Thermodynamics of Interaction between Poly(perfluorosulfonic acid) Nafion and Water
- Authors: Chernyuk S.D.1,2, Safronov A.P.1,3, Adamova L.V.1, Bushkova O.V.2,4
-
Affiliations:
- Ural Federal University named after the first President of Russia B. N. Eltsin
- Institute of Solid State Chemistry, Urals Branch, Russian Academy of Sciences
- Institute of Electrophysics, Urals Branch, Russian Academy of Sciences
- Institute of Problems of Chemical Physics, Russian Academy of Sciences
- Issue: Vol 65, No 2 (2023)
- Pages: 85-94
- Section: РАСТВОРЫ
- URL: https://bakhtiniada.ru/2308-1120/article/view/135320
- DOI: https://doi.org/10.31857/S2308112023700463
- EDN: https://elibrary.ru/ZGTYUI
- ID: 135320
Cite item
Full Text
Abstract
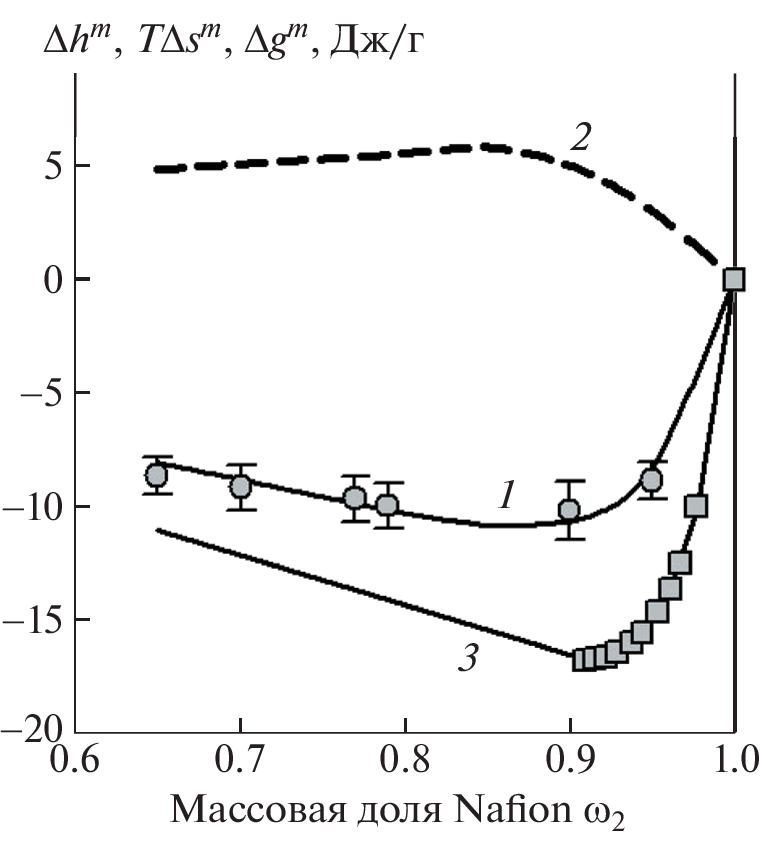
The thermodynamics of interaction between poly(perfluorosulfonic acid) Nafion and water is studied by isothermal sorption and microcalorimetry. The concentration dependences of energy and entropy parameters of mixing of Nafion aqueous solutions are determined. It is shown that the Gibbs energy and the enthalpy of mixing are negative while the entropy of mixing is positive over the entire range of solution compositions. The experimental water sorption isotherms and the concentration dependences of the enthalpy of dilution of aqueous solutions are analyzed in terms of the thermodynamic model allowing for pair nonvalence interactions in solution, nonequilibrium glassy structure of the polymer, and effects of the dissociation of ionic sulfo groups of Nafion. The calculated value of the Flory–Huggins parameter is 1.48, and the value of its enthalpy component is close to zero.
About the authors
S. D. Chernyuk
Ural Federal University named after the first President of Russia B. N. Eltsin; Institute of Solid State Chemistry, Urals Branch, Russian Academy of Sciences
Email: univerekb@mail.ru
620020, Yekaterinburg, Russia; 620049, Yekaterinburg, Russia
A. P. Safronov
Ural Federal University named after the first President of Russia B. N. Eltsin; Institute of Electrophysics, Urals Branch, Russian Academy of Sciences
Email: univerekb@mail.ru
620020, Yekaterinburg, Russia; 620016, Yekaterinburg, Russia
L. V. Adamova
Ural Federal University named after the first President of Russia B. N. Eltsin
Email: univerekb@mail.ru
620020, Yekaterinburg, Russia
O. V. Bushkova
Institute of Solid State Chemistry, Urals Branch, Russian Academy of Sciences; Institute of Problems of Chemical Physics, Russian Academy of Sciences
Author for correspondence.
Email: univerekb@mail.ru
620049, Yekaterinburg, Russia; 142432, Chernogolovka, Moscow oblast, Russia
References
- Kusoglu A., Weber A.Z. // Chem. Rev. 2017. V. 117. № 3. P. 987.
- Kim J., Yamasaki K., Ishimoto H., Takata Y. // Polymers. 2020. V. 1. № 3. P. 1730.
- Mazzapioda L., Lo Vecchio C., Danyliv O., Baglio V., Martinelli A., Navarra M. A. // Polymers. 2020. V. 12. № 3. P. 2019.
- Haubold H.G., Vad T., Jungbluth H., Hiller P. // Electrochim. Acta. 2001. V. 46. № 10. P. 1559–1563.
- Yeager H.L., Eisenberg A. // ACS Symp. Ser. Washington: ACS, 1982. V. 180. Ch. 4. P. 41.
- Schmidt-Rohr K., Chen Q. // Nature Mater. 2008. V. 7. P. 75.
- Ivanova N.A., Spasov D.D., Grigoriev S.A., Fateev V.N. // Polymers. 2022. V. 14. № 20. P. 4395.
- Thampan T., Malhotra S., Tang H., Datta R. // J. Electrochem. Soc. 2000. V. 147. № 9. P. 3242.
- Morris D.R., Sun X. // J. Appl. Polym. Sci. 1993. V. 50. № 8. P. 1445.
- Pineri M., Volino F., Escoubes M. // J. Polym. Sci., Polym. Phys. 1985. V. 23. № 10. P. 2009.
- Zawodzinski T.A., Springer T.E., Davey J., Jestel R., Lopez C., Valerio J., Gottesfeld S. // J. Electrochem. Soc. 1993. V. 140. № 7. P. 1981.
- Laporta M., Pegoraro M., Zanderighi L. // Polym. Chem. Chem. Phys. 1999. V. 1. № 19. P. 4619.
- Zawodzinski T.A., Derouin C., Radzinski S., Sherman R.J., Smith V.T., Springer T.E., Gottesfeld S. // J. Electrochem. Soc. 1993. V. 140. № 4. P. 1041.
- James P.J., Elliott J.A., McMaster T.J., Newton J.M., Elliott A.M., Hanna S., Miles M.J. // J. Mater. Sci. 2000. V. 35. № 20. P. 5111.
- Hinatsu J.T., Mizuhata M., Takenaka H. // J. Electrochem. Soc. 1994. V. 141. № 6. P. 1493.
- Vallieres C., Winkelmann D., Roizard D., Favre E., Scharfer P., Kind M. // J. Membr. Sci. 2006. V. 278. № 1–2. P. 357.
- Choi P., Datta R. // ACS Div. Fuel Chem. Prepr. 2003. V. 48. № 1. P. 300.
- Weber A.Z., Newman J. // J. Electrochem. Soc. A 2004. V. 151. № 2. P. 311.
- Reucroft P.J., Rivin D., Schneider N.S. // Polymer. 2002. V. 43. № 19. P. 5157.
- Benoit R.L., Figeys D. // Can. J. Chem. 1991. V. 69. № 12. P. 1985.
- Noppel M. // J. Geophys. Res.: Atmospheres. 2000. V. 105. № 15. P. 19779.
- Newsham D.M.T., Mendez-Lecanda E.J. // J. Chem. Thermodyn. 1982. V. 14. № 3. P. 291.
- Ostrovskii V.E., Gostev B.V. // J. Therm. Anal. 1996. V. 46. № 2. P. 397.
- Kusoglu A., Savagatrup S., Clark K.T., Weber A.Z. // Macromolecules. 2012. V. 45. № 18. P. 7467.
- Kim M.H., Glinka C.J., Grot S.A., Grot W.G. // Macromolecules. 2006. V. 39. № 14. P. 4775.
- Shi S.W., Dursch T.J., Blake C., Mukundan R., Borup R.L., Weber A.Z., Kusoglu A. // J. Polym. Sci., Polym. Phys. 2016. V. 54. № 5. P. 570.
- Li J.S., Yang X., Tang H.L., Pan M. // J. Membr. Sci. 2010. V. 361. № 1–2. P. 38.
- Safronov A.P., Adamova L.V. // Polymer Science A. 2002. V. 44. № 4. P. 408.
- Safronov A.P., Terziyan T.V. // Polymer Science A. 2008. V. 50. № 7. P. 733.
- Yeo R.S. // Polymer. 1980. V. 21. № 4. P. 432.
- Mourey T.H., Slater L.A., Galipo R.C., Koestner R.J. // J. Chromatogr. A. 2011. V. 1218. № 34. P. 5801.
- Чалых А.Е., Герасимов В.К., Чертков В.Г. // Высокомолек. соед. Б. 1994. Т. 36. № 12. С. 2077.
- Тагер А.А. Физико-химия полимеров. М.: Рипол Классик, 1978.
- Safronov A.P., Adamova L.V., Blokhina A.S., Kamalov I.A., Shabadrov P.A. // Polymer Science A. 2015. V. 57. № 1. P. 33.
- Chu D., Tryk D., Gervasio D., Yeager E.B. // J. Electroanal. Chem. 1989. V. 272. № 1–2. P. 277.
- Choi P., Jalani N.H., Datta R. // J. Electrochem. Soc. 2005. V. 152. № 3. E123.
- Wang D., Cornelius C.J. // J. Polym. Sci., Polym. Phys. 2017. V. 55. № 5. P. 435.
- Shinoda K. // J. Phys. Chem. 1977. V. 81. № 13. P. 1300.
Supplementary files








