Binding of Curcumin to Star Polyoxazolines in Aqueous Solutions
- Authors: Blokhin A.N.1, Kozina N.D.1, Razina A.B.1, Tenkovtsev A.V.1
-
Affiliations:
- Institute of Macromolecular Compounds, Russian Academy of Sciences
- Issue: Vol 65, No 1 (2023)
- Pages: 27-31
- Section: СТРУКТУРА И СВОЙСТВА
- URL: https://bakhtiniada.ru/2308-1120/article/view/135330
- DOI: https://doi.org/10.31857/S2308112023700293
- EDN: https://elibrary.ru/UYWBLS
- ID: 135330
Cite item
Full Text
Abstract
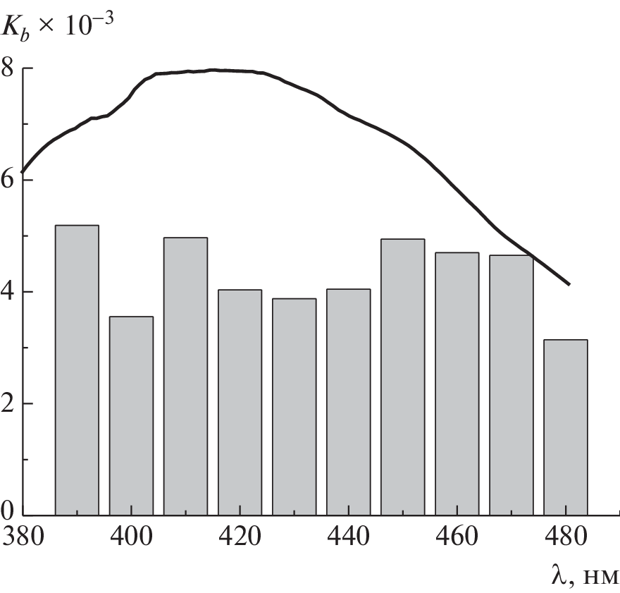
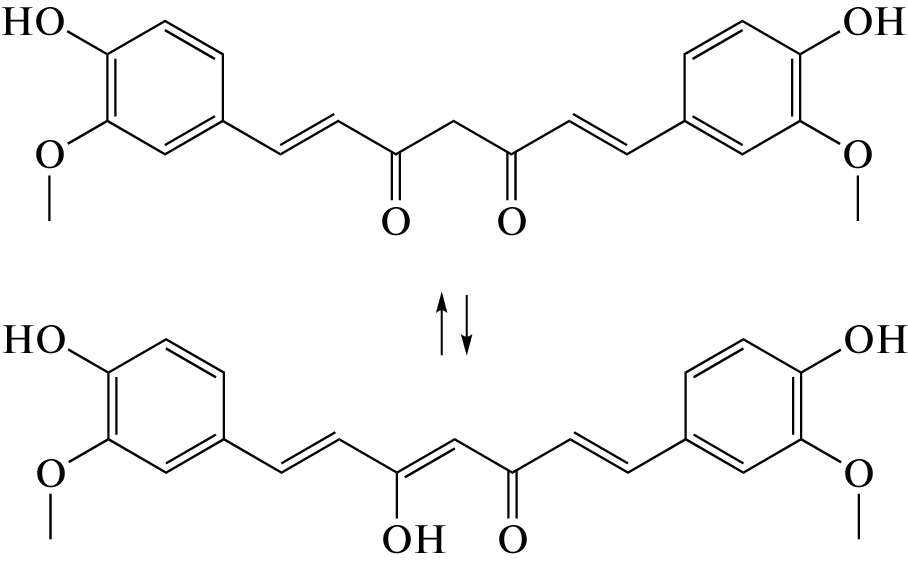
The binding of the biologically active natural dye curcumin by star-shaped poly-2-alkyl-2-oxazolines of various structures in an aqueous medium has been studied by spectrophotometry in the ultraviolet and visible regions. The objects of study were synthesized and previously described four- and eight-armed star-shaped poly-2-alkyl-2-oxazolines with calixarene central units. The Benesi–Hildebrand method was used to determine the binding constants of dye molecules by polymer micelles. The results obtained demonstrate highly efficient binding of curcumin by polymer macromolecules and micelles in aqueous solutions. It has been shown that the efficiency of curcumin binding by star polyoxazolines is determined to a greater extent by the structure of the hydrophobic calixarene central unit, rather than the nature of polyoxazoline arms.
About the authors
A. N. Blokhin
Institute of Macromolecular Compounds, Russian Academy of Sciences
Email: blokhin_an@hq.macro.ru
199004, St. Petersburg, Russia
N. D. Kozina
Institute of Macromolecular Compounds, Russian Academy of Sciences
Email: blokhin_an@hq.macro.ru
199004, St. Petersburg, Russia
A. B. Razina
Institute of Macromolecular Compounds, Russian Academy of Sciences
Email: blokhin_an@hq.macro.ru
199004, St. Petersburg, Russia
A. V. Tenkovtsev
Institute of Macromolecular Compounds, Russian Academy of Sciences
Author for correspondence.
Email: blokhin_an@hq.macro.ru
199004, St. Petersburg, Russia
References
- Goel A., Kunnumakkara A.B., Aggarwal B.B. // Biochem. Pharmacol. 2008. V. 75. P. 787.
- Xu P.H., Long Y., Dai F., Liu Z.L. // Vasc. Pharmacol. 2007. V. 47. P. 25.
- Zorofchian Moghadamtousi S., Abdul Kadir H., Hassandarvish P., Tajik H., Abubakar S., Zandi K. // BioMed Res. Int. 2014. V. 2014. P. 186864.
- Jagetia G.C., Aggarwal B.B. // J. Clin. Immunol. 2007. V. 27. P. 19.
- Shin G.H., Li J., Cho J.H., Kim J.T., Park H.J. // J. Food Sci. 2016. V. 81. P. 494.
- Moussa Z., Hmadeh M., Abiad M.G., Dib O.H., Patra D. // Food Chem. 2016. V. 212. P. 485.
- Drakalska E., Momekova D., Manolova Y., Budurova D., Momekov G., Genova M., Antonov L., Lambov N., Rangelov S. // Int. J. Pharm. 2014. V. 472. P. 165–174.
- Blokhin A.N., Razina A.B., Bursian A.E., Ten’kovtsev A.V. // Polymer Science B. 2021. V. 63. № 1. P. 52.
- Blokhin A.N., Razina A.B., Tenkovtsev A.V. // Key Eng. Mater. 2021. V. 899. P. 300.
- Ahmed M., Qadir M.A., Shafiq M.I., Muddassar M., Hameed A., Arshad M.N., Asiri A.M. // Acta Pharm. 2017. V. 67. P. 385.
- Соколова Ю.Д., Челнакова П.Н., Коновалов Е.В. // Universum: химия и биология. 2016. № 12 (30).
- Amirova A., Tobolina A., Kirila T., Blokhin A., Razina A., Tenkovtsev A., Filippov A. // Int. J. Polym. Anal. Charact. 2018. V. 23. P. 278.
- Amirova A., Blokhin A., Razina A., Tenkovtsev A., Filippov A. // Mendeleev Commun. 2019. V. 29. P. 472.
- Amirova A.I., Kirila T.U., Blokhin A.N., Razina A.B., Bursian A.E., Tenkovtsev A.V., Filippov A.P. // Mendeleev Commun. 2020. V. 30. P. 502.
- Kirila T. Amirova, A., Blokhin A., Tenkovtsev A., Filippov A. // Polymers. 2021. V. 13. P. 2507.
- Lebed A.S., Yefimova S.L., Guralchuk G.Ya., Sorokin A.V., Borovoy I.A., Malyukin Yu.V. // Biophysichny Vestnik. 2010. V. 24. P. 46.
- Mareeswaran P.M., Babu E., Sathish V., Kim B., Woob S.I., Rajagopala S. // New J. Chem. 2014. V. 38. P. 1336.
- Wang R., Yu Z. // Acta Phys.-Chim. Sin. 2007. V. 23. P. 1353.
- Nafisi S., Adelzadeh M., Norouzi Z., Sarbolouki M.N. // DNA Cell Biol. 2009. V. 28. P. 201.
- Mohammadi F., Bordbar A.K., Divsalar A., Mohammadi K., Saboury A.A. // Protein J. 2009. V. 28. P. 189.
Supplementary files







