ГИДРОГЕЛИ НА ОСНОВЕ ИНТЕРПОЛИМЕРНЫХ КОМПЛЕКСОВ АЛЬГИНАТА НАТРИЯ И СИНТЕТИЧЕСКИХ ПОЛИКИСЛОТ
- Авторы: Волкова И.Ф.1, Григорян Э.С.1, Шандрюк Г.А.1, Горшкова М.Ю.1
-
Учреждения:
- Институт нефтехимического синтеза им. А.В. Топчиева Российской академии наук
- Выпуск: Том 65, № 1 (2023)
- Страницы: 54-64
- Раздел: ПОЛИМЕРНЫЕ ГЕЛИ
- URL: https://bakhtiniada.ru/2308-1120/article/view/135338
- DOI: https://doi.org/10.31857/S230811202370030X
- EDN: https://elibrary.ru/UYYESQ
- ID: 135338
Цитировать
Полный текст
Аннотация
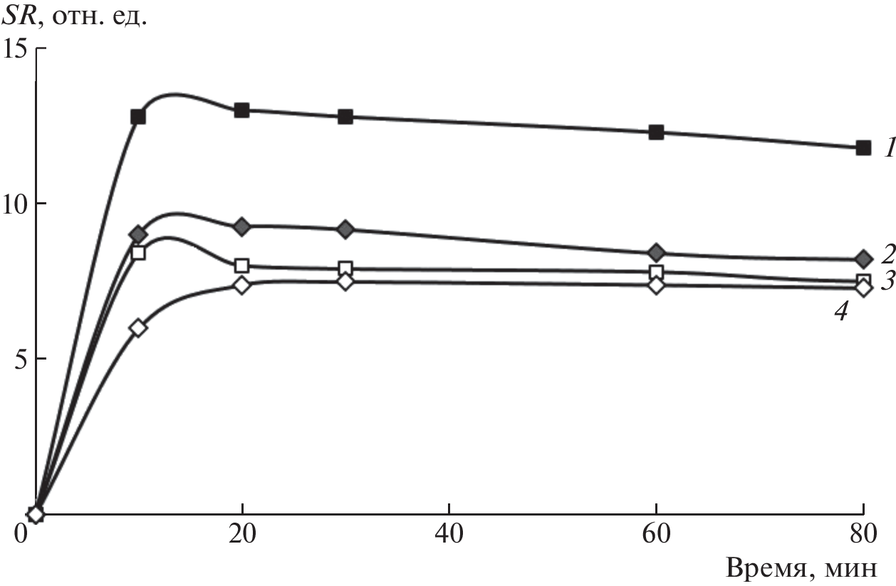
Изучено влияние структуры синтетических поликислот на формирование и свойства их интерполимерных комплексов с альгинатом натрия. Установлено, что гидрогели формируются преимущественно за счет водородных связей, тип которых зависит от структуры поликислоты и количества связанной воды. Исследование поведения гидрогелей в воде и фосфатном буфере с рН 7.2 показало, что свойства гидрогелей наряду с природой поликислоты определяются соотношением компонентов и температурой их обработки. Возможность использования гидрогелей как основы систем доставки лекарственных средств изучена на примере лидокаина.
Об авторах
И. Ф. Волкова
Институт нефтехимического синтеза им. А.В. Топчиева Российской академии наук
Email: mgor@ips.ac.ru
Россия, 119991, Москва, Ленинский пр., 29
Э. С. Григорян
Институт нефтехимического синтеза им. А.В. Топчиева Российской академии наук
Email: mgor@ips.ac.ru
Россия, 119991, Москва, Ленинский пр., 29
Г. А. Шандрюк
Институт нефтехимического синтеза им. А.В. Топчиева Российской академии наук
Email: mgor@ips.ac.ru
Россия, 119991, Москва, Ленинский пр., 29
М. Ю. Горшкова
Институт нефтехимического синтеза им. А.В. Топчиева Российской академии наук
Автор, ответственный за переписку.
Email: mgor@ips.ac.ru
Россия, 119991, Москва, Ленинский пр., 29
Список литературы
- Siqueira P., Siqueira É., De Lima A.E., Siqueira G., Pinzón-Garcia A.D., Lopes A.P., Segura M.E.C., Isaac A., Pereira F.V., Botaro V.R. // Nanomaterials. 2019. V. 9. № 1. P. 78.
- Haug A. Composition and Properties of Alginates. Trondheim.: Norwegian Institute of Seaweed Research, 1964.
- Draget K.I., Skjak-Braek G., Smidsrod O. // Carbohydr. Polym. 1994. 25. P. 31.
- Wang T., Zhang F., Zhao R., Wang C., Hu K., Sun Y., Politis C., Shvandi A. // Des. Monomers Polym. 2020. V. 23. № 1. P. 118.
- Wang X., Hao T., Qu J., Wang C., Chen H. // J. Nanomater. V. 2015. Article ID 970619.
- Chan A.W., Neufeld R.J. // Biomaterials. 2009. V. 30. P. 6119.
- Himadri Sekhar, Samanta Samit, Kumar Ray // Carbohydr. Polym. 2014. V. 99. P. 666.
- Wenbo Wang, Li Zong, Aiqin Wang // Int. J. Biol. Macromol. 2013. V. 62. P. 225.
- Mollah M.Z.I., Mubarak A. Khan, Hoque M.A. // Carbohydr. Polym. 2008. V. 72. № 2. P. 349.
- Wu Mingyue, Hu Xiangming, Zhang Qian, Zhao Yanyun, He Zhenglong // J. Cleaner Prod. 2020. V. 259. P. 120870.
- Larraneta E., Megan Henry M., Irwin N.J., Trotter J., Perminova A.A. // Carbohydr. Polym. 2018. V. 181. P. 1194.
- Mukherjee D., Azamthulla Md., Santhosh S., Dath G., Ghosh A., Natholia R., Anbu J., Tja B.V., Mazammil K.M. // J. Drug Delivery Sci. Tech. 2018. V. 46. P. 498.
- Li A., Gong T., Yang X., Guo Y. // Int. J. Biol. Macromol. 2020. V. 151. P. 257.
- Niu Y., Xia O., Na Li, Wang Z., Liangli (Lucy) Yu. // Food Chem. 2019. V. 270. P. 223.
- Rapee Khlibsuwan, Watcharee Khunkitti, Thaned Pongjanyakul // Int. J. Biol. Macromol. 2020. V. 1481. P. 1061.
- Wang L., Zhang J.H., Liu X., Liu Y., Zhu X., Liu X., You X. // ACS Appl. Polym. Mater. 2021. V. 3. № 6. P. 3197.
- Long Yu., Dean K., Li L // Progr. Polym. Sci. 2006. № 31. P. 576.
- Травинская Т.В., Пападокостаки K., Савельев Ю.В., Канелопоулос Н. // Reports National Acad. Sci. 2008. № 8. С. 144.
- Гусев И.В. Дис. … канд. техн. наук. М.: МГУ технологий и управления, 2015.
- Gorshkova M.Yu., Volkova I.F., Grigoryan E.S., Valuev L.I. // Polymer Science B. 2020. V. 62. № 6. P. 659.
- Volkova I.F., Gorshkova M.Yu., Ivanov P.E., Stotskaya L.L. // Polym. Adv. Techn. 2002. V. 13. P. 67.
- Наканиси К. Инфракрасные спектры и строение органических соединений. М.: Мир, 1965.
- Беллами Л. Новые данные по ИК-спектроскопии сложных молекул. М.: Мир, 1971.
- Lebedeva T.L., Feldstein M.M., Kuptsov S.A., Plate N.A. // Polymer Science A. 2000. V. 42. № 9. P. 989.
- Сильверстейн Р., Вебстер Ф., Кимл Д. Спектрометрическая идентификация органических соединений. М.: БИНОМ‒Лаборатория знаний, 2011.
- Kavwaguchi S., Kitano T., Ito K. // Macromolecules. 1992. V. 25. № 4. P. 1294.
- Kavwaguchi S., Kitano T., Ito K. // Macromolecules. 1991. V. 24. № 20. P. 6030.
- Горшкова M.Ю., Лебедева T.Л., Червина Л.В., Стоцкая Л.Л. // Высокомолек. соед. A. 1995. Т. 37. № 10. С. 1653.
Дополнительные файлы











