МЕТАКРИЛАТНЫЕ БЛОК-СОПОЛИМЕРЫ С ОДНИМ ТИПОМ ПОДВИЖНЫХ ЗАРЯДОВ. ВЛИЯНИЕ ХИМИЧЕСКОГО СТРОЕНИЯ НА СВОЙСТВА И МОРФОЛОГИЧЕСКУЮ ОРГАНИЗАЦИЮ
- Авторы: Лозинская Е.И.1, Понкратов Д.О.1, Шаплов А.С.2, Малышкина И.А.3, Стрельцов Д.Р.4, Бакиров А.В.4
-
Учреждения:
- Федеральное государственное бюджетное учреждение науки Институт элементоорганических соединений им. А.Н. Несмеянова Российской академии наук
- Luxembourg Institute of Science and Technology 5 Avenue des Hauts-Fourneaux
- Московский государственный университет им. М.В. Ломоносова. Физический факультет
- Институт синтетических полимерных материалов им. Н.С. Ениколопова Российской академии наук
- Выпуск: Том 65, № 1 (2023)
- Страницы: 32-49
- Раздел: ФУНКЦИОНАЛЬНЫЕ ПОЛИМЕРЫ
- URL: https://bakhtiniada.ru/2308-1120/article/view/135333
- DOI: https://doi.org/10.31857/S2308112023700359
- EDN: https://elibrary.ru/UZTUHZ
- ID: 135333
Цитировать
Полный текст
Аннотация
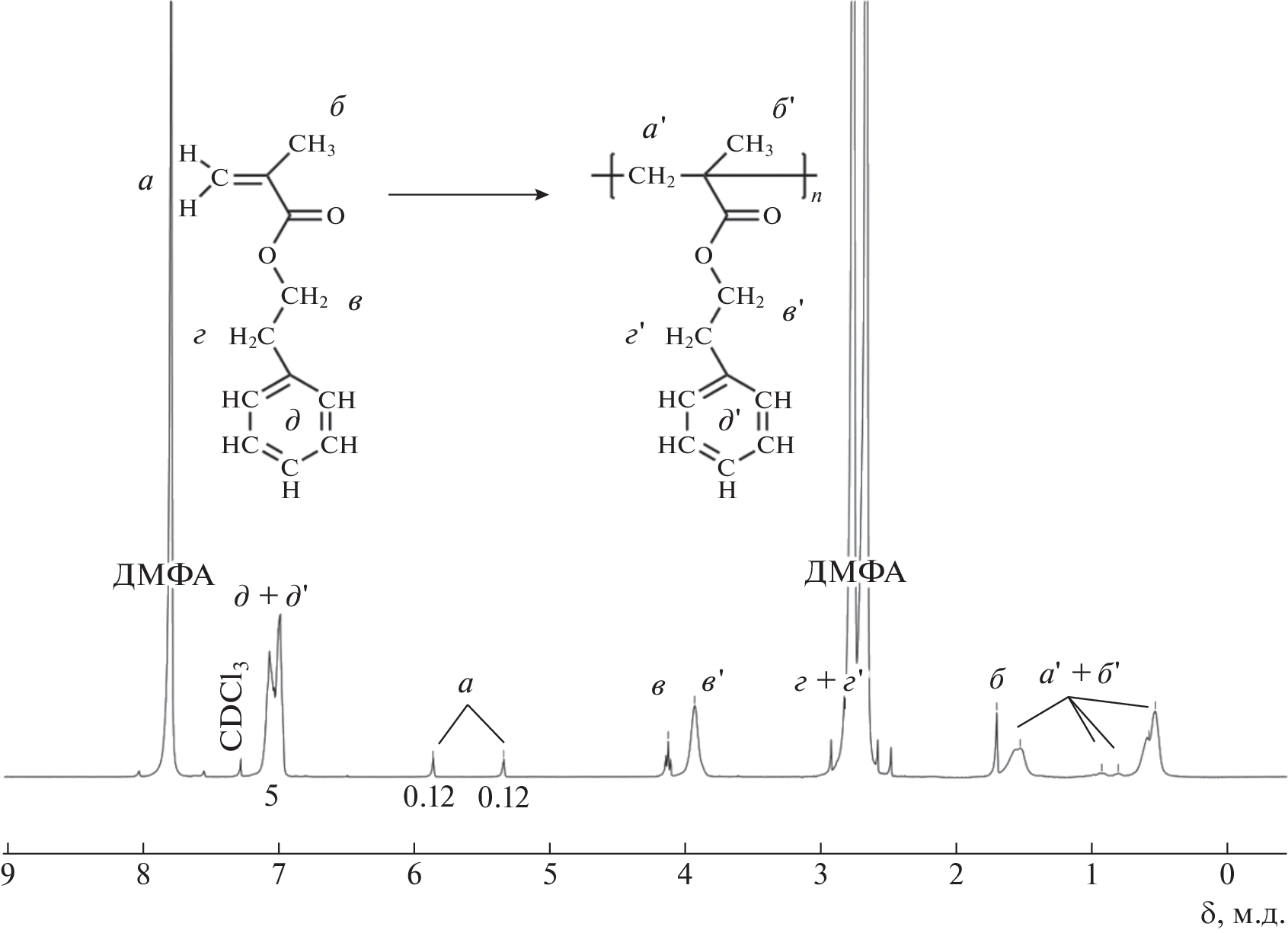
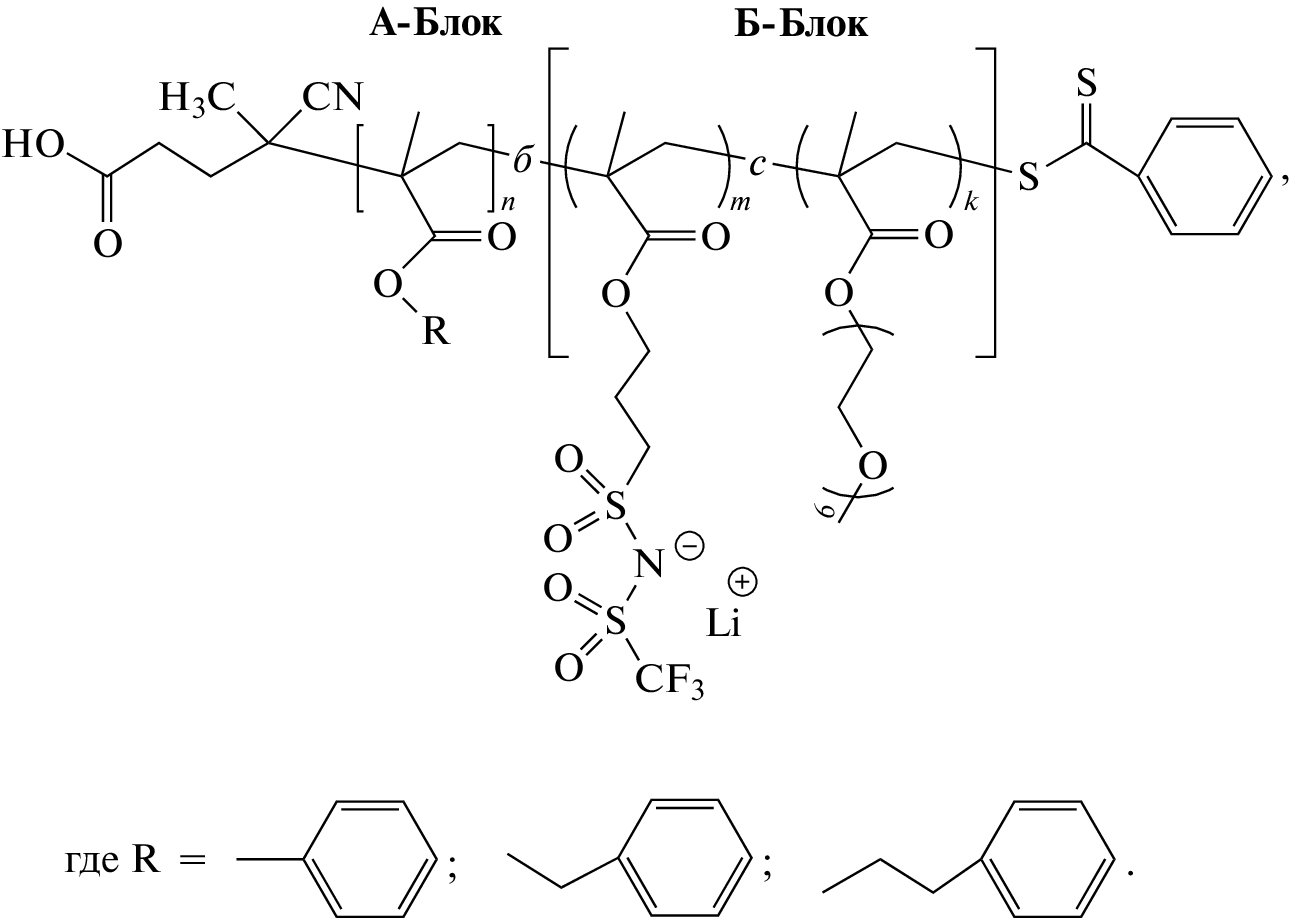
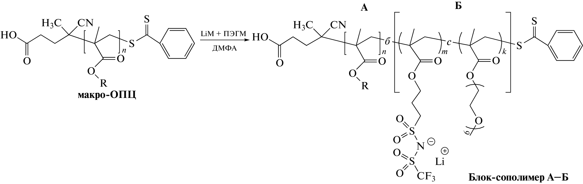
Синтезирован ряд новых анионных сополимеров блочного строения, в которых нейтральный блок образован из 2-фенилэтилметакрилата (ФЭМ), а ионный блок получен статистической сополимеризацией 1-[3-(метакрилоилокси)-пропилсульфонил]-1-(трифторметансульфонил)имида лития (LiM) и метилового эфира полиэтиленгликоль метакрилата (ПЭГМ). Изучено влияние химической структуры, состава и молекулярной массы блоков на ионную проводимость и термические свойства блок-сополимеров (поли[ФЭМ–блок–(LiM–стат–ПЭГМ)]). Методом малоуглового рентгеновского рассеяния установлено, что введение небольшого количества литийсодержащих звеньев (~7 мол. %) в структуру нейтрального сополимера поли[ФЭМ–блок–ПЭГМ] приводит к микрофазному разделению и упорядочению системы. Обобщенные данные малоуглового рентгеновского рассеяния и атомно-силовой микроскопии указывают на образование ламеллярной структуры c межплоскостным расстоянием d ~ 28 нм.
Об авторах
Е. И. Лозинская
Федеральное государственное бюджетное учреждение наукиИнститут элементоорганических соединений им. А.Н. Несмеянова Российской академии наук
Email: helloz@ineos.ac.ru
Россия, 119334, Москва, ул. Вавилова, 28, стр. 1
Д. О. Понкратов
Федеральное государственное бюджетное учреждение наукиИнститут элементоорганических соединений им. А.Н. Несмеянова Российской академии наук
Email: helloz@ineos.ac.ru
Россия, 119334, Москва, ул. Вавилова, 28, стр. 1
А. С. Шаплов
Luxembourg Institute of Science and Technology 5 Avenue des Hauts-Fourneaux
Email: helloz@ineos.ac.ru
Luxembourg, L-4362, Esch-sur-Alzette
И. А. Малышкина
Московский государственный университет им. М.В. Ломоносова. Физический факультет
Email: helloz@ineos.ac.ru
Россия, 119991, Москва, Ленинские горы, 1, стр. 2
Д. Р. Стрельцов
Институт синтетических полимерных материалов им. Н.С. Ениколопова Российской академии наук
Email: helloz@ineos.ac.ru
Россия, 117393, Москва, ул. Профсоюзная, 70
А. В. Бакиров
Институт синтетических полимерных материалов им. Н.С. Ениколопова Российской академии наук
Автор, ответственный за переписку.
Email: helloz@ineos.ac.ru
Россия, 117393, Москва, ул. Профсоюзная, 70
Список литературы
- Armand M., Axmann P., Bresser D., Copley M., Edström K., Ekberg Ch., Guyomard D., Lestriez B., Nov’ak P., Petranikova M., Porche W., Trabesinger S., Wohlfahrt-Mehrens M., Zhang H. // J. Power Sources. 2020. V. 479. P. 228708.
- Manthiram A. // Nat. Commun. 2020. V. 11. P. 1550.
- Zhang H., Li Ch., Piszcz M., Coya E., Rojo T., Rodriguez-Martinez L.M., Armand M., Zhou Z. // Chem. Soc. Rev. 2017. V. 46. № 3. P. 797
- Ibrahim H., Ilinca A., Perron J. // Renew. Sustain. Energy Rev. 2008. V. 12. № 5. P. 1221.
- Xu K. // Chem. Rev. 2004. V. 104. № 10. P. 4303.
- Hammami A., Raymond N., Armand M. // Nature. 2003. V. 424. № 6949. P. 635.
- Voropaeva D.Yu., Novikova S.A., Yaroslavtsev A.B. // Russ. Chem. Rev. 2020. V. 89. № 10. P. 1132.
- Jiang Y., Yan X., Ma Zh., Mei P., Xiao W., You Q., Zhang Y. // Polymers. 2018. V. 10. № 11. P. 1237.
- Forsyth M., Porcarelli L., Wang X., Goujon N., Mecerreyes D. // Acc. Chem. Res. 2019. V. 52. № 3. P. 686.
- Fergus J.W. // J. Power Sources. 2010. V. 195. № 15. P. 4554.
- Sua T.-T., Le J.-B., Ren W.-F., Zhang Sh.-J., Yuan J.-M., Wang K., Shao Ch.-Y., Li J.-T., Sun Sh.-G., Sun R.-C. // J. Power Sources. 2022. V. 521. P. 230949.
- Mauger A., Julien C.M., Goodenough J.B., Zaghib K. // J. Electrochem. Soc. 2020. V. 167. № 7. P. 070507.
- Chen G., Niu Ch., Chen Y., Shang W., Qu Y., Du Zh., Zhao L., Liao X., Du J., Chen Y. // Solid State Ionics. 2019. V. 341. P. 115048.
- Bouchet R., Maria S., Meziane R., Aboulaich A., Lienafa L., Bonnet J.-P., Phan T.N.T., Bertin D., Gigmes D., Devaux D., Denoyel R., Armand M. // Nat. Mater. 2013. V. 12. P. 452.
- Zhang Y., Lim C.A., Cai W., Rohan R., Xu G., Sun Y., Cheng H. // RSC Adv. 2014. V. 4. № 83. P. 43857.
- Jangu C., Savage A.M., Zhang Z., Schultz A.R., Madsen L.A., Beyer F.L., Long T.E. // Macromolecules. 2015. V. 48. № 13. P. 4520.
- Long L., Wang Sh., Xiao M., Meng Y. // J. Mater. Chem. A. 2016. V. 4. № 26. P. 10038.
- Ma Q., Zhang H., Zhou C., Zheng L., Cheng P., Nie J., Feng W., Hu Y.-S., Li H., Huang X., Chen L., Armand M., Zhou Z. // Angew. Chem. Int. Ed. 2016. V. 55. № 7. P. 2521.
- Elmore C.T., Seidler M.E., Ford H.O., Merrill L.C., Upadhyay S.P., Schneider W.F., Schaefer J.L. // Batteries. 2018. V. 4. № 2. P. 28.
- Zhang M., Yu S., Mai Y., Zhang Sh., Zhou Y. // Chem. Commun. 2019. V. 55. P. 6715.
- Zhang B., Zheng C., Sims M.B., Bates F.S., Lodge T.P. // ACS Macro Lett. 2021. V. 10. P. 1035.
- Shim J., Bates F.S., Lodge T.P. // Nat. Commun. 2019. V. 10. P. 2108.
- Pantazidis C., Andreou S., Nikolakakou G., Glynos E., Sakellariou G. // Polym. Chem. 2022. V. 13. № 14. P. 1997.
- Lingua G., Grysan P., Vlasov P.S., Verge P., Shaplov A.S., Gerbaldi C. // Macromolecules. 2021. V. 54. P. 6911.
- Lozinskaya E.I., Ponkratov D.O., Malyshkina I.A., Grysan P., Lingua G., Gerbaldi C., Shaplov A.S., Vygodskii Y.S. // Electrochim. Acta. 2022. V. 413. P. 140126.
- Porcarelli L., Shaplov A.S., Bella F., Nair J.R., Mecerreyes D., Gerbaldi C. // ACS Energy Lett. 2016. V. 1. № 4. P 678.
- Porcarelli L., Shaplov A.S., Salsamendi M., Nair J.R., Vygodskii Y.S., Mecerreyes D., Gerbaldi C. // ACS Appl. Mater. Interfaces. 2016. V. 8. № 16. P 10350.
- Porcarelli L., Aboudzadeh M.A., Rubatat L., Nair J.R., Shaplov A.S., Gerbaldi C., Mecerreyes D. // J. Power Sources. 2017. V. 364. P. 191.
- Sadoway D.R. // J. Power Sources. 2004. V. 129. P. 1.
- Chen T.-L., Sun R., Willis C., Morgan B.F., Beyer F.L., Elabd Y.A. // Polymer. 2019. V. 161. P. 128.
- Bouchet R., Phan T.N.T., Beaudoin E., Devaux D., Davidson P., Bertin D., Denoyel R. // Macromolecules. 2014. V. 47. № 8. P. 2659.
- Singh M., Odusanya O., Wilmes G.M., Eitouni H.B., Gomez E.D., Patel A.J., Chen V.L., Park M.J., Fragouli P., Iatrou H., Hadjichristidis N., Cookson D., Balsara N.P. // Macromolecules. 2007. V. 40. № 13. P. 4578.
- Chen T.-L., Lathrop P.M., Sun R., Elabd Y.A. // Macromolecules. 2021. V. 54. № 18. P. 8780.
- Abetz V., Goldacker T. // Macromol. Rapid Commun. 2000. V. 21. № 1. P. 16.
- Matsen M.W., Thompson R.B. // J. Chem. Phys. 1999. V. 111. № 15. P. 7139.
- Ye Y., Choi J.-H., Winey K.I., Elabd Y.A. // Macromolecules. 2012. V. 45. № 17. P. 7027.
- Weber R.L., Ye Y., Schmitt A.L., Banik S.M., Elabd Y.A., Mahanthappa M.K // Macromolecules. 2011. V. 44. № 14, 5727.
- Moad G., Rizzardo E., Thang S.H. // Aust. J. Chem. 2012. V. 65. № 8. P. 985.
- Moad G., Rizzardo E., Thang S.H. // Mater. Matters. 2010. V. 5. № 1. P. 2.
- Perrier S. // Macromolecules. 2017. V. 50. № 19. P. 7433.
- Keddie D.J. // Chem. Soc. Rev. 2014. V. 43. № 2. P. 496.
- Chernikova E.V., Sivtsov E.V. // Polymer Science B. 2017. V. 59. № 2. P. 117.
- Osada I., deVries H., Scrosati B., Passerini S. // Angew. Chem. Int. Ed. 2016. V. 55. № 2. P. 500.
- Sinha K., Wang W., Winey K.I., Maranas J.K. // Macromolecules. 2012. V. 45. № 10. P. 4354.
- Ярмоленко О.В., Хатмуллина К.Г. // Альтернативная энергетика и экология. 2010. Т. 3. № 83. С. 59.
- Nečas D., Klapetek P. // Cent. Eur. J. Phys. 2012. V. 10. № 1. P. 181.
- Lowe A.B. // Polymer. 2016. V. 106. P. 161.
- Pei Y., Lowe A.B. // Polym. Chem. 2014. V. 5. № 7. P. 2342.
- Lee H., Tae G., Kim Y.H. // Macromol. Res. 2008. V. 16. № 7. P. 614.
- Bates F.S. // Science. 1991. V. 251. № 4996. P. 898.
- Sing C., Zwanikken J., Olvera de la Cruz M. // Nature Mater. 2014. V. 13. P. 694.
- Meek K.M., Elabd. Y.A. // J. Mater. Chem. A. 2015. V. 3. № 48. P. 24187.
- Meek K.M., Sharick S., Ye Y., Winey K.I., Elabd Y.A. // Macromolecules. 2015. V. 48. № 14. P. 4850.
Дополнительные файлы




















