ОПРЕДЕЛЕНИЕ КОНЦЕНТРАЦИИ КАРБОКСИЛЬНЫХ ГРУПП ПОЛИМЕРНЫХ МИКРОСФЕР КОНДУКТОМЕТРИЧЕСКИМ И ПОТЕНЦИОМЕТРИЧЕСКИМ ТИТРОВАНИЕМ
- Авторы: Шестакова Д.О.1,2, Санькова Н.Н.2, Пархомчук Е.В.1,2
-
Учреждения:
- Новосибирский государственный университет
- Институт катализа им. Г.К. Борескова Сибирского отделения Российской академии наук
- Выпуск: Том 65, № 5 (2023)
- Страницы: 391-404
- Раздел: МЕТОДЫ ИССЛЕДОВАНИЯ
- URL: https://bakhtiniada.ru/2308-1120/article/view/233628
- DOI: https://doi.org/10.31857/S2308112023600102
- EDN: https://elibrary.ru/DCZBWT
- ID: 233628
Цитировать
Полный текст
Аннотация
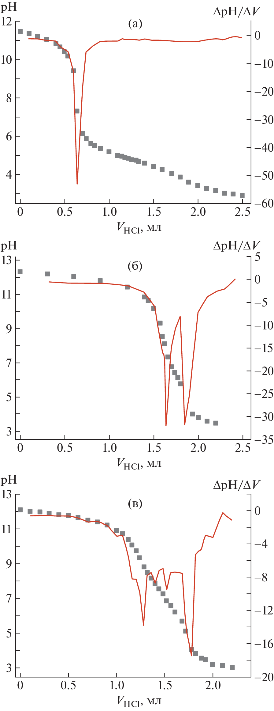
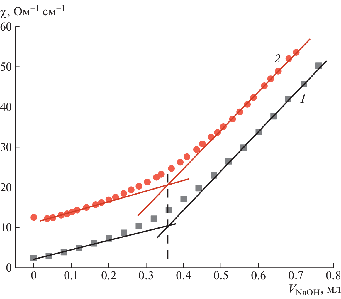
Предложена лабораторная методика определения концентрации карбоксильных групп на поверхности полистирольных микросфер при концентрации латекса порядка нескольких сотых массового процента (концентрация групп COOH ниже 4 × 10–4 моль/л). Методика основана на кондуктометрическом и потенциометрическом титровании. Исследовано влияние концентрации полимерных частиц в системе, ионной силы раствора, длительности титрования и инертности системы на получаемые значения концентрации карбоксильных групп и ошибку измерений.
Об авторах
Д. О. Шестакова
Новосибирский государственный университет; Институт катализа им. Г.К. Борескова Сибирского отделения Российской академии наук
Email: d.shestakova@g.nsu.ru
Россия, 630090, пр. Академика Лаврентьева, 5; Россия, 630090, пр. Академика Лаврентьева, 5
Н. Н. Санькова
Институт катализа им. Г.К. Борескова Сибирского отделения Российской академии наук
Email: d.shestakova@g.nsu.ru
Россия, 630090, пр. Академика Лаврентьева, 5
Е. В. Пархомчук
Новосибирский государственный университет; Институт катализа им. Г.К. Борескова Сибирского отделения Российской академии наук
Автор, ответственный за переписку.
Email: d.shestakova@g.nsu.ru
Россия, 630090, пр. Академика Лаврентьева, 5; Россия, 630090, пр. Академика Лаврентьева, 5
Список литературы
- Arshady R. // Colloid Polym. Sci. 1992. V. 270. № 8. P. 717.
- Yu B., Cong H., Peng Q., Gu C., Tang Q., Xu X., Tian C., Zhai F. // Adv. Colloid Interface Sci. 2018. V. 256. P. 126.
- Li M., Joung D., Hughes B., Waldman S.D., Kozinski J.A., Hwang D.K. // Scientific Reports. 2016. V. 6. № 30463. P. 1.
- Gokmen M.T., Prez F.E. Du. // Progr. Polym. Sci. 2012. V. 37. № 3. P. 365.
- Shevchenko N.N., Evseeva T.G., Shevaldysheva D.I., Pankova G.A., Shabsel’s B.M., Men’shikova A.Yu. // Colloid J. 2013. V. 75. № 4. P. 460.
- Onishi S., Tokuda M., Suzuki T., Minami H. // Langmuir. 2015. V. 31. № 2. P. 674.
- Sun K., Wang Q., Huang X.H., Zhen M.C., Li W., Zhang L.J. // Acta Pharmacol. Sinica. 2007. V. 28. № 12.
- Lee K.C., Lee S.Y. // Macromol. Res. 2007. V. 15. № 3. P. 244.
- Kondo A., Fukuda H. // J. Ferment. Bioeng. 1997. V. 84. № 4. P. 337.
- Newman D.J., Henneberry H., Price C.P. // Ann. Clinical Biochem. 1992. V. 29. № 1. P. 22.
- Warson H., Finch C. // Applications of Synthetic Resin Latices, Latices in Diverse Applications. New York: Wiley, 2001.
- Roy D., Cambre J.N., Sumerlin B.S. // Progr. Polym. Sci. 2010. V. 35. № 1–2. P. 278.
- Chou J., Wong J., Christodoulides N., Floriano P.N., Sanchez X., McDevitt J. // Sensors (Switzerland). 2012. V. 12. № 11. P. 15467.
- Jokerst J.V., Chen Z., Xu L., Nolley R., Chang E., Mitchell B., Brooks J.D., Gambhir S.S., Kumar-Sinha C. // PLoS ONE. 2015. V. 10. № 9.
- Sankova N., Shalaev P., Semeykina V., Dolgushin S., Odintsova E., Parkhomchuk E. // J. Appl. Polym. Sci. 2021. V. 138. № 8. P. 49890.
- Qi K., Ma Q., Remsen E.E., Clark C.G., Wooley K.L. // J. Am. Chem. Soc. 2004. V. 126. № 21. P. 6599.
- Geißler D., Nirmalananthan-Budau N., Scholtz L., Ta-vernaro I., Resch-Genger U. // Microchim. Acta. 2021. V. 188. № 10.
- Dai J., Liu Y., Li J., Lu Z., Yang W. // Surface Interface Analysis. 2009. V. 41. № 7. P. 577.
- Hennig A., Hoffmann A., Borcherding H., Thiele T., Schedler U., Resch-Genger U. // Analyt, Chem. 2011. V. 83. № 12. P. 4970.
- Rödiger S., Ruhland M., Schmidt C., Schröder C., Grossmann K., Böhm A., Nitschke J., Berger I., Schimke I., Schierack P. // Anal. Chem. 2011. V. 83. № 9. P. 3379.
- Zhu S., Panne U., Rurack K. // Analyst. 2013. V. 138. № 10. P. 2924.
- Zwetsloot J.P.H., Leyte J.C. // J. Colloid Interface Sci. 1994. V. 163. № 2. P. 362.
- Hen J. // J. Colloid Interface Sci. 1974. V. 49. № 3. P. 425.
- Kamel A.A., El-Aasser M.S., Vanderhoff J.W. // J. Dispersion Sci. Technol. 1981. V. 2. № 2–3. P. 183.
- James R.O., Davis J.A., Leckie J.O. // J. Colloid Interface Sci. 1978. V. 65. № 2. P. 331.
- Kim J.W., Park J.G., Ryu J.H., Chang I.S., Suh K.D. // Colloid Polym. Sci. 2005. V. 283. № 11. P. 1233.
- Song S., Zhang W., Hu Z., Zhang Z. // Colloids Surfaces A. 2009. V. 348. № 1–3. P. 1.
- Bastos D., De Las Nieves F.J. // Colloid Polym. Sci. 1993. V. 271. № 9. P. 860.
- Stone-Masui J., Watillon A. // J. Colloid Interface Sci. 1975. V. 52. № 3. P. 479.
- Saija L.M., Stefanoli V., Umiski M., Cozzi M. // J. Dispersion Sci. Technol. 1995. V. 16. № 3–4. P. 273.
- Tuncel A., Tuncel M., Ergun B., Alagöz C., Bahar T. // Colloids Surfaces A. 2002. V. 197. № 1–3. P. 79.
- Hennig A., Borcherding H., Jaeger C., Hatami S., Würth C., Hoffmann A., Hoffmann K., Thiele T., Schedler U., Resch-Genger U. // J. Am. Chem. Soc. 2012. V. 134. № 19. P. 8268.
- Sankova N., Vyvdenko D., Luzina E., Shestakova D., Babina K., Malakhova Y., Yakush E., Parkhomchuk E. // Colloid Polym. Sci. 2022. V. 300. № 6. P. 625.
- Okunev A.G., Mashukov M.Yu., Nartova A.V., Matveev A.V. // Nanomaterials. 2020. V. 10. № 7. P. 1.
- Okunev A.G., Mashukov M.Yu., Sankova N.N., Nartova A.V., Matveev A.V. // IOP Conf. Series: Materials Science and Engineering. 2021. V. 1155. № 1. P. 012015.
- Матвеев А.В., Машуков М.Ю., Нартова А.В., Санькова Н.Н., Окунев А.Г. // Физико-химические аспекты изучения кластеров, наноструктур и наноматериалов. 2021. V. 13. P. 300.
- Labib M.E., Robertson A.A. // J. Colloid Interface Sci. 1980. V. 77. № 1. P. 151.
- Sakota K., Okaya T. // J. Appl. Polym. Sci. 1976. V. 20. № 7. P. 1735.
- Everett D.H., Gültepe M.E., Wilkinson M.C. // J. Colloid Interface Sci. 1979. V. 71. № 2. P. 336.
- Kissa E. // Dispersions: Characterization, testing, and measurement. Routledge, 2017.
- Polymer Colloids II / Ed. by R.M. Fitch. Springer Science & Business Media, 2012.
- Everett D.H., Gültepe M.E., Wilkinson M.C. // J. Colloid Interface Sci. 1979. V. 71. № 2. P. 336.
- Wilkinson M.C., Hearn J., Steward P.A. // Adv. Colloid Interface Sci. 1999. V. 81. № 2. P. 77.
- Chainey M., Hearn J., Wilkinson M.C. // J. Colloid Interface Sci. 1987. V. 117. № 2. P. 477.
- Kamel A.A., El-aasser M.S., Vanderhoff J.W. // J. Colloid Interface Sci. 1982. V. 87. № 2. P. 537.
- Moser M., Nirmalananthan N., Behnke T., Geißler D., Resch-Genger U. // Analyt. Chem. 2018. V. 90. № 9. P. 5887.
- Gong Y.K., Nakashima K., Xu R. // Langmuir. 2000. V. 16. № 22. P. 8546.
- Carbon dioxide [Electronic resource]. – URL: https://webbook.nist.gov/cgi/cbook.cgi?ID=C124389& Units=SI&Mask=10#Solubility (дата обращения: 12.03.2023).
Дополнительные файлы














