Effect of Oxidation Temperature on the Crystalline Phase of Polypropylene in Composites with Single-Walled Carbon Nanotubes
- 作者: Palaznik O.M.1, Nedorezova P.M.1, Krasheninnikov V.G.1
-
隶属关系:
- Semenov Federal Research Center for Chemical Physics, Russian Academy of Sciences
- 期: 卷 65, 编号 4 (2023)
- 页面: 296-305
- 栏目: КОМПОЗИТЫ
- URL: https://bakhtiniada.ru/2308-1120/article/view/135316
- DOI: https://doi.org/10.31857/S2308112023700591
- EDN: https://elibrary.ru/VEFJEZ
- ID: 135316
如何引用文章
全文:
详细
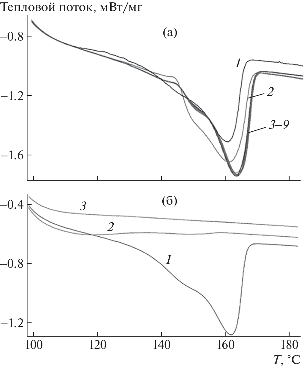
The effect of thermal oxidation on the crystalline phase of polypropylene in composites with single-walled carbon nanotubes has been studied. The composites are synthesized in propylene bulk using a homogeneous catalytic system rac-Me2Si(2-Me-4PhInd)2ZrCl2, activated by methylaluminoxane. The effect of thermal oxidation on thermophysical characteristics (the heat of melting and the melting temperature) measured by DSC and changes occurring in the polymer investigated by IR spectroscopy is studied. Changes in the structure of PP during thermo-oxidative degradation are studied by DSC at 140 and 170°С, that is, before and after melting of the samples. It is shown that the oxidized PP in the composites possesses a higher degree of crystallinity and a more perfect structure than the pure PP. At 170°С the effect of thermo-oxidative stabilization is observed only at low filling degrees (up to 3 wt %), in agreement with the TGA data. An analysis of IR spectra demonstrates that the presence of nanotubes in PP‑based composites during oxidation slows down the formation of oxygen-containing groups in the polymer. The conclusion is made that carbon nanotubes inhibit the thermal oxidation of polypropylene in the composites.
作者简介
O. Palaznik
Semenov Federal Research Center for Chemical Physics, Russian Academy of Sciences
Email: polned@mail.ru
119991, Moscow, Russia
P. Nedorezova
Semenov Federal Research Center for Chemical Physics, Russian Academy of Sciences
Email: polned@mail.ru
119991, Moscow, Russia
V. Krasheninnikov
Semenov Federal Research Center for Chemical Physics, Russian Academy of Sciences
编辑信件的主要联系方式.
Email: polned@mail.ru
119991, Moscow, Russia
参考
- Fang Z., Song P., Tong L., Guo Z. // Thermochim. Acta. 2008. V. 473. № 1–2. P. 106.
- Junlong Yang, Yajiang Huang, Yadong Lv, Pengfei Zhao, Qi Yang, Guangxian Li // J. Mater. Chem. A. 2013. V. 1. P. 11184.
- Gopakumar T.G., Page D.J.Y.S. // Polym. Eng Sci. 2004. V. 44. P. 1162.
- Jun Y.-S., Um J.G., Jiang G., Yu A. // Polym. Lett. 2018. V. 12. № 10. P. 885.
- Капачаускене Я.П., Юревичене Р.П., Шляпников Ю.А. // Кинетика и катализ. 1967. Т. 8. № 1. С. 212.
- Verdejo R., Bernal M.M., Romasanta L.J., Lopez’Man’chado M.A. // J. Mater. Chem. 2011. V. 21. P. 3301.
- Шляпников Ю.А., Кирюшкин С.Г., Марьин А.П. Антиокислительная стабилизация полимеров. М.: Химия, 1988.
- He Y., Fan D., Chen J., Zhao J., Lv Y., Huang Y., Li G., Kong M. // Polym. Adv. Technol. 2022. V. 33. № 2. P. 503.
- Галимов И., Газеева Д.Р., Булгаков Р.Г. // Изв. РАН. Сер. хим. 2011. № 10. С. 2070.
- Watts P., Fearon P., Hsu W., Billingham N., Kroto H., Walton D. // J. Mater. Chem. 2003. V. 13. P. 491.
- Zeinalov E.B., Kosmehl G. // Polym. Degrad. Stab. 2001. V. 71. P. 197.
- Yang J., Huang Y., Lu Y., Li S., Yang Q., Li G. // Carbon. 2015. V. 89. P. 340.
- Nedorezova P.M., Shevchenko V.G., Shchegolikhin A.N., Tsvetkova V.I., Korolev Yu.M. // Polymer Science A. 2004. V. 46. № 3. P. 242.
- Koval’chuk A.A., Shchegolikhin A.N., Shevchenko V.G., Nedorezova P.M., Klyamkina A.N., Aladyshev A.M. // Macromolecules. 2008. V. 41. № 9. P. 3149.
- Kostandov L.A., Enikolopov N.S., Dyachkovsky F.S. // Pat. 4241112 USA. 1980.
- Дьячковский Ф.С., Новокшонова Л.А. // Успехи химии. 1984. Т. 53. № 2. С. 200.
- Монахова Т.В., Недорезова П.М., Богаевская Т.А., Цветкова В.И., Шляпников Ю.А. // Высокомолек. соед. А. 1988. Т. 30. № 11. С. 2415.
- Pol’shchikov S.V., Nedorezova P.M., Klyamkina A.N., Krashenninikov V.G., Aladyshev A.M., Shchegolikhin A.N., Shevchenko V.G., Sinevich E.A., Monakhova T.V., Muradyan V.E. // Nanotechnol. Russia. 2013. V. 8. № 1–2. P. 8027.
- Polschikov S.V., Nedorezova P.M., Monakhova T.V., Klyamkina A.N., Shchegolikhin A.N., Krasheninnikov V.G., Muradyan V.E., Popov A.A., Margolin A.L. // Polymer Science B. 2013. V. 55. № 5–6. P. 286.
- Monakhova T.V., Nedorezova P.M., Pol’shchikov S.V., Popov A.A., Margolin A.L. // Russ. J. Phys. Chem. B. 2014. V. 8. № 6. P. 874.
- Achaby M.E., Arrakhiz F.-E., Vaudreuil S., Qaiss A.K., Bousmina M., Fassi-Fehri O. // Polym. Compos. 2012. P. 733.
- Margolin A.L., Monakhova T.V., Nedorezova P.M., Klyamkina A.N., Polschikov S.V. // Polym. Degradat. Stab. 2018. V. 156. P. 59.
- Spaleck W., Kuber F., Winter A., Rohrmann J., Bochmann B., Antberg M., Dolle V., Paulus E.F. // Organometallics. 1994. V. 13. P. 954.
- Kaminsky W., Funck A. // Macromolecules. 2007. № 260. P. 1.
- Alexandre M., Martin E., Dubois P., Mart M.G., Jerome R. // Chem. Mater. 2001. V. 13. № 2. P. 236.
- Kaminsky W. // Front. Chem. Sci. Eng. 2018. V. 12. № 3. P. 555.
- Palaznik O.M., Nedorezova P.M., Shevchenko V.G., Krasheninnikov V.G., Monakhova T.V., Arbuzov A.A. // Polymer Science B. 2021. V. 63. № 2. P. 161.
- Мартынов М.А., Валегжанина К.А. // Высокомолек. соед. 1966. Т. 8. № 3. С. 376.
- Shibryaeva L.S., Shatalova O.V., Krivandin A.V., Petrov O.B., Korzh N.N., Popov A.A.// Polymer Science A. 2003. V. 45. № 3. P. 244.
- Emanuel N.M., Buchachenko A.L. Chemical Physics of Polymer Degradation and Stabilization. Utrecht, The Netherland: VNU Science Press, 1987.
- Shibryaeva L.S., Rishina L.A., Shatalova O.V., Krivandin A.V. // Polymer Science B. 2011. V. 53. № 11–12. P. 618.
补充文件












