Уравнения возбуждения продольно–азимутально нерегулярных волноводов с учетом конечной проводимости стенок
- Авторы: Кравченко В.Ф.1,2, Кураев А.А.3, Матвеенко В.В.3
-
Учреждения:
- Институт радиотехники и электроники им. В. А. Котельникова РАН
- МГТУ им. Н. Э. Баумана
- Белорусский государственный университет информатики и радиоэлектроники
- Выпуск: Том 13, № 3 (2024)
- Страницы: 22-29
- Раздел: МАТЕМАТИЧЕСКОЕ МОДЕЛИРОВАНИЕ ФИЗИЧЕСКИХ ПРОЦЕССОВ
- URL: https://bakhtiniada.ru/2225-4293/article/view/294146
- DOI: https://doi.org/10.25210/jfop‑2403-TEGGJT
- EDN: https://elibrary.ru/TEGGJT
- ID: 294146
Цитировать
Полный текст
Аннотация
Сформулированы уравнения возбуждения продольно-азимутально нерегулярных волноводов с учетом потерь в стенках. Внутренняя поверхность стенок волновода задается произвольной гладкой функцией b(φ, z). Используется метод преобразования координат – исходная цилиндрическая система координат (r, φ, z) заменяется новой (ρ, φ, z), где ρ=r/b(φ, z). В новой системе граница волновода определяется как ρ=1=const, т. е. геометрия волновода – регулярный цилиндр. Для такого волновода полная система собственных функций известна. С учетом этих функций для определения амплитуд парциальных волн применяется стандартная процедура неполного метода Галеркина. Полученные общие уравнения могут быть использованы при расчете и оптимизации как электронных приборов СВЧ и КВЧ различных типов, так и пассивных устройств СВЧ разнообразного применения.
Полный текст
Введение
Теория возбуждения и распространения волн в произвольно нерегулярных прямолинейных волноводах (продольно-азимутально нерегулярных волноводах) является основой моделирования и оптимизации как пассивных устройств СВЧ [1–9], так и электронных приборов СВЧ и КВЧ: релятивистских ЛОВ-ЛБВ [3, 10], гиротронов, гиро-ЛБВ [11, 12]. Однако в настоящее время развита теория возбуждения лишь продольно-нерегулярных волноводов [13–17]. Отсутствие в теории возбуждения продольно-азимутально нерегулярных волноводов электронными потоками сдерживает моделирование и, соответственно, разработку высокоорбитных гирорезонансных приборов миллиметрового диапазона, приборов О-типа и Е-типа (приборы с электростатической фокусировкой, как в гелитроне), где для повышения селекции мод требуется использование ребристых, в том числе продольно-азимутально нерегулярных волноводных систем. В статье обобщена теория, изложенная в [14–17], для случая, когда внутренняя граница волновода . Ниже приводятся примеры комплектаций нерегулярных волноводных систем.
1. Постановка задачи
Рассмотрим продольно-азимутально нерегулярный волновод, его внутренняя граница задается произвольной кусочно-гладкой функцией (рис. 1). Преобразуем исходную цилиндрическую систему координат в новую , где . При переходе от исходной системы координат к неортогональной радиус-вектор внутренней точки может быть задан как В векторной форме уравнения Максвелла в неортогональной системе координат имеют вид
; (1)
. (2)
Рис. 1. Примеры продольно-азимутально нерегулярных волноводов, где их внутренняя граница задается кусочно-гладкой функцией.
Физические компоненты вектора могут быть записаны следующим образом:
(3)
Компоненты векторов записываются аналогично В соответствии с (3) плотности токов и в уравнениях (1) и (2) должны выражаться через физические компоненты.
Представим это на примере
(4)
В системе координат внутренняя граница продольно-азимутально нерегулярного волновода преобразуется в регулярный цилиндр с внутренней границей . Таким образом, граничные условия для уравнений (1), (2) в системе координат в случае конечной проводимости стенок приобретают простейший вид
, (5)
где ; — волновое сопротивление стенки волновода, ; , — магнитная проницаемость и удельная проводимость; f — рабочая частота; — метрический тензор, компоненты которого имеют вид:
2. Вывод уравнений возбуждения продольно-азимутально нерегулярного волновода электронными потоками
Представим решение уравнений (1)–(3) в виде
(6)
Для (6) использована следующая система базисных функций:
(7)
где — функции Бесселя 1-го рода n-го порядка; ; .Для проекций используем комплексно-сопряженную систему базисных функций:
(8)
Комплексные амплитуды находим из модифицированных уравнений проекций, приведенных в [16, 17], с учетом разницы граничных условий (5) и условий для базисных функций
.
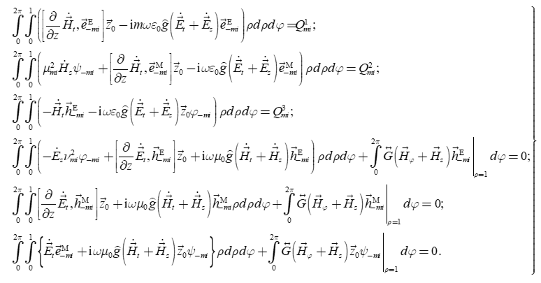
Уравнения комплексных амплитуд имеют вид
Подставляя в (9) решения (6) и (8), а также используя закон сохранения заряда в интегралах возбуждения справа , получаем уравнения возбуждения:
где k — номер крупной частицы; , , — соответственно , , в исходной системе координат r, , z; с — скорость света в вакууме; I0 — ток пучка.
Заключение
Общая теория возбуждения продольно-азимутально нерегулярных волноводов, развитая в статье, позволяет проводить моделирование и оптимизацию ряда СВЧ и КВЧ устройств: электронных приборов, фильтров и антенных устройств, что существенным образом дополняет возможности их машинного моделирования.
Полученные уравнения возбуждения вместе со стандартными граничными условиями на регулярных концах волновода [3, 16, 17] решают поставленную задачу. В приведенных уравнениях впервые корректно выражены интегралы возбуждения.
Об авторах
В. Ф. Кравченко
Институт радиотехники и электроники им. В. А. Котельникова РАН; МГТУ им. Н. Э. Баумана
Автор, ответственный за переписку.
Email: kvf-ok@mail.ru
заслуженный деятель науки РФ, д. ф.- м. н., проф., гл. н. с., Институт радиотехники и электроники им. В. А. Котельникова РАН, проф. кафедры высшей математики ФН-1 МГТУ им. Н. Э. Баумана
Россия, Москва; МоскваА. А. Кураев
Белорусский государственный университет информатики и радиоэлектроники
Email: kurayev@bsuir.by
д. ф.-м.н., проф., Белорусский государственный университет информатики и радиоэлектроники
Белоруссия, МинскВ. В. Матвеенко
Белорусский государственный университет информатики и радиоэлектроники
Email: kvf-ok@mail.ru
к. ф.-м.н., доц.
Белоруссия, МинскСписок литературы
- Никольский В.В., Никольская Т.И. Электродинамика и распространение радиоволн. М.: Наука, 1989. 460 с.
- Вольман В.И., Пименов Ю.В. Техническая электродинамика. М.: Связь, 1971. 486 с.
- Кураев А.А., Попкова Т.Л., Синицын А.К. Электродинамика и распространение радиоволн. Минск: Бестпринт, 2004. 357 с.
- Альтман Дж. Устройства СВЧ. М.: Мир, 1968. 487 с.
- Тараненко З.И., Трохименко Я.К. Замедляющие системы. Киев: Киев. политех. ин-т, 1965. 308 с.
- Нефедов Е.И., Сивов А.Н. Электродинамика периодических структур. М.: Наука, 1977. 208 с.
- Илларионов Ю.А., Раевский С.Б., Сморгонский В.Я. Расчет гофрированных и частично заполненных волноводов. М.: Сов. радио, 1980. 200 с.
- Юрцев О.А., Рунов А.В., Казарин А.Н. Спиральные антенны. М.: Сов. Радио, 1974. 130 с.
- Юрцев О.А., Наумович Н.М. Антенны и техника сверхвысоких частот в БГУИР // Доклады БГУИР. 2014. № 2. С. 87–95.
- Зайцев Н.И., Ковалев Н.Ф., Кораблев Г.С., Кулагин И.С. Релятивистский карсинотрон с длиной волны 3 см и длительностью импульса 0.4 мкс // Письма в Журнал технической физики. 1981. Т. 7. № 14. С. 879-882.
- Кравченко В.Ф., Кураев А.А. Гирорезонансные приборы: принцип действия, нелинейная теория, достижения и перспективы // Зарубежная радиоэлектроника. Успехи современной радиоэлектроники. 2006. № 9. С. 13–60.
- Карцев В. П. Приключение великих уравнений. М.: Знание, 1971. 317 с.
- Ильинский А.С., Слепян Г.Я. Колебания и волны в электродинамических системах с потерями. М.: Изд-во Москов. госуд. ун-та, 1983. 232 с.
- Кураев А.А. Возбуждение произвольно нерегулярных волноводов с круглым сечением // Известия Академии наук БССР. Серия физико-технических наук. 1979. № 1. С. 121.
- Кураев А.А. Мощные приборы СВЧ. Методы анализа и оптимизации параметров. М.: Радио и связь, 1986. 208 с.
- Кураев А.А., Синицын А.К. Влияние конечной проводимости металлических стенок на характеристики мощных релятивистских приборов СВЧ с нерегулярными электродинамическими системами // Доклады БГУИР. 2006. № 3. С. 82–92.
- Кураев А.А., Матвеенко В.В. Мощные электронные приборы СВЧ и КВЧ со специальными видами взаимодействия. Минск: Бестпринт, 2022. 216 с.
Дополнительные файлы






