так и в расплавах производных целлюлозы рассмотрены в работах [28–31]. Как это не выглядит странным, но производные целлюлозы, в частности простые эфиры, например, гидроксипропилцеллюлоза, способны формировать как термотропные, так и лиотропные ЖК-системы, причем даже в воде [29]. По-видимому, это объясняется глобальным разрушением Н-связей, присущих целлюлозе, и увеличением степени анизотропии индивидуальных макромолекул, т. е. их жесткости.
Что же касается собственно целлюлозы, то, несмотря на потенциальную возможность перехода целлюлозы в ЖК-состояние, предсказанного еще в 1960–1970 годах [28], реализация ЖК-порядка в ее растворах остается неустановленной. Основная проблема заключается в сложности получения высококонцентрированных растворов целлюлозы, даже в таком хорошем с термодинамической точки зрения растворителе, как ММО, и их высокой вязкости.
Для целлюлозы значения сегмента Куна в различных растворителях находятся в пределах 70–100 Ǻ, а критическая концентрация V2* ЖК-перехода, согласно теоретическим расчетам по классическому уравнению Флори
V2* = 8/Х(1–2/Х), (1)
где Х – степень асимметрии макромолекул, должна лежать в области 40–50 мас. %.
Первое, и по сей день активно цитируемое, сообщение о ЖК-состоянии растворов целлюлозы в ММО, содержащих до 25% целлюлозы, принадлежит французским исследователям [32, 33]. Однако выявленная авторами оптическая анизотропия и закономерности реологического поведения обусловлены, как показали последующие многочисленные исследования, фазовой неоднородностью высококонцентрированных растворов и эффектом фотоупругости. Более того, концентрации целлюлозы в растворе, равные 20–25 мас. %, явно ниже и не соответствуют представленным выше теоретическим расчетам критической концентрации перехода системы целлюлоза–ММО в ЖК-состояние.
Получение растворов целлюлозы в ММО с концентрацией 50% позволило провести направленные исследования по выявлению возможности реализации в них ЖК-порядка. Так, были изучены реологические свойства, а также структурные и фазовые превращения в растворах ММО, содержащих 25–55% целлюлозы при степени полимеризации 300 и 600 в интервале температур 20–180°C с помощью поляризационной микроскопии, малоуглового рассеяния поляризованного света и рентгеноструктурного анализа [34–39].
Все исследованные растворы оптически анизотропны, однако стабильность анизотропии зависит от содержания целлюлозы в растворе. При нагревании растворов, содержащих до 30% целлюлозы, анизотропия исчезает при 80‒90°C. При многократной обработке этих растворов в режиме нагревание–охлаждение растворы полностью изотропны и не обнаруживают светопропускания в скрещенных поляроидах при любых температурах. Двулучепреломление растворов, содержащих от 30 до 40% целлюлозы, при нагревании также исчезает, но при более высокой температуре (130–140°C), а при охлаждении анизотропия частично восстанавливается. Высоковязкие, каучукоподобные растворы, содержащие более 45% целлюлозы, не теряют оптическую анизотропию при многократном и длительном термостатировании при высоких температурах вплоть до термической деструкции, но это, скорее, обусловлено фотоупругостью высококонцентрированных растворов и неоднородностью фазового состава высококонцентрированных растворов и даже наличием в них областей набухшей целлюлозы. Однако даже при сохранении общей картины двулучепреломления в отдельных участках исследуемого образца наблюдаются ярко выраженные изменения текстуры: уменьшение интенсивности двулучепреломления при охлаждении и увеличение при нагревании.
Проведены рентгеноструктурные исследования полученных растворов. Растворы, содержащие до 40% целлюлозы, являются аморфными. На их дифрактограммах присутствует лишь диффузный максимум в области 2θ = 16°–20°, соответствующий ближнему порядку в системе. Исследования 50%-х растворов целлюлозы в ММО, проведенные в больших и малых углах, позволило выявить новый рефлекс в области 9° при 80°C (рис. 2), свидетельствующий о появлении в системе дальнего порядка со слоевой межцепной периодичностью. При повышении температуры до 125°C интенсивность рефлекса возрастает.
Рис. 2. Дифрактограммы 40 (1) и 50%-ного (2‒4) растворов целлюлозы в ММО в процессе термостатирования в течение 15 (2), 30 (3) и 60 мин (4) при 125°С.
Полученные экспериментальные результаты свидетельствуют о возникновении оптической анизотропии в концентрированных растворах целлюлозы в ММО как в неориентированном состоянии, так и при деформации. Однако это не позволяют сделать однозначные выводы о природе или трансформации двулучепреломляющей текстуры концентрированных растворов целлюлозы в ММО. Сложность в отнесении наблюдаемой оптической анизотропии обусловлена фазовой неоднородностью исследуемых высококонцентрированных растворов целлюлозы и их заметной фотоупругостью.
Суммирование всего комплекса проведенных исследований дает возможность заключить, что анизотропия высококонцентрированных растворов, содержащих до 45% целлюлозы, обусловлена кинетическими факторами, а именно медленной релаксацией вынужденной ориентации, формирующейся в процессе получения высококонцентрированного, высоковязкого раствора. Оптическая анизотропия растворов, содержащих 50% целлюлозы, обусловлена, как показали РСА-исследования, наличием слоевой периодичности дальнего порядка, однако термодинамически равновесным состоянием система в целом не является, так как достичь полной фазовой однородности из-за высокой вязкости и упругости раствора не удалось. Вполне закономерно предположить, что при концентрациях целлюлозы в растворах ММО выше 45% система приближается к пределу растворимости целлюлозы в ММО.
ЭВОЛЮЦИЯ СТРУКТУРЫ ЦЕЛЛЮЛОЗЫ ПО СТАДИЯМ ПРОЦЕССА ФОРМОВАНИЯ ОТ РАСТВОРА ДО ПОЛУЧЕНИЯ ЦЕЛЛЮЛОЗНОГО И СМЕСЕВОГО ОРИЕНТИРОВАННОГО ВОЛОКНА
При формовании растворов целлюлозы в ММО сухо-мокрым методом жидкая ориентированная струя раствора поступает в водную осадительную ванну, где в результате массообменных процессов в течение определенного промежутка времени происходит фазовый распад раствора, что дает возможность проследить эволюцию структуры целлюлозы на разных стадиях процесса.
Кривые распределения интенсивности на меридиональной и экваториальной дифрактограммах полученного гель-волокна практически совпадают, рентгенограммы имеют диффузный характер (рис. 3).
Рис. 3. Экваториальная (1), меридиональная (2) дифрактограммы (а) и фоторентгенограмма (б) экструдата целлюлозы.
Формование волокон целлюлозы в условиях деформации одноосного растяжения приводит к кардинальным изменениям структуры целлюлозы. Свежесформованное гель-волокно с не полностью удаленным растворителем и соответственно более высокой концентрацией целлюлозы по сравнению с исходной содержит неравновесную метастабильную модификацию целлюлозы. На фоторентгенограмме этого образца (рис. 4) наблюдаются ярко выраженные экваториальные рефлексы.
Рис. 4. Фоторентгенограмма целлюлозного волокна, частично отмытого от ММО
Наличие лишь одного сильного рефлекса на экваторе рентгенограммы и соответственно резкое падение интенсивности с увеличением дифракционного угла 2θ обычно связано с возрастанием беспорядка за счет конформационных нарушений вдоль цепи. Подобный характер рентгенограмм, как правило, типичен для мезофазных структур типа 2D колончатой мезофазы [40], т. е. молекулы ММО препятствуют образованию как внутримолекулярных (нет порядка вдоль цепи молекул целлюлозы), так и межмолекулярных Н-связей. Схематически образовавшийся 2D-порядок в расположении центров тяжести ассоциатов целлюлоза–ММО, представлен на рис. 5.
Рис. 5. Схематическое изображение 2D-порядка целлюлозы в растворах ММО при неполном удалении растворителя
При полном фазовом распаде вплоть до формирования целлюлозного волокна картина дифракционного рассеивания претерпевает более существенные изменения.
Согласно данным РСА, фоторентгенограмма (рис. 6а) и дифрактограммы (рис. 6б, 6в) волокна целлюлозы соответствуют литературным данным для кристаллической целлюлозы II, но с несколько увеличенным параметром идентичности вдоль оси волокна: а = 8.14 Å, b = 10.34 Å, с = 9.14 Å, = 62°. На экваторе (рис. 6, кривая 1) наблюдается четыре рефлекса с очень большой полушириной (1.8°‒2.0°). Индексы рефлексов приведены на рисунке, близэкваториальные рефлексы не зафиксированы (рис. 6, кривые 2, 3).
Рис. 6. Фоторентгенограмма (а), экваториальные (б) и меридиональные (в) дифрактограммы ориентированного целлюлозного волокна
На меридиане (рис. 6в) наблюдается четыре порядка отражения меридионального рефлекса (1м, 2м, 3м, 4м), соответствующего периодичности 10.34 Å. Обращает на себя внимание ряд характерных черт картин рассеяния упорядоченной целлюлозы. Так, полуширина чисто меридиональных рефлексов существенно меньше, чем экваториальных. Это означает, что продольные размеры кристаллитов много больше поперечных (отношение l : d ∼ 10 : 1). Иными словами, при формовании волокна из растворов целлюлозы в ММО возникает кристаллическая фаза, в которой кристаллиты большой протяженности вытянуты в продольном направлении. Это, с одной стороны, приводит к высокой упорядоченности и плотности сформированных структур, а с другой ‒ уменьшает вероятность образования поперечных водородных связей с соседними кристаллическими кластерами, что увеличивает склонность системы к фибриллизации.
Сопоставление экваториальных дифрактограмм, полученных для кристаллического волокна (рис. 6) и гель-волокна (рис. 5) целлюлозы, позволяет предположить, что упаковки макромолекул в плоскости 2D-мезофазы и плоскости ас кристалла близки по типу. В пользу данного вывода свидетельствует близость угловых положений экваториальных рефлексов кристалла и мезофазы. Совокупность результатов исследований, проведенных в различных фазовых состояниях системы, позволяет заключить, что растворы целлюлозы в ММО при содержании полимера 45% переходят в мезофазное состояние колончатого типа, хотя идентифицировать тип лиотропной ЖК-фазы затрудняет неоднородность фазового состава высококонцентрированных растворов.
Несмотря на высокую востребованность различных целлюлозных формовочных изделий (волокон, пленок, нетканых материалов и т. д.) перед исследователями стоит достаточно важная проблема расширения областей применения целлюлозных материалов путем создания композиционных материалов с требуемыми деформационно-прочностными, функциональными и эксплуатационными свойствами.
РАСТВОРЫ СМЕСЕЙ ЦЕЛЛЮЛОЗЫ С СИНТЕТИЧЕСКИМИ ПОЛИМЕРАМИ В ММО
Высокополярный, донорный ММО является термодинамически хорошим растворителем не только по отношению к гидрофильной целлюлозе, но способен переводить в раствор (по способу твердофазного механохимического растворения) и синтетические полярные, гидрофобные полимеры, такие как линейные термотропные алкиленароматические полиэфиры с мезогенными триадами на основе фумаровой и оксибензойной кислот с гекса- (ГП-6) и декаметиленовыми (ГП-10) развязками и сополиэфиры с различным содержанием элементарных звеньев исходных гомополимеров, а также сополиэфиры с мезогенными триадами из терефталевой и гидроксибензойной кислот и оксипропиленовыми и декаметиленовыми, поли-м-фениленизофталамида (ПМФИА), полиуретаны и различные сополимеров ПАН [41–45]. Исследование процесса твердофазного растворения сополиэфиров и ПМФИА в ММО позволило выявить общие закономерности, присущие полимерам, а именно, растворение их в ММО сопровождается образованием кристаллосольватов, выделяющихся при охлаждении в отдельную кристаллосольватную фазу. Сравнительный анализ рентгенограмм свидетельствует о полном отсутствии идентичности рефлексов кристаллических решеток исходных полимеров, растворителя и образовавшегося в ММО кристаллосольвата [43]. Переведенные в раствор макромолекулы сополиэфира образуют с молекулами МГ ММО новые межмолекулярные образования – сольватные аддукты, которые при последующем охлаждении раствора образуют кристаллосольватную фазу.
Если при растворении сополиэфиров в ММО образуется один вид кристаллосольватов, то при растворении ПМФИА в зависимости от кристаллогидратной формы ММО возможно формирование двух кристаллосольватов. Следует особо отметить, что связь между полимером и растворителем в кристаллосольвате достаточно прочная и сохраняется при введении в систему воды в количестве более 80%, т. е. концентрации, при которой ММО находится в жидком состоянии.
По данным РСА, все исследуемые смесевые растворы с сополиэфирами, ПМФИА или ПАН аморфны, однако характер структурных превращений в них в процессе выделения полимерной фазы принципиально отличается. В силу того, что картина эволюции структуры наиболее ярко проявляется в системе целлюлоза–ПМФИА, рассмотрим поэтапное формирование структуры целлюлозных композитов на примере именно этой системы.
После удаления растворителя целлюлозные композиты, содержащие 5% ПМФИА, как видно из представленной дифрактограммы (рис. 7), даже при полном отсутствии вытяжки не являются аморфными и демонстрируют существенное увеличение интенсивности рассеяния в области углов 2θ = 12° в экваториальном направлении при отсутствии перераспределения между экваториальным и меридиональным рассеянием в области 2θ > 15° (рис. 7).
Рис. 7. Экваториальная (1) и меридиональная (2) дифрактограммы смесевых экструдатов, состоящих из 95% целлюлозы и 5% ПМФИА
Наличие двух пиков на дифрактограмме свидетельствует о реализации в системе упаковки с двумя средними межмолекулярными расстояниями. Эти расстояния существенно различаются. Вполне вероятно, что наиболее близко расположенные молекулы легче формируют систему внутри- и межмолекулярных водородных связей, необходимую для формирования упорядоченных “доменов”, способных к ориентации. В результате при малой кратности вытяжки (λ = 6) формируется слоевая 1D-упаковка (рис. 8а).
Рис. 8. Фоторентгенограммы смесевых волоконных образцов, состоящих из 95% целлюлозы и 5% ПМФИА, при степени вытяжки λ = 6 (а), 13 (б) и 16 (в).
Формование композитных волокон в условиях ориентационной вытяжки приводит к дальнейшей трансформации картины рассеяния. Как видно на рис. 8б, перераспределение интенсивности затрагивает уже всю область рассеяния. На экваторе наблюдаются два рефлекса, как и в случае чисто целлюлозного мезоморфного гель-волокна (рис. 4). Улучшение упаковки (центров тяжести ассоциатов целлюлоза–ММО–ПМФИА) целлюлозных макромолекул в базисной плоскости (на межмолекулярном уровне) приводит к переходу от слоевой 1D упаковки к 2D-колончатой мезофазе. При этом положение экваториальных рефлексов на фоторентгенограммах ориентированного смесевого образца полностью соответствует положению экваториальных рефлексов мезоморфного целлюлозного гель-волокна и совпадает с положением основного базального рефлекса 101 кристалла целлюлозы.
Увеличение кратности вытяжки композитного образца до λ = 16 приводит к дальнейшему совершенствованию его структуры. На текстуррентгенограмме такого образца (рис. 8в) появляется меридиональный рефлекс при 2θ = 35°. Особенности рассеяния в области экватора, отнесенные ранее к упорядоченности в базисной плоскости, сохраняются. В то же время рефлексов в квадрантах фоторентгенограммы не наблюдается. Сравнение ориентированных волокон целлюлозы и композита одинаковой степени вытяжки достаточно убедительно это подтверждает. Действительно, сканирование композитных волокон не выявляет близмеридиональных и других рефлексов в квадрантах (рис. 9). Именно отсутствие квадрантных рефлексов является отличительной особенностью композитного волокна. В то же время угловые положения и полуширина экваториальных и меридиональных рефлексов для целлюлозного и композитного волокна при малом содержании полимерной добавки (4%) практически одинаковы.
Рис. 9. Дифрактограммы композиционного целлюлозного волокна, содержащего 5% ПМФИА, полученные при сканировании вдоль меридиана (1) и под углами к меридиану в 10° (2) и 20° (3).
Отмеченные особенности картины рассеяния композитного волокна, полученного при λ = 16, свидетельствуют о реализации в системе двух независимых уровней порядка: 2D-порядка в базисной плоскости (на межмолекулярном уровне) и 1D-порядка вдоль оси волокна (на молекулярном уровне), т. е. в целом некристаллического 3D-порядка. В данном случае мезоморфное состояние реализуется при полном распаде системы на фазы и является равновесным.
Таким образом, впервые удалось установить, что твердофазные смесевые сольваты ПМФИА и целлюлозы с ММО при последующем нагреве переходят в текучее двухфазное состояние, при этом дисперсная фаза полученных эмульсий образована преимущественно макромолекулами ПМФИА, сольватированными молекулами растворителя. Высокое сродство сольватной оболочки лабильных макромолекул гибкоцепного ПМФИА к гидроксильным группам целлюлозы позволяет его макромолекулам встраиваться в межцепные пространства целлюлозы, создавая определенные стерические препятствия формированию внутрицепного упорядочения, приостанавливая его на стадии формирования 2D-мезофазы и тем самым исключая дальнейшее формирование кристаллической фазы целлюлозы.
ИК-исследованиями растворов ПМФИА формулы (см. схема 2)
Схема 2
в ММО, было показано, что амидные группы ПМФИА склонны к межмолекулярной ассоциации, в которой участвуют и протоны при атоме азота и атомы кислорода карбонильной группы. В присутствии ММО, содержащего воду, межмолекулярные связи рвутся и образуются новые водородные связи, в которых участвуют в основном протоны при азоте, при этом цепь ПМФИА меняет свою конформацию. Можно заключить, что ПМФИА склонен к ассоциации с комплексом ММО–вода, а целлюлоза, связанная водородными связями с несколькими молекулами воды, только через них может связываться с ММО. Это еще раз подтверждает достоверность рассмотренного выше механизма, согласно которому движущей силой процесса регулирования структуры целлюлозы в растворах ММО является высокое сродство вводимых полимерных добавок к ММО.
Структурные особенности целлюлозных композиционных волокон предопределяют комплекс их механических свойств во всем диапазоне составов.
Как видно на рис. 10, максимальные значения разрывного удлинения ε, прочности σ и модуля Ε наблюдаются для композиции, содержащей до 5% ПМФИА, т. е. в области существования системы в мезофазном состоянии. Причем, если прочность и модуль возрастают на 10–30%, разрывное удлинение увеличивается фактически в 3 раза и достигает 150%.
Рис. 10. Зависимости прочности (1), модуля упругости (2) и разрывного удлинения (3) волокон от состава смеси целлюлоза–ПМФИА.
Столь необычный для полимеров эффект увеличения деформационных свойств композиций обусловлен, вероятно, характером структурообразования системы. В области средних составов, где степень упорядоченности фибриллярной морфологии целлюлозной матрицы уменьшается, происходит резкое понижение разрывного удлинения. Дальнейшее повышение ε имеет место только при СПМФИА ≥ 60%. При больших содержаниях ПМФИА в композиции характер изменения механических характеристик имеет типичный характер, т. е. значения прочности и модуля возрастают, а удлинение уменьшается [43].
Направленное регулирование структуры целлюлозы является чрезвычайно важной проблемой, особенно в аспекте создания на ее основе углеродных волокон и нахождения связи между структурой и свойствами прекурсоров и соответствующими характеристиками получаемых черных волокон. Накопленный опыт дает возможность предположить, что структурные превращения должны быть направлены на создание высокой структурной однородности вдоль цепей с менее резкими границами фазово-структурных переходов, т. е. домены кристаллической фазы должны иметь меньшую протяженность, а короткие аморфные области более упорядочены. В этой связи особый интерес представляет изучение возможности направленного формирования структуры целлюлозы введением в целлюлозные растворы сополимеров ПАН. И это направление исследований – растворение сополимеров ПАН в ММО и сорастворение с целлюлозой в ММО, как оказалось, возможно было осуществить только по способу твердофазного низкотемпературного растворения при деформации сдвига.
Сополимеры ПАН, в состав которых входят акрилонитрил (АН), метилакрилат (МА) и кислотный сомономер, являются наиболее распространенными прекурсорами углеродных волокон. Методом ИК-спектроскопии исследованы взаимодействия сополимера ПАН–акриловая кислота (АК) с кислотным фрагментом в виде АК состава 97% АН, 2% МА и 1% АК, синтезированного в среде сверхкритического CO2 [46], с ММО в процессе механоактивации. Как следует из рис. 11, спектр активированной смеси (ПАН–АК)–ММО не является суперпозицией спектров исходных компонентов ПАН–АК и ММО.
В спектре активированной смеси вместо одной полосы 1732 см–1, как это наблюдается спектре ПАН–АК (рис. 11, спектр 1), появляются две полосы в этой области: 1743 и 1684 см–1. Наиболее вероятным объяснением расщепления полосы валентных колебаний С=О в карбоксилатной группе сополимера под влиянием ММО может служить образование двух типов водородных комплексов между этой группой полимера и полярной связью N→O в ММО [47–49]. (см. схему 3).
Рис. 11. ИК-спектр образцов: ПАН–АК (1), активированной смеси (ПАН–АК)–МГ ММО (2) и МГ MMO (3).
Схема 3
Первый вид комплекса можно объяснить образованием водородных связей между отрицательным атомом кислорода N→O молекулы МГ ММО и протоном карбоксилатной группы сополимера, что приводит к сдвигу электронной плотности от связи С=О, сопровождаемому смещением полосы 1732 см–1 в ИК-спектре в длинноволновую область до 1684 см–1. При этом кислородный атом карбонильной группы может взаимодействовать с протоном при третичном углеродном атоме основной цепи ПАН–АК.
Другой тип комплексообразования может осуществляться за счет координации сильно полярной связи N→O МГ ММО с умеренно полярной связью С=О карбоксилатной группы полимера. Протон от ОН-группы при этом может координироваться с нитрильной группой соседнего звена. Такой тип координации приведет к обогащению электронами связи С=О за счет сильно электроотрицательного атома кислорода ММО и сдвигу полосы С=О в область коротких волн до 1743 см–1. Координация карбоксилатной группы макромолекулы ПАН–АК с молекулой ММО с образованием как комплекса а, так и комплекса б неизбежно приведет к перераспределению электронной плотности в ней и, как следствие, к дополнительной координации с функциональными группами соседнего звена полимера (с нитрильной группой или протоном при третичном атоме основной цепи). Такая координация будет приводить к конформационным перестройкам в этом участку цепи, а также и к перераспределению электронной плотности в нитрильных группах. Заметного сдвига полосы 2244 см–1 от нитрильной группы в спектре активированной твердофазной смеси (ПАН–АК)–ММО не происходит, однако относительная интенсивность этой полосы значительно падает по сравнению с интенсивностью этой же полосы в спектре сополимера ПАН–АК. Падение интенсивности полосы в спектрах активированной смеси может быть обусловлено изменением поляризации связей отдельных СN-групп в составе сополимера.
Полученные результаты позволяют заключить, что в процессе твердофазной механоактивации протекает реакция взаимодействия между карбоксилатными связями акриловой кислоты в составе макромолекулы сополимера и электронодонорной связью N→O молекулы растворителя с образованием твердых предрастворов ПАН–АК в ММО. При температуре выше 120°C наряду с процессом собственно растворения в системе протекают процессы циклизации нитрильных групп ПАН и формирования системы сопряженных связей.
СМЕСЕВЫЕ РАСТВОРЫ ЦЕЛЛЮЛОЗЫ И ПАН–АК В ММО
Основываясь на кинетических особенностях твердофазного растворения целлюлозы и различных сополимеров ПАН в ММО, а именно на том факте, что скорость растворения сополимеров ПАН существенно превышает скорость растворения целлюлозы в ММО, разработан метод твердофазного сорастворения целлюлозы и ПАН в ММО и получены смесевые растворы [50, 51]. Во всем интервале соотношения сокомпонентов термодинамически не совместимые растворы двухфазны и представляют собой эмульсии. Большая разница в вязкости и упругости фаз, достигающая нескольких порядков, приводит к формированию в эмульсиях множества морфологических форм.
Особенности взаимодействий между целлюлозой, ПАН–АК и ММО в сформованных волокнах в зависимости от количества, вводимого ПАН–АК, исследована с помощью ИК-спектроскопии.
Как видно из приведенных спектров, (рис. 12а, 12б), в зависимости от количества введенного ПАН–АК в характерных полосах поглощения целлюлозы происходят значительные изменения, особенно в области 1200–1450 см–1, чувствительной к кристаллической фазе целлюлозы. Полосы, ответственные за аморфную фазу (1152 и 900 см–1), тоже меняются по интенсивности в зависимости от содержания ПАН–АК в волокне. Группы –ОН и С–О целлюлозы обычно сильно ассоциированы между собой и в определенной степени предопределяют внутри- и межцепное структурирование, формируя участки кристаллитов и аморфных областей в полимере.
Рис. 12. ИК-спектры целлюлозных волокон целлюлоза–(ПАН–АК) состава 100 : 0 (1), 98 : 2 (2), 96 : 4 (3) и 95 : 5 (4); а – обзорный спектр, б ‒ участок спектра в области поглощения связей С–ОН.
При малых добавках ПАН–АК (0.5 и 2%) полосы 3300–3400 см–1 (–ОН) и 1025 см–1 (С–О) незначительно снижаются по интенсивности, а полоса 3300‒3400 см–1 смещается в область длинных волн, что указывает на более высокую степень ассоциации –ОН-групп, возможно, и с нитрильными группами ПАН‒АК. С увеличением содержания ПАН‒АК до 3 и 5% обе полосы резко падают по интенсивности. Полоса в области 3350 см–1 уходит в коротковолновую область и появляется новая полоса 3433 см–1 от слабо ассоциированных –ОН-групп. Такое поведение полос от групп –ОН и С–О может происходить только в случае перераспределения водородных связей в целлюлозе и должно сказаться на степени упорядочения макромолекул. Действительно, в области спектра 1200‒1450 см–1 существенно возрастает интенсивность полос, ответственных за кристалличность. Индексы О’Коннора [52, 53], полученные от анализа интенсивностей этих полос, свидетельствуют о том, что введение в целлюлозу до 2% сополимера ПАН–АК приводит к изменению степени и типа ассоциации между – ОН-группами целлюлозы, что сопровождается повышением числа (скорее всего они становятся короче) как кристаллических, так и аморфных участков в цепях целлюлозы. При содержании ПАН–АК 3% происходит ассоциация нитрильных групп ПАН с ОН-группами целлюлозы, что создает новую геометрию нитрильных групп, которая способствует дальнейшей циклизации по цепи ПАН–АК. Такая циклизация особенно ярко проявляется в спектрах целлюлозы при содержании ПАН 5%, при этом степень кристалличности целлюлозы существенно падает, а число аморфных участков растет.
Из 18%-х смесевых растворов с содержанием ПАН от 0.5 до 5% в стабильных условиях формования при 120°C были получены волокна. Результаты структурных исследований полученных волокон представлены на рис. 13.
Рис. 13. Экваториальные дифрактограммы целлюлозного (1), смесевого c 5% ПАН (2) и ПАН (3) волокон.
Как видно из приведенных дифрактограмм, целлюлозные волокна имеют структуру, характерную для целлюлозы II: основные рефлексы находятся в области 2θ = 12° и 20° [45]. На дифрактограмме волокна ПАН присутствует экваториальный пик, который расположен в области 2θ = 16.5° соответствующий межплоскостному расстоянию d = 5,37 Å (110) и широкое аморфное гало с центром в области 2θ = 26°. Структура композиционного волокна, содержащего 5% ПАН, отличается от структуры как целлюлозы, так и ПАН. Дифрактограмма характеризуется перераспределением интенсивностей характеристических пиков целлюлозы в области 2θ = 12° и 20° и отсутствием характеристического рефлекса ПАН при 2θ = 16.5°. Аморфное гало смещается в сторону больших углов и проявляется в виде слабого правого плеча у основания характеристического пика целлюлозы в области 2θ = 20°.
Механические свойства целлюлозных, композиционных волокон представлены в табл. 2. Изменение механических характеристик композиционных волокон по сравнению с целлюлозными, по всей видимости, связано с рассмотренными выше структурными изменениями целлюлозной матрицы под влиянием вводимых в систему добавок сополимера ПАН. Так, из табл. 2 следует, что введение в целлюлозную матрицу не более 3% ПАН–АК, приводит к небольшому уменьшению значений прочности и модуля упругости смесевых волокон, при этом более чем в 4 раза возрастают деформационные свойства. При увеличении содержания ПАН–АК до 5% в системе начинают преобладать взаимодействия между макромолекулами полимеров, приводящие к более интенсивной аморфизации целлюлозы, циклизации нитрогрупп ПАН и соответственно еще большему падению прочности волокна и росту деформационных свойств.
Таблица 2. Механические свойства целлюлозных, ПАН–АК и композиционных волокон
Нельзя не учитывать и влияния на механические свойства смесевого волокна принципиального отличия процессов ориентации целлюлозы и ПАН, протекающих в процессе формования. При формовании целлюлозы из растворов в ММО процесс ориентации макромолекул протекает одностадийно в воздушном зазоре при прохождении нити от донышка фильеры до зеркала осадительной ванны, в то время как волокна ПАН ориентируются в процессе многостадийных вытяжек. Другими словами, при формовании смесевых растворов “не хватает” многостадийных вытяжек для достижения ориентации ПАН в каплях дисперсной фазы, а при отсутствии таковой неориентированные цепи сополимера могут играть роль дефектов, ухудшающих прочность, но существенно улучшающих деформативность смесевых волокон.
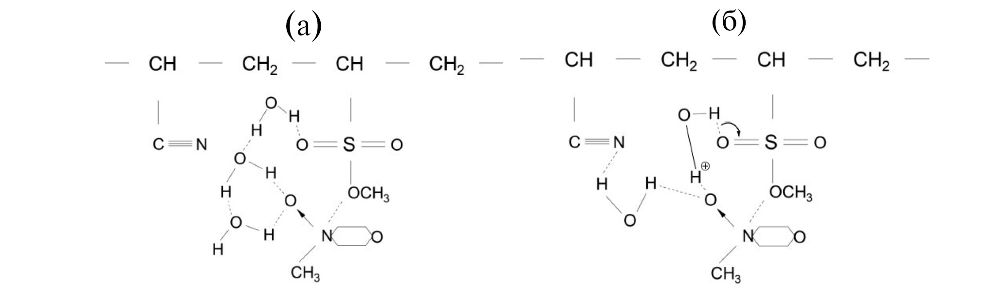
В качестве следующего объекта исследований был использован ПАН–метилсульфонат (МС), в котором присутствуют не карбоксильные, а более полярные ионные сульфонатные группы, способные образовывать высокоэнергетические связи с ММО и через эти связи с растворителем регулировать структуру целлюлозы. Более того, твердофазная активации смесей в отличие от условий активации системы (ПАН–АК)–ММО проводилась при больших механических напряжениях и сдвиговых деформациях, реализуемых в двухшнековом экструдере. Возможность проведения органического синтеза в экструдерах впервые была показана в работах [54, 55].
ИК-исследованиями системы (ПАН–МС)–МГ ММО установлено, что при активации смесей взаимодействие между сульфогруппами полимера и связью NO МГ ММО, в отличие от механических смесей ослабляется, меняются геометрические параметры сульфогрупп, МГ ММО, частично теряя воду, трансформируется в более высокоплавкую кристаллогидратную форму, а нитрильная группа значительно поляризуется за счет ассоциации через молекулу воды со связью N→O. Ниже представлено схематическое изображение, иллюстрирующее взаимодействия в системе (ПАН–МС)–МГ ММО в механических и активированных смесях [56‒58] (см. схему 4).
Схема 4
Перераспределение водородных связей в активированной системе (ПАН–МС)–МГ ММО с потерей кристаллизационной воды молекулами МГ ММО неизбежно должно привести к возрастанию температуры плавления ММО и растворения ПАН–МС в МГ ММО соответственно.
Сравнение спектров ПАН‒МС и высокоплавкого ММО со спектрами активированной смеси и раствора, представлено на рис. 14.
Рис. 14. ИК спектры ММО (1), ПАН–МС (2), активированных твердых смесей (ПАН–МС)–ММО (3) и раствора ПАН–МС в ММО (4).
В спектре активированной смеси (ПАН–МС)– ММО заметны все спектральные признаки проявления миграции воды, т. е. кристаллизационная вода молекул ММО в образующемся комплексе смещена к кислороду связи S=O. Полосы нитрильных групп становятся очень интенсивными, а полосы сульфогрупп еще более сдвинуты по сравнению со спектром аналогичной смеси с моногидратом, т. е. нековалентное связывание ММО с полимером через молекулы воды в этом случае проявляется еще сильнее. Полоса от нитрильных групп еще сильнее уменьшается по интенсивности и на 5 см–1 смещается в сторону длинных волн. Более того, кроме сдвигов полос, указывающих на взаимодействие полимера с растворителем, в спектре раствора проявляется новая полоса 1596 см–1, характеризующая возникновение сопряжения в макромолекулах ПАН.
Процессы механохимической обработки твердых полимеров проходят в неравновесных условиях и задаются энергетикой используемого оборудования. Зависимости степени взаимодействия между реагентами системы от режимов экструзии при различных скоростях экструдирования и протяженности активирующих в двухчервячном экструдере зон были проанализированы методом ИК-спектроскопии. В качестве испытуемой системы использовали смесь, содержащую по 8% целлюлозы и ПАН–МС и 84% ММО [59]. Для сравнения были исследованы механические смеси целлюлоза–(ПАН–МС)–ММО того же фазового состава, полученные простым механическим смешением твердых реагентов без воздействия на них сдвигового деформирования. Все спектры смесей были приведены к одинаковой базовой линии и отнормированы по полосе скелетных колебаний ММО 1009 см–1 для того, чтобы оценить влияние скорости экструзии на изменения в спектрах. На рис. 15 представлены спектры исходной и активированной при разных скоростях экструзии смеси в сравнении со спектром ММО. Как видно, эти спектры не являются суперпозицией спектров исходных систем. Для большей визуализации и более полного анализа состояние системы в зависимости от степени деформационного воздействия проведена детализация полученного спектра (рис. 16).
Рис. 15. Сравнение ИК-спектров исходной и активированной смеси ПАН–целлюлоза (состава 8/8%, ММО – 74%) при интенсивности активации 0 (1), 60 (2), 80 (3), 100 об./мин (4) и ММО (5).
Рис. 16. Детализация спектра рис. 15. Пояснения в тексте.
В спектрах, активированных при разных скоростях экструзии образцов наблюдается рост интенсивности полос валентных колебаний ‒ОН целлюлозы при 3368 и 3306 см–1 (рис. 16а) и полос либрационных колебаний воды при ММО, связанной с ПАН–МС и целлюлозой, при 779 и 665 см-1 (рис. 16в) с повышением от скорости перемешивания. Интенсивность полосы от нитрильной группы ПАН–МС в спектрах активированных смесей сильно (более чем в 4 раза) падает по сравнению со спектром исходной смеси (рис. 16б) и при этом растет интенсивность полос 2197 и 2299 см–1, которые можно отнести к нитрильным группам разной степени поляризации. Полоса 1730 см–1 от валентных колебаний связи С=О (акрилатные звенья в составе ПАН) практически исчезает в спектре активированной смеси, но неожиданно появляются и растут по интенсивности с увеличением скорости экструзии полосы от амидных групп при 1677 см–1 и имидных и (или) ангидридных при 1762 и 1790 см–1.
Следовательно, при увеличении деформации сдвига в твердофазной системе целлюлоза‒(ПАН–МС)–ММО наряду со специфическими взаимодействиями между твердофазными реагентами и ММО протекают также глубокие химические превращения нитрильных групп в ПАН–МС. Как правило, гидролиз нитрильных групп протекает в жидких фазах только при повышенных температурах, что полностью соответствует кинетическим особенностям твердофазных реакций, согласно которым в твердой фазе в условиях деформации сдвига константа скорости реакций на несколько порядков больше, чем в жидкой фазе [2]. Выявленные зависимости свидетельствуют о том, что с увеличением степени деформационного воздействия возрастают поляризуемость и соответственно реакционная активность функциональных групп сокомпонентов системы, т. е. существует корреляция между величиной механического нагружения и физическо-химическим откликом.
Эволюция взаимодействий, возникающих между полимерами и растворителем при получении растворов и формовании была рассмотрена и на композиционных волокнах состава 60% ПАН–40% целлюлозы, сформованных в различных режимах при 120оС, с помощью ИК-метода [59, 60].
На рис. 17 представлены ИК-спектры двух образцов: образец, полученный сразу после получения эмульсии (1) и образец, сформованный после термостатирования эмульсии в течение 30 мин (2), зарегистрированные при комнатной температуре. Спектры смесевых волокон сохраняют все характеристические полосы полимеров, однако спектры смесевых волокон, имеющие одинаковый состав, но различную предысторию, существенно различаются между собой. В спектре образца волокна 2, полученного после термостатирования в течение 30 мин при 120°C (на рис. 17а, спектр 2) происходит ощутимое снижение интенсивности и небольшое смещение максимума полосы валентных колебаний ОН-связей целлюлозы при 3378 см–1 в область длинных волн.
Рис. 17. Сравнение ИК-спектров смесевых волокон 60% ПАН–МС–40% целлюлозы, сформованных при 120°С из 18%-ных растворов сразу после перехода в вязкотекучее состояние (1), после термостатирования в течение 30 мин при 120°С и ПАН–МС (3) в области валентных колебаний ОН, СН и ‒C≡N-групп (а) и в области валентных колебаний С=О и С–О (б).
Данный эффект является признаком, подтверждающим участие гидроксильных групп целлюлозы в образовании новых водородных связей, помимо тех, что уже присутствуют в самой целлюлозе. Интенсивная широкая полоса, принадлежащая связи С–О–С целлюлозы при 1038 см–1 (рис. 17б) в спектре образца смесевого волокна 1, расщеплена по сравнению со спектром самой целлюлозы, а в спектре волокна 2 данная полоса становится менее интенсивной и с другой степенью расщепления, что также подтверждает значительную степень ассоциации ОН-групп с функциональными группами ПАН–МС. Достаточным доказательством формирования новых водородных связей целлюлозы конкретно с эфирными группами ПАН–МС является факт изменения относительной интенсивности полосы валентных колебаний связей С=О при 1732 см–1 в составе метилакрилатной группы ПАН–МС. Так, в образце 1 интенсивность полосы при 1732 см–1 падает (рис. 17), а в образце 2 она практически исчезает и проявляется только в виде очень небольшого плеча на вновь появившейся полосе при 1683 см–1.
Наиболее реакционноспособные метилсульфонатные группы сополимера ПАН–МС, которые поглощают ИК-излучение в области 800‒1100 см–1, в смесевых образцах, к сожалению, не обнаруживаются, так как они полностью перекрываются интенсивными полосами валентных колебаний ОН-групп целлюлозы, вследствие чего их вклад в систему реализующихся водородных связей пока не обсуждается.
Между тем, наряду с новой полосой 1683 см–1 в спектре волокон 2 появляется еще одна полоса 1575 см–1, они достаточно хорошо соотносятся с полосами Амид I и Амид II в первичных амидах [59]. Данные изменения вследствие перехода от спектра образца 1 к спектру образца 2 могут быть объяснены протеканием во время термостатирования эмульсии, одновременно с формированием новых водородных связей, и реакции гидролиза ограниченного числа нитрильных групп в ПАН–МС с образованием амидных групп:
Количество образующихся амидных звеньев можно оценить по сравнению интенсивностей полос Амид I (1683 см–1) и полосы 1732 см–1 от связей С=О в метилакрилатных звеньях в составе ПАН–МС. Известно, что интенсивность полосы 1680 см–1 в спектре акриламида в 2.3 раза выше интенсивности полосы в 1735 см–1 в спектре метилакрилата, так что при равных интенсивностях этих полос в спектре сополимера молярное содержание амидных звеньев будет в 2.3 раза меньше, чем звеньев метилакрилата. В спектре смесевых волокон (рис. 17б) интенсивность полосы 1680 см–1 (от амидных звеньев) в 1.8 раза выше, чем интенсивность полосы 1735 см–1 (от метилакрилатных звеньев). Поскольку в ПАН–МС содержание метилакрилатных звеньев не превышает 6%, простые вычисления показывают, что содержание образующихся в ходе гидролиза амидных групп в смесевых волокнах, сформованных после термостатирования прядильных эмульсий в течение 30 мин, не превышает 4.5%.
Вновь возникшие в результате гидролиза нитрильных групп амидные звенья легко образуют водородные связи с гидрофильными ОН-группами целлюлозы. Такие нековалентные связи между сложноэфирными или амидными группами ПАН и гидроксильными или гликозидными группами целлюлозы могут возникать либо напрямую, либо как показали квантово-химические расчеты в работе [49]. Возникновение небольшого числа нековалентных, достаточно прочных сшивок между цепями полимеров ПАН–МС и целлюлозы приводит к изменению конформации полимерных цепей, тем более, что участки цепей, не связанных водородными связями, за счет различий в гидрофильности будут отталкиваться друг от друга. Сложные структурные превращения, происходящие в исследуемых смесевых растворах при различных условиях, должны предопределять структуру и свойства полученных гибридных волокон.
Методом РСА была исследована их структура, и соответствующие дифрактограммы приведены на рис. 18. Для волокон Лиоцелл основные рефлексы находятся в угловых положениях 2~12.1°, ~20.1° и ~21.5° и соответствуют кристаллографическим плоскостям (101), (101̅)и (002) (на рисунке отмечены черным пунктиром), что соответствует фазе целлюлозы II (регенерированная целлюлоза), т. е. никаких структурных превращений целлюлозы на молекулярном уровне в присутствии ПАН–МС не происходит.
Рис. 18. Экваториальные дифрактограммы композиционных волокон, сформованных из 18%-ных смесевых растворов с содержанием ПАН 0 (1), 30 (2), 40 (3), 60 (4), 70 (5), 90 (6) и 100% (7).
На дифрактограмме волокон собственно ПАН–МС присутствуют два рефлекса при 2θ = 16.9° (d = 0.524 нм) и 2θ = 29.4° (d = 0.303 нм), а также широкий рефлекс в области 25.7°, отмеченные красным пунктиром. В смесевых волокнах угловое положение характеристических рефлексов полимеров не меняется, меняется только их интенсивность с изменением фазового состава волокна. Ввиду того, что по представленным дифрактограммам достаточно сложно проследить тонкие изменения отношения интенсивностей основных рефлексов, а, согласно данным ИК-исследований, увеличение содержания ПАН приводит к аморфизации целлюлозы, были определены индексы кристалличности целлюлозы и длины кристаллитов в зависимости от количества ПАН в композиционные волокна. На рис. 19 представлены зависимости степени кристалличности и размера кристаллитов целлюлозы от содержания ПАН в композитном волокне. Как видно на рис. 19а, при введении полиакрилонитрила в целлюлозу индекс кристалличности снижется линейно.
Рис. 19. Зависимости степени кристалличности (а) и размеров кристаллитов целлюлозы (б) от содержания ПАН в композитном волокне.
Оценку размеров кристаллитов целлюлозы проводили по уравнению Шеррера для рефлекса, соответствующего плоскости (101̅) [61]. Традиционно структура целлюлозных волокон, полученных из растворов в ММО, в том числе и волокна Орцел [10], сформованного по твердофазному ММО-процессу, характеризуется повышенными значениями как степени кристалличности, так и размерами кристаллитов в продольном направлении. Введение ПАН–МС в целлюлозу способствует сначала увеличению размеров кристаллитов, а при увеличении доли сополимера более 30% их размеры начинают уменьшаться, т. е. концентрационная зависимость имеет экстремальный вид. По всей видимости, такое поведение системы обусловлено обсужденным выше эффектом межмакромолекулярного взаимодействия, которое до содержания ПАН в системе ниже 30% не влияет на характер самоупорядочения макромолекул целлюлозы, а выше 30% его влияние возрастает, аморфизуя и изменяя конформации макроцепей. При этом индекс кристалличности падает, приводя к уменьшению размеров кристаллитов в продольном направлении при ориентации в процессе формования.
Морфология композиционного волокна с высоким содержанием ПАН представлена на рис. 20.
Рис. 20. Микрофотография композиционного волокна, сформованного из 18%-ного смесевого раствора 60% целлюлозы–40% ПАН–МС.
В отличие от целлюлозных волокон Лиоцелл или Орцел, в которых высокая продольная ориентация как кристаллитов, так и аморфных участков способствует формированию фибрилл размером, не превышающим 0.08–0.1 мкм, со столь плотной упаковкой, что они не проявляются на поперечных срезах волокон, полученные композитные волокна характеризуются более крупной гетерогенной слоистой текстурой, сформированной скорее микроволокнами размером порядка 1 мкм, а не фибриллами. Микроволокна также гетерогенны и состоят из множества ориентированных, фибриллярных субъединиц. Поверхность волокна бороздчатая из-за выступающих на поверхность микроволокон, а поперечное сечение, в целом, круглое. Трудно однозначно утверждать о фазовых составах образующихся структур, но выделенные после удаления ПАН фибриллы целлюлозы, во-первых, подтверждают электронно-донорно- акцепторную (ЭДА)-природу межмакромолекулярных связей, во-вторых, сохранение их прочностных свойств на достаточно высоком уровне подтверждают достоверность высказанного ранее механизма, согласно которому макромолекулы ПАН взаимодействуют с поверхностными функциональными группами целлюлозных структурных агрегатов.
Все полученные в работах данные свидетельствуют о высокой эффективности твердофазной активация исследуемых систем, обеспечивающей высокую степень взаимодействия между полимерами. При пиролизе композитов целлюлозы и ПАН–МС образовавшиеся между полимерами ЭДА-связи превращаются в ковалентные, формируя in situ сшитые сополимеры целлюлозы и ПАН, что может быть важным позитивным фактором в процессе получения из них углеродных волокон.
Полученные сополимеры целлюлозы и ПАН–МС, имеющие фиксированную пространственную структуру, потенциально можно также использовать для создания гидрогелей широкого назначения. Безусловно, эти направления требуют проведения детальных исследований.
Проведенный комплекс исследований позволяет, рассмотрев особенности поведения исследуемых систем целлюлоза–ММО с различными полимерами в процессах механоактивации при деформации сдвига, превращения в раствор, формования и структурных особенностей гибридных волокон, выделить основные факторы, определяющие направления регулирования структуры целлюлозы. Так, основной особенностью системы целлюлоза (ПМФИА, ЖК-полимеры, полиуретаны)–ММО является энергетически сильное взаимодействие полимеров с ММО, приводящее к образованию кристаллосольватов ММО–полимер и определяющее все дальнейшие структурные превращения системы по стадиям процесса. Непосредственных взаимодействий между полимерами в эмульсии не происходит, они взаимодействуют через молекулы растворителя, создавая тем самым определенные стерические препятствия и направляя структурообразование макромолекул целлюлозы по механизму, аналогичному формированию мезоморфного упорядочения целлюлозы в присутствии молекул ММО (ситуация неполного фазового распада при формовании).
В случае добавления к системе целлюлоза–ММО различных по реакционной активности по отношению к ММО и целлюлозе сополимеров ПАН в процессе твердофазной механоактивации и далее по всем стадиям процесса между компонентами системы происходят специфические взаимодействия и структурно-химические превращения. Причем, как это рассмотрено достаточно подробно, потенциальная энергия возникающих специфических взаимодействий между целлюлозой и ПАН–АК при содержании ПАН–АК до 3% недостаточно высока для существенного изменения механизма структурирования как целлюлозы, так и ПАН–АК. Полученные гибридные волокна, сохраняя прочностные показатели, приобретают высокие деформационные свойства.
В системе целлюлоза–(ПАН–МС)–ММО, подобно системе целлюлоза–ПМФИА–ММО, макромолекулы ПАН–МС демонстрируют высокое сродство и к воде и к ММО, но в отличие от системы с ПМФИА, в которой, как показали ИК-исследования механической смеси исходных полимеров, непосредственных связей между полимерами не образуется, в системе целлюлоза‒(ПАН–МС) между –ОН-группами целлюлозы и функциональными группами ПАН возникают новые водородные связи. Это означает, что в условиях механической активации целлюлозы и ПАН происходит определенная переассоциация –ОН-связей целлюлозы от взаимодействия с себе подобными в макромолекулах целлюлозы к комплементарным (амидным, эфирным, карбоксильным) уже в макромолекулах видоизмененного ПАН–МС в растворе ММО.
Таким образом, проведенный комплекс исследований, расширяя существующие представления о реакционной способности твердых органических веществ под воздействием деформации сдвига, позволил решить важные аспекты целлюлозной проблемы:
– установить, что основным регулятором структуры целлюлозы в растворах ММО является высокое сродством к ММО вводимых добавок полярных синтетических полимеров, благодаря которому в растворе полимеры взаимодействуют с целлюлозой только через молекулы растворителя, нарушая тем самым алгоритм структурообразования макромолекул целлюлозы, реализуя на промежуточных стадиях мезоморфное состояние.
– предложить механизмы взаимодействия сополимеров ПАН различной природы с ММО, а также целлюлозы и сополимеров ПАН с ММО на различных стадиях получения смесевых композиций от стадии механоактивации до перехода в текучее состояния и формования;
– доказать ЭДА-взаимодействие и структурно-химические превращения между компонентами системы целлюлоза‒сополимеры ПАН–ММО на всех стадиях процесса получения гибридных волокон, благодаря которому многокомпонентная система приобретает псевдосшитый характер, причем глубина и степень структурных превращений предопределяется природой ПАН;
– при пиролизе полученных волокон нековалентные связи между ассоциатами целлюлозы и сополимеров ПАН превращаются в ковалентные, образуя in situ сшитые сополимеры целлюлозы и ПАН, что необходимо иметь в виду в процессе получения из них углеродных волокон.
Большой вклад в успешное развитие работы был внесен С.З. Роговиной и С.Н. Зеленецким.
Работа выполнена в рамках Государственного задания ИНХС РАН.
About the authors
Л. К. Голова
Институт нефтехимического синтеза им. А.В. Топчиева Российской академии наук
Author for correspondence.
Email: glk@ips.ac.ru
Russian Federation, Москва
Г. Н. Бондаренко
Институт нефтехимического синтеза им. А.В. Топчиева Российской академии наук
Email: glk@ips.ac.ru
Russian Federation, Москва
И. С. Макаров
Институт нефтехимического синтеза им. А.В. Топчиева Российской академии наук
Email: glk@ips.ac.ru
Russian Federation, Москва
К. В. Зуев
Институт нефтехимического синтеза им. А.В. Топчиева Российской академии наук
Email: glk@ips.ac.ru
Russian Federation, Москва
В. Г. Куличихин
Институт нефтехимического синтеза им. А.В. Топчиева Российской академии наук
Email: glk@ips.ac.ru
Russian Federation, Москва
References
- Берлин А.А., Вольфсон С.А., Ениколопян Н.С. Кинетика полимеризационных процессов. М.: Химия, 1978.
- Ениколопов Н.С. // Успехи химии. 1991. Т. 60. № 3. С. 586.
- Enikolopov N.S., Wolfson S.A., Nepomnjaschie A.I., Nikolskie V.G., Teleshov V.A., Filmakova V.A. Pat. 4607797 USA. 1986.
- Ениколопян Н.С., Акопян Е.Л., Кечекьян А.С., Никольский В.Г., Стырикович Н.М. // Высокомолек. соед. А. 1984. Т. 26. № 11. С. 2362.
- Ениколопян Н.С, Акопян Е.Л., Никольский В.Г. // Док. АН СССР. 1982. Т. 266. № 4. С. 889.
- Franks N.F., Varga J.K. Pat. 4290815 USA. 1979.
- Turbak A.F., Hammer R.В. // Solvent Spun Rayon, Modified Cellulose Fibers and Derivatives/Ed. by A. F. Turbak Washington: Am. Chem. Soc. 1977. № 58. Р.12.
- Hudson S.M., Cuculo J.A. //J. Macromol. Sci. 1980. V.18. № 1. P. 1.
- McCorsley C.C., Varga J.K. Pat. 4246211 USA.1981.
- Голова Л.К. // Рос. хим. журн. 2002. Т. 46. № 1. С. 49.
- Жорин В.А., Миронов Н.А., Никольский В.Г., Ениколопян Н.С. // Высокомолек. соед. А. 1980. Т. 22. № 2. С. 397.
- Ениколопян Н.С, Фридман М.Л. // Док. АН СССР. 1986. Т. 290. № 2. С. 379.
- Голова Л.К., Куличихин В. Г., Папков С. П. // Высокомолек. соед. A. 1986. Т. 28. № 9. P. 1795.
- Голова Л.К., Васильева Н.В., Бородина О.Е., Роговина С.З., Зеленецкий С.Н. Папков С.П. Пат. 2075560 C1 Россия. 1994.
- Голова Л.К. Пат. 1645308 Россия. 1991
- Голова Л.К. // Хим. волокна. 1996. № 1. С. 13.
- Chanzy H., Noe P., Paillet M., Smith P. // Appl. Polym. Sci., Polym. Symp. 1983. № 37. P. 239.
- Chanzy H., Nawrot S. // J. Polym. Sci., Polym. Phys Ed. 1982. V. 20. P. 1909.
- Платонов В.А., Белоусов Ю.Я., Зенков И.Д., Пожалкин Н.С., Куличихин В.Г. // Хим.волокна. 1983. № 1. C.27.
- Блейшмидт Н.В., Древаль В.Е., Бородина О.Е., Голова Л.К., Куличихин В.Г. // Высокомолек. соед. А. 1997. Т. 39. № 9. С. 1511.
- Kulichikhin V.G., Dreval’ V.E., Shatalova А.М., Golova L.K., Bilibin A.Yu. // Polymer Science А. 2002. V. 44. № 12. P. 1336.
- Bilibin A.Y., Zuev V.V., Skorokhodov S.S. // Makromol. Chem. Rapid. Commun. 1986. V. 6. P. 601.
- Palchikova E.E., Makarov I.S., Vinogradov M.I., Golova L.K., Shambilova G.K., Kulichikhin V.G. // Polymer Science B. 2021. V.63. № 6. P. 833.
- Zenkov I.D., Golova L.K., Borodina O.E. // Proc. of the All-Union Scientific Conference on Chemistry, Technology, and Use of Cellulose and Its Derivatives. Mytishchi, 1990, P. 233.
- Борисова Т.И., Афанасьева Н.В., Бурштейн Л.Л., Бородина О.Е., Голова Л.К. // Высокомолек. соед. А. 1993. Т. 35. № 8. С. 1326.
- Иовлева М.М., Смирнова В.Н., Белоусов Ю.Я., Папков С.С. // Высокомолек. соед. А. 1986. Т. 28. № 4. С. 749.
- Иовлева М.М. // Высокомолек. соед. А. 1989. Т. 31. № 4. С. 808.
- Папков С.П, Куличихин В.Г. Жидкокристаллическое состояние полимеров. М.: Химия, 1977.
- Папков С.П., Белоусов Ю.Я., Куличихин В.Г. // Хим. волокна. 1983. № 3. С. 8.
- Gilbert R., Patton P.A. // Progr. Polym. Sci. 1983. V. 9. P. 115.
- Куличихин В.Г., Голова Л.К. // Химия древесины. 1985. № 3. С. 9.
- Navard P., Haudin J.M. // Brit. Polym. J. 1980. № 12. P. 1137.
- Blachot J.F., Brunet N., Navard P., Cavaillé J.Y. // Rheologica Acta. 1998. V. 37. № 2. P. 107.
- Голова Л.К., Бородина О.Е., Рудинская Г.Я., Папков С.П. // Хим. волокна. 2001. № 2. С. 52.
- Голова Л.К., Бородина О.Е., Кузнецова Л.К., Любова Т.А., Крылова Т.Б.// Хим. волокна, 2000. № 4. С. 14.
- Иовлева М.М., Гойхман А.Ш., Бандурян С.И., Папков С.П. // Высокомолек. соед. Б. 1983. Т. 25. № 11. С. 803.
- Голова Л.К., Васильева Н.В., Бородина О.Е., Милькова Л.П., Папков С.П. // Тез.докл. Междунар. конф. по лиотропным кристаллам. Иваново, 1993. С. 45.
- Голова Л.К., Васильева Н.В., Бородина О.Е., Папков С.П. // Тез. докл. Всерос. симп. по жидкокористаллическим полимерам Черноголовка, 1995. С. 72.
- Khanchich O.A., Golova L.K., Borodina O.E., Krylova T.V., Loshadkin D.V. // Polymer Science. А. 2002. V. 43. № 7. P. 766.
- Wunderlich B., Grebowicz J. // Adv. Polym. Sci. 1984. V.60–61. P. 2.
- Golova L.K., Makarov I.S., Plotnikova E.P., Shambilova G.Sh., Tereshin А.К., Kulichikhin V.G. // Polymer Science А. 2009. V. 51. № 3. P. 283.
- Golova L.K., Makarov I.S., Matukhina E.V., Kulichikhin V.G. // Polymer Science А. 2010. V. 52. № 11. P. 1209.
- Golova L., Makarov I., Kuznetsova L., Plotnikova E., Kulichikhin V. // Cellulose – Fundamental Aspects/ Ed. by T. G. M. Van De Ven. Rijeka: InTech, 2013. P. 303.
- Golova L.K., Makarov I.S., Vinogradov M.I., Kuznetsova L.K., Kulichikhin V.G. //Polymer Science A. 2018. V. 60. № 6. P. 756.
- Makarov I.S., Golova L.K., Kuznetsova L.K., Rebrov A.V., Berkovich A.K., Skvortsov I.Yu., Kulichikhin V.G. //Russ. J. Gen. Chem. 2017. V.87. P. 1351.
- Shlyahtin A.V., Nifant'ev I.E., Bagrov V.V., Lemenovskii D.A., Tavtorkin A.N., Timashev P.S. // Green Chem. 2014. V. 16. P. 1344.
- Kulichikhin V., Golova L., Makarov I., Bondarenko G., Makarova V., Ilyin S., Skvortsov I., Berkovich A. // Eur. Polym. J. 2017. V. 92. P. 326.
- Makarov I.S., Golova L.K., Bondarenko G.N., Anokhina T.S., Dmitrieva E.S., Levin I.S., Makhatova V.E., Galimova N.Z., Shambilova G.K. // Membranes. 2022, V. 12. P. 297.
- Feldstein M.M., Kiseleva T.I., Bondarenko G.N., Kostina J.V., Singh P., Cleary G.W. // J. Appl. Polym. Sci. 2009. V.112. P. 1142.
- Kulichikhin V.G., Golova L.K., Makarov I.S., Vinogradov M.I., Berkovich A.K., Golubev Y.V. // J. Text. Eng. Fash. Technol. 2017. V. 3. P. 593.
- Makarov I.S., Golova L.K., Kuznetsova L.K., Shljakhtin A.V., Nifant'ev I.E., Kulichikhin V. G. Pat. 2541473 RF. 2015.
- Nelson M.L., O’Connor R.T. //. J. Appl. Polym. Sci. 1964. V.8. P. 1311.
- Nelson M.L., O’Connor R.T. // Appl. Polym. Sci. 1964. V.8. P. 1325.
- Куличихин В.Г., Голова Л.К., Егоров Ю.А., Виноградов М.И., Зуев К.В., Азанов М.В., Дьяченко Л.Р., Шульженко Д.В., Бессонова И.Ю. Пат. 2787619 Россия. 2022
- Куличихин В.Г., Голова Л.К., Зуев К.В., Шабеко А.А., Азанов М.В., Дьяченко Л.Р., Шульженко Д.В., Бессонова И.Ю. Пат. 214665 Россия. 2022.
- Kulichikhin V.G., Golova L.K., Makarov I.S., Bondarenko G.N., Makarova V.V., Ilyin S.O., Skvortsov I.U., Berkovich A.K. // Eur. Polym. J. 2017. V. 92. P. 326.
- Golova L.K., Makarov I.S., Vinogradov M.I., Kuznetsova L.K., Kulichikhin V.G. // Polymer Science A. 2018. V. 60. № 6. P. 756.
- Golova L.K., Bondarenko G.N., Makarov I.S., Kuznetsova L.K., Vinogradov M.I., Kulichikhin V.G. // Polymer Science A. 2020. V. 62. № 6. P. 597.
- Vinogradov M.I., Makarov I.S., Golova L.K., Bondarenko G.N., Kulichikhin V.G. // Polymer Science A. 2023. V. 65. № 3. P. 280.
- Vinogradov M.I., Golova L.K., Makarov I.S., Bondarenko G.N., Levin I.S., Arkharova N.A., Kulichikhin V.G. // Materials. 2023. V. 16. P. 5843.
- Gindl W., Keckes J. // Polymer. 2005. V. 46. P. 10221.
Supplementary files





























