Effect of Vulcanization System on the Structure and Properties of Polymer-Elastomer Composite Materials
- Authors: Shadrinov N.V.1, Khaldeeva A.R.1, Fedorov A.L.1, Kondakov M.N.1, Sokolova M.D.1
-
Affiliations:
- Institute of Oil and Gas Problems, Siberian Branch, Russian Academy of Sciences
- Issue: Vol 65, No 5 (2023)
- Pages: 374-383
- Section: СМЕСИ ПОЛИМЕРОВ
- URL: https://bakhtiniada.ru/2308-1120/article/view/233625
- DOI: https://doi.org/10.31857/S2308112023600096
- EDN: https://elibrary.ru/DDBUZC
- ID: 233625
Cite item
Full Text
Abstract
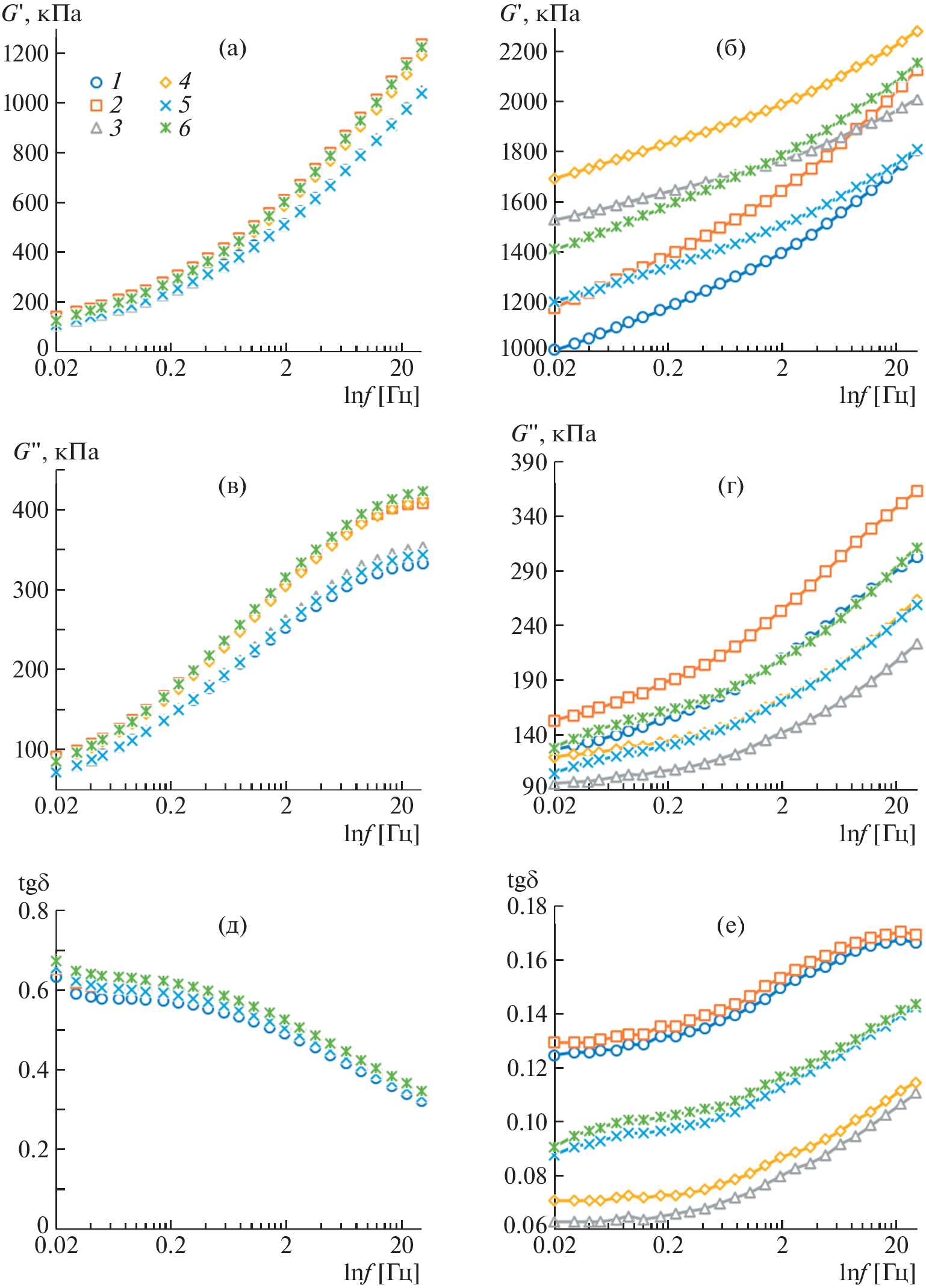
The effect of vulcanization system on the properties of polymer-elastomer composite materials based on nitrile-butadiene rubber and ultrahigh molecular weight polyethylene is studied. An analysis of the rheometric and vulcanization characteristics of rubber compounds shows that, in the case of combined sulfur-peroxide vulcanization system, the crosslinking density of vulcanizates increases considerably. The study of the elastic and strength behavior and dynamic mechanical properties of the vulcanizates demonstrates that the sulfur-peroxide vulcanization system provides the best parameters, in particular at low temperatures. An examination of elastic and hysteresis properties of the samples before and after vulcanization, which are measured under dynamic loading in a wide frequency and strain range, allows one to describe the features of physicochemical interactions in polymer-elastomer materials depending on the used vulcanization system. The supramolecular structure of the vulcanizates is visualized by scanning electron microscopy, and chemical interaction between macromolecules of nitrile-butadiene rubber and ultrahigh molecular weight polyethylene occurring during peroxide vulcanization is proved by IR spectroscopy.
About the authors
N. V. Shadrinov
Institute of Oil and Gas Problems, Siberian Branch, Russian Academy of Sciences
Email: nshadrinov@gmail.com
677007, Yakutsk, Russia
A. R. Khaldeeva
Institute of Oil and Gas Problems, Siberian Branch, Russian Academy of Sciences
Email: nshadrinov@gmail.com
677007, Yakutsk, Russia
A. L. Fedorov
Institute of Oil and Gas Problems, Siberian Branch, Russian Academy of Sciences
Email: nshadrinov@gmail.com
677007, Yakutsk, Russia
M. N. Kondakov
Institute of Oil and Gas Problems, Siberian Branch, Russian Academy of Sciences
Email: nshadrinov@gmail.com
677007, Yakutsk, Russia
M. D. Sokolova
Institute of Oil and Gas Problems, Siberian Branch, Russian Academy of Sciences
Author for correspondence.
Email: nshadrinov@gmail.com
677007, Yakutsk, Russia
References
- Бузник В.М., Василевич Н.И. // Лаборатория и производство. 2020. № 1 (11). С. 98.
- Paul D., Bucknell K. // Polymer Blends. New York: Wiley, 2000.
- Захаров Н.Д., Кострыкина Г.И. // Высокомолек. соед. А. 1968. Т. 10. № 1. С. 107.
- Корнев А.Е., Буканов А.М., Шевердяев О.Н. Технология эластомерных материалов. М.: Эксим, 2000.
- Dluzneski P.R. // Rubber Chem. Technol. 2001. V. 74. № 3. P. 451.
- Valentin J.L., Rodriguez A., Marcos-Fernandez, Livier Gonzales // J. Appl. Polym. Sci. 2005. V. 96. P. 1.
- Kurtz S.M. // UHMWPE Biomaterials Handbook: Ultra-High Molecular Weight Polyethylene in Total Joint Replacement and Medical Devices. New York: William Andrew, 2015.
- Соколова М.Д., Давыдова М.Л., Шадринов Н.В. // Физикохимия поверхности и защита материалов. 2018. Т. 54. № 5. С. 1.
- Шадринов Н.В., Гоголев В.Д., Исакова Т.А. // Журн. Сибирского федерального ун-та. Техника и технологии. 2021. Т. 14. № 4. С. 424
- Ketan Patel, Samir H. Chikkali, Swaminathan Sivaram // Progr. Polym. Sci. 2020. V. 109. P. 101290.
- Shadrinov N.V., Borisova A.A. // Inorgan. Mater. Appl. Res. 2021. № 12. P. 1112.
- Leblanc J.L., Mongruel A. // Prog. Rubber Plast. Technol. 2001. V. 3. № 17. P. 162.
- Yahaya L.E., Adebowale K.O., Olu-Owolabi B.I. // Am. Chem. Sci. J. 2014. V. 4. № 4. P. 472.
- Lopez-Manchado M.A., Arroyo M.A., Herrero M.B., Biagiotti J. // J. Appl. Polym. Sci. 2003. V. 89. № 1. P. 1.
- Бухина М.Ф. Кристаллизация каучуков и резин. М.: Химия, 1973.
- Manoj Sehrawat, Mamta Rani, Sony Bharadwaj, Sushant Sharma, Gaurav Chauhan, Sanjay Dhakate, Bhanu Pratap Singh // MAPAN. 2022. № 37. C. 517.
- Barick A.K., Tripathy D.K. // J. Appl. Polym. Sci. 2010. V. 117. № 2. P. 639.
- Babu R.R., Singha N.K., Naskar K. // Polym. Eng. Sci. 2009. V. 50. № 3. P. 455.
- Муромцев Д.Н., Пичхидзе С.Я. // Вестн. Саратовского гос. техн. ун-та. 2012. Т. 68. № 1. С. 158.
- Payne A.R., Whittaker R.E. // Rubber Chem. Technol. 1971. V. 44. № 2. P. 440.
- Robertson C.G., Roland C.M. // Rubber Chem. Technol. 2008. V. 81. № 3. P. 506.
- Bohm G.A., Tomaszewski W., Cole W., Hogan T. // Polymer. 2010. V. 51. № 9. P. 2057.
- Maier P.G., Goritz D. // Kautschuk Gummi Kunstoffe. 1996. V. 49. № 1. P. 18.
- Chazeau L., Brown J.D., Yanyo L.C., Sternstein S.S. // Polym. Compos. 2000. V. 21. № 2. P. 202.
- Ge X., Zhang Z., Yu H., Zhang B., Cho U.R. // Appl. Clay Sci. 2018. № 157. P. 274.
- Bellamy M. // J. Chem. Educ. 2010. № 87. P. 1399.
- Passador F.R., Rodolfo A., Pessan L.A. // J. Macromol. Sci. B. 2009. V. 48. № 2. P. 282.
- Liu Xifei, Zhou Tao, Liu Yongcheng, Zhang Aiming, Yuan Canyao, Zhang Weidong // RSC Adv. 2015. № 5.
- Карасёва С.Я., Саркисова В.С., Дружинина Ю.А. // Химические реакции полимеров. Самара: Самарский гос. техн. ун-т, 2012.
- Kruzelak J., Sykora R., Hudec I. // J. Polym. Eng. 2014. № 34.
Supplementary files






