Molecular Dynamics Simulation of the Conformational Structure of Polyampholyte Polypeptides at the Surface of a Charged
- Authors: Kruchinin N.Y.1, Kucherenko M.G.1
-
Affiliations:
- Center for Laser and Information Biophysics, Orenburg State University
- Issue: Vol 65, No 2 (2023)
- Pages: 150-160
- Section: ТЕОРИЯ И МОДЕЛИРОВАНИЕ
- URL: https://bakhtiniada.ru/2308-1120/article/view/135344
- DOI: https://doi.org/10.31857/S2308112023700438
- EDN: https://elibrary.ru/ZGHRFX
- ID: 135344
Cite item
Full Text
Abstract
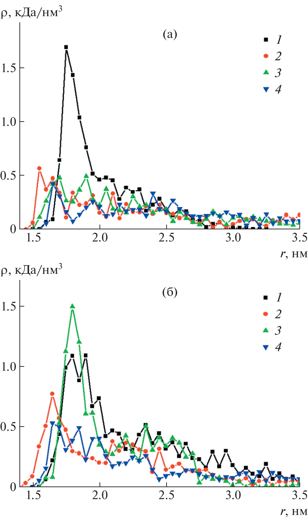
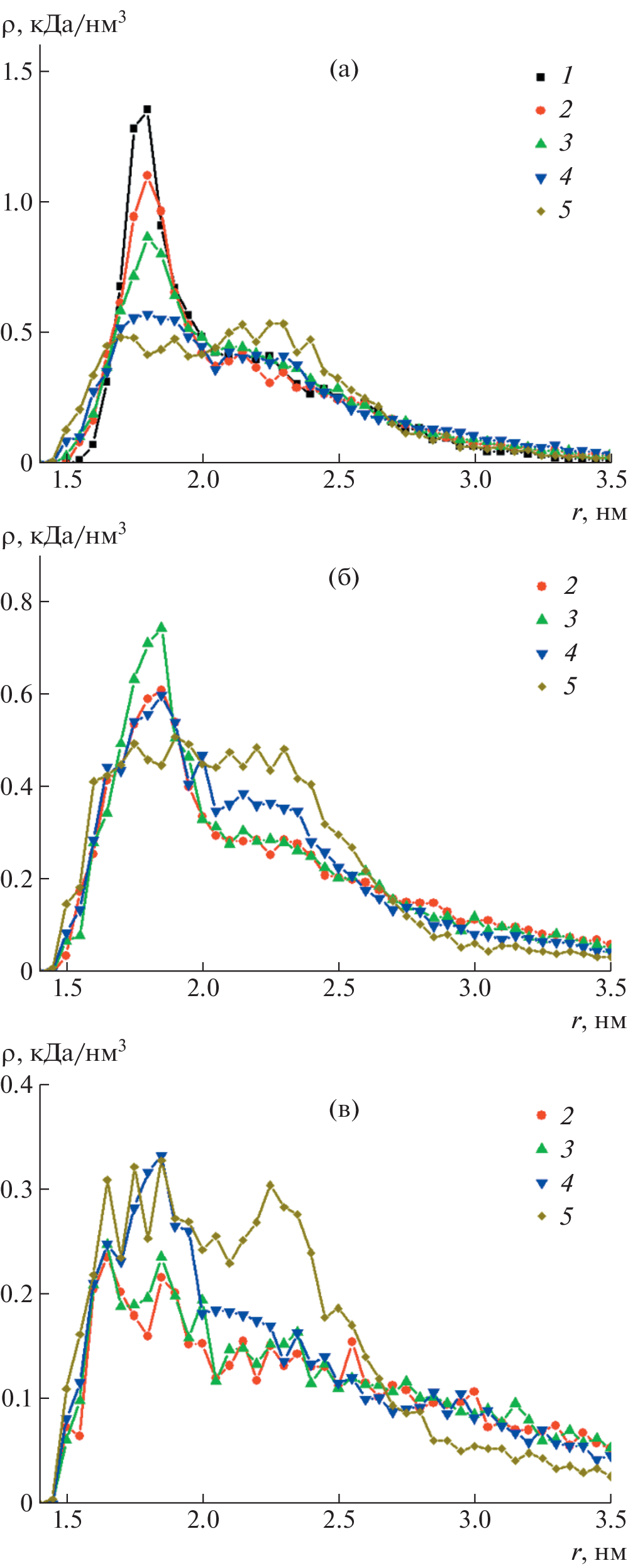
The changes in conformational structure of polyampholyte polypeptides adsorbed at the surface of a charged spherical gold nanoparticles polarized in a uniform external electric field have been studied by means of molecular dynamics. Distributions of the mean unidimensional density of the polypeptide atoms along the axis of the nanoparticle polarization and radial distributions of the mean density of the atoms of polypeptides adsorbed at the nanoparticle surface have been computed. When the surface charge of the charged nanoparticle in one of the near-pole regions are compensated by the charges induced at the nanoparticle by the external electric field, the polyampholyte skirt non-symmetric with respect to the equator has been formed. Compaction of the macromolecular layer at one of the near-pole regions has occurred, whereas the polyampholyte skirt at the other near-pole regions has been swollen with the formation of the macromolecule chain loops, their length depending on the spacing between the charged units in the macromolecule. When the total charge of the nanoparticle in the uniform electrical field is low, the polyampholyte skirt stretched along the polarization has been formed at the nanoparticle surface. At low strength of the external uniform electric field, the charged nanoparticle has been uniformly wrapped by a macromolecular skirt consisting of three layers: two oppositely charged ones and a neutral layer between them.
About the authors
N. Yu. Kruchinin
Center for Laser and Information Biophysics, Orenburg State University
Email: kruchinin_56@mail.ru
460018, Orenburg, Russia
M. G. Kucherenko
Center for Laser and Information Biophysics, Orenburg State University
Author for correspondence.
Email: kruchinin_56@mail.ru
460018, Orenburg, Russia
References
- Egorova E.A., van Rijt M.M.J., Sommerdijk N., Gooris G.S., Bouwstra J.A., Boyle A.L., Kros A. // ACS Nano. 2020. V. 14. P. 5874.
- Xing T., Qian Q., Ye H., Wang Z., Jin Y., Zhang N., Wang M., Zhou Y., Gao X., Wu L. // Biosensors Bioelectronics. 2022. V. 212. P. 114430.
- Khlebtsov B.N., Khanadeev V.A., Burov A.M., Le Ru E.C., Khlebtsov N.G. // J. Phys. Chem. C. 2020. V. 124. P. 10647.
- Lu Y., Tan Y., Xiao Y., Li Z., Sheng E., Dai Z. // Talanta. 2021. V. 234. P. 122585.
- Szekeres G.P., Montes-Bayon M., Bettmer J., Kneipp J. // Anal. Chem. 2020. V. 92. P. 8553.
- Domin H., Piergies N., Swięch D., Pięta E., Proniewicz E. // Colloids Surf. B. 2017. V. 149. P. 80.
- Samieegohar M., Sha F., Clayborne A.Z., Wei T. // Langmuir. 2019. V. 35. P. 5029.
- Domin H., Piergies N., Swięch D., Pięta E., Proniewicz E. // Int. J. Pharmaceut. 2020. V. 586. P. 119537.
- Shahdeo D., Chandra A.B., Gandhi S. // Anal. Chem. 2021. V. 93. P. 11868.
- Li Y., Jin Y., He X., Tang Y., Zhou M., Guo W., Miao W. // Nanomedicine: Nanotechnol., Biol. Medicine. 2022. V. 41. P. 102520.
- Iqbal M.Z., Ali I., Khan W.S., Kong X., Dempsey E. // Mater. Design. 2021. V. 205. P. 109694.
- Nevidimov A.V., Razumov V.F. // Colloid J. 2018. V. 80. P. 676.
- Chen Y., Cruz-Chu E.R., Woodard J., Gartia M.R., Schulten K., Liu L. // ACS Nano. 2012. V. 6. P. 8847.
- Kyaw H.H., Boonruang S., Mohammed W.S., Dutta J. // AIP Adv. 2015. V. 5. P. 107226.
- Solomentsev G.Y., English N.J., Mooney D.A. // J. Comput. Chem. 2012. V. 33. P. 917.
- Fallah Z., Jamali Y., Rafii-Tabar H. // PLoS One. 2016. V. 11. P.e0166412.
- Saeidi H.R., Setayandeh S.S., Lohrasebi A. // Chin. Phys. B. 2015. V. 24. № 8. P. 080701.
- Kolesnikov A., Budkov Y., Basharova E., Kiselev M. // Soft Matter. 2017. V. 13. P. 4363.
- Budkov Y., Kiselev M. // J. Phys.: Condens. Matter. 2018. V. 30. № 4. P. 1.
- Dubrovskii S.A., Balabaev N.K. // Polymer Science A. 2021. V. 63. № 6. P. 891.
- Erukhimovich I.Ya., Kriksin Yu.A., Kudryavtsev Y.V. // Polymer Science Series A. 2022. V. 64. № 2. P. 121.
- Dubrovskii S.A., Balabaev N.K. // Polymer Science A. 2022. V. 64. № 5. P. 549.
- Kruchinin N.Yu., Kucherenko M.G. // Colloid J. 2020. V. 82. № 2. P. 136.
- Kruchinin N.Yu., Kucherenko M.G., Neyasov P.P. // Russ. J. Phys. Chem. A. 2021. V. 95. № 2. P. 362.
- Kruchinin N.Yu. // Colloid J. 2021. V. 83. № 3. P. 326.
- Kruchinin N.Yu., Kucherenko M.G. // Colloid J. 2021. V. 83. № 1. P. 79.
- Kruchinin N.Yu., Kucherenko M.G. // Surfaces Interfaces. 2021. V. 27. P. 101517.
- Kruchinin N.Yu., Kucherenko M.G. // Colloid J. 2021. V. 83. № 5. P. 591.
- Kruchinin N.Yu., Kucherenko M.G. // High Energy Chem. 2021. V. 55. № 6. P. 442.
- Kruchinin N.Yu., Kucherenko M.G. // Russ. J. Phys. Chem. A. 2022. V. 96. № 3. P. 622.
- Kruchinin N.Yu., Kucherenko M.G. // Colloid J. 2022. V. 84. № 2. P. 169.
- Kruchinin N.Yu., Kucherenko M.G. // Polymer Science A. 2022. V. 64. № 3. P. 240.
- Ландау Л.Д., Лифшиц Е.М. Электродинамика сплошных сред. М.: Наука, 1982.
- Phillips J.C., Braun R., Wang W., Gumbart J., Tajkhorshid E., Villa E., Chipot C., Skeel R.D., Kale L., Schulten K., Phillips J.C., Braun R., Wang W., Gumbart J., Tajkhorshid E., Villa E., Chipot C., Skeel R.D., Kale L., Schulten K. // J. Comput. Chem. 2005. V. 26. P. 1781.
- MacKerell A.D. Jr., Bashford D., Bellott M., Dunbrack Jr. R.L., Evanseck J.D., Field M.J., Fischer S., Gao J., Guo H., Ha S., Joseph-McCarthy D., Kuchnir L., Kuczera K., Lau F.T.K., Mattos C., Michnick S., Ngo T., Nguyen D.T., Prodhom B., Reiher III W.E., Roux B., Schlenkrich M., Smith J.C., Stote R., Straub J., Watanabe M., Wiorkiewicz-Kuczera J., Yin D., Karplus M. // J. Phys. Chem. B. 1998. V. 102. P. 3586.
- Huang, J., Rauscher, S., Nawrocki, G., Ran T., Feig M., de Groot B.L., Grubmüller H., MacKerell Jr. A.D. // Nature Methods. 2016. V. 14. P. 71.
- Heinz H., Vaia R.A., Farmer B.L., Naik R.R. // J. Phys. Chem. C. 2008. V. 112. P. 17281.
- Darden T., York D., Pedersen L. // J. Chem. Phys. 1993. V. 98. P. 10089.
- Jorgensen W.L., Chandrasekhar J., Madura J.D., Impey R.W., Klein M.L. // J. Chem. Phys. 1983. V. 79. P. 926.
- Shankla M., Aksimentiev A. // Nature Commun. 2014. V. 5. P. 5171.
- Franco-Ulloa S., Tatulli G., Bore S.L., Moglianetti M., Pompa P.P., Cascella M., De Vivo M. // Nature Commun. 2020. V. 11. P. 5422.
- Chen P., Zhang Z., Gu N., Ji M. // Molec. Simul. 2018. V. 44. P. 85.
- Humphrey W., Dalke A., Schulten K. // J. Molec. Graphics. 1996. V. 14. P. 33.
- Kruchinin N.Yu., Kucherenko M.G. // High Energy Chem. 2022. V. 56. № 6. P. 499.
- Гросберг А.Ю., Хохлов А.P. Статистическая физика макромолекул. М.: Наука, 1989.
- Kucherenko M.G., Izmodenova S.V., Kruchinin N.Yu., Chmereva T.M. // High Energy Chemi. 2009. V. 43. № 7. P. 592.
Supplementary files








