Об онтологии проектирования с позиций трансдисциплинарного подхода
- Авторы: Фаянс А.М.1
-
Учреждения:
- Институт проблем управления РАН им. В.А. Трапезникова (ИПУ РАН)
- Выпуск: Том 15, № 2 (2025)
- Страницы: 163-173
- Раздел: ОБЩИЕ ВОПРОСЫ ФОРМАЛИЗАЦИИ ПРОЕКТИРОВАНИЯ: ОНТОЛОГИЧЕСКИЕ АСПЕКТЫ
- URL: https://bakhtiniada.ru/2223-9537/article/view/316474
- DOI: https://doi.org/10.18287/2223-9537-2025-15-2-163-173
- ID: 316474
Цитировать
Полный текст
Аннотация
Представлен трансдисциплинарный подход к выявлению особенностей и места онтологии проектирования в научной картине мира на основе использования формулировок, связанных с местом понятия в структуре науки. Утверждается, что данный подход дополняет дисциплинарный и междисциплинарный подходы, позволяя проверять, уточнять полученные и формировать новые результаты. Предложена процедура, позволяющая в общем случае разделить полностью формализуемые (компьютеризируемые) и неформализуемые построения. Описан процесс решения сложных задач, существенной составляющей которого является построение онтологии. Следование предлагаемому процессу приводит к выводу о симбиозе и синергии творческих, неформализуемых возможностей человека и возможностей технических средств, реализующих формализуемые процедуры. Показано применение предлагаемого процесса к сложным многоаспектным системам, рассматриваемым на общем уровне.
Ключевые слова
Полный текст
Введение
Многоплановость и разнообразие процедур проектирования указывает на возрастающую потребность практического использования онтологий как на самом высоком уровне обобщения, так и на уровне предметных областей (ПрО). Поэтому появление научного направления онтология проектирования (ОП) представляется вполне закономерным. При исследованиях такого уровня обычно используются дисциплинарный и междисциплинарный подходы (единство этих подходов обозначено как ДП) и трансдисциплинарный подход (ТП) [1, 2].
ОП посвящён ряд фундаментальных статей [3–8], в которых обобщён накопленный в этой области научный и практический опыт. Изложенные в них результаты отражают представление об онтологиях и процедурах, связанных с проектированием, на дисциплинарном и междисциплинарном уровнях в рамках существующей на данный момент дифференциации наук [3, с.8]. Отмечено, что «онтология проектирования, её понятийный аппарат, её базовые принципы инвариантны к предметной области» [3, с.10], указана связанность рассматриваемого направления с Абсолютом Знаний [4, с.14]. Оставаясь в рамках ДП, невозможно конструктивно ответить на ряд вопросов с позиций Абсолюта Знаний, отражающего в системе знаний понятие Всеобщего1 (взгляд «сверху»). ТП открывает возможность анализировать полученные результаты, формализовать нахождение слабых и сильных сторон, установить место теоретических построений2 в целостной научной картине мира. ТП включает конструктивные процедуры обобщения, анализа, синтеза и конкретизации [9]. Следование ТП позволило сформировать структуру высшего уровня целостной картины, выделить ключевые задачи, образующие базис во множестве возможных задач, систематизировать общие методы решения любых задач [10]. ТП и ДП имеют много общего, но ДП следует от частного к общему, а ТП – от общего к частному. ТП через конструктивное обобщение позволяет разобраться в причинах, обусловливающих существование понятий и их связей, определяющих объект исследования.
1. Основные понятия онтологии проектирования
1.1. Понятие «онтология»
Коммюнике онтологического саммита 2021 года [11] определяет онтологию, как «модель, которая представляет вещи и отношения между ними, актуальные для определённой цели». Философский энциклопедический словарь3 толкует онтологию, как «учение о бытии, как таковом, раздел философии, изучающий фундаментальные принципы бытия». ГОСТ Р 59277-2020 [12] определяет онтологию, как формализованное представление набора наименований понятий в ПрО и отношений между этими наименованиями понятий.
Абстрагирование от привязки толкования онтологии к понятию цели, при сохранении философского содержания, как учения о фундаментальных принципах бытия, приводит к пониманию онтологии, как формализованному представлению, объективно и конструктивно отражающему сущность бытия, вещи и отношения между ними вне зависимости от их практической значимости. Онтология, по сути, есть отражение континуальных отношений в целостном Всеобщем на счётное множество понятий, которым оперирует человек. Онтология представляется как конструктивная система отсчёта, позволяющая определить местоположение вещей, отношений, процессов, иных единичных и их классов в бытии Всеобщего. Это открывает возможность оперировать с понятиями, используя аппарат логики.
Основным назначением онтологии следует считать предельно достижимую формализацию в целостной картине вещей и отношений. Это позволяет сконцентрировать познавательную и практическую деятельность человека на творческом4 осознании, осмыслении и максимально полном использовании накопленного опыта, применяя для этого формализуемые системы, в частности, системы с искусственным интеллектом. В отличие от методологии (согласно [14] – «организация деятельности») онтологию можно рассматривать, как средство для организации деятельности.
1.3. Понятие «проектирование»
Проектирование в философии3 определяется как «один из основных … способов создания техники и других изделий и сооружений… Один из основных … механизмов, обеспечивающий связь производства с потреблением». Термин «проектирование» встречается в педагогике, образовании, социологии, генетике, инженерной психологии и т.д. В [13] проектирование толкуется, как «процесс создания проекта – прототипа, прообраза предполагаемого или возможного объекта, состояния».
Проектирование восходит к слову «проект» (от лат. Projectus — брошенный вперёд), которое согласно [13] имеет три значения: а) совокупность документов для создания изделия, состояния, б) предварительный текст какого-либо документа, в) замысел, план. В [15] проект определяется как «комплекс взаимосвязанных мероприятий, направленный на создание уникального продукта или услуги в условиях временных и ресурсных ограничений».
Часто под проектом понимают технические и общественные крупные задачи, а также художественные, в основе которых лежат литературные, изобразительные, драматургические или иные замыслы. При этом становится очевидным такой аспект проекта, как его общественная значимость. В общем случае этот аспект может быть и не свойственен задаче. Поэтому проект – это вид задачи, отвечающей социально значимой потребности, характеризующейся множеством аспектов рассмотрения и разнообразием их связей.
В общем случае удовлетворение потребности, порождающей задачу, проходит через ряд стадий [9]: 1) осмысление потребности (в данном случае – это требования к проекту, действующие и возможные ограничения) и возникновение замысла по удовлетворению этой потребности; 2) сбор информации; 3) постановка задачи (сформулированная потребность, условия решения, требования к решению и его качеству; 4) выявление метода решения; 5) формирование и использование средств выполнения метода; 6) выполнение действий метода; 7) сбор результатов применения метода; 8) анализ результатов; 9) выводы (формирование новых задач, в т.ч. и корректировка исходной постановки задачи); 10) сохранение результатов полученного опыта.
Особенностью проекта, кроме выраженной социальной значимости, является оформление технического задания (ТЗ), нацеливающего на согласованную деятельность создаваемой под проект организационной структуры, ориентированной на его реализацию и эксплуатацию, а также наличие соответствующей документации, отвечающей каждой стадии проекта.
Отсюда, проект есть задача, отражающая единство: а) целенаправленного общественно значимого замысла с явно выраженными качественно и/или количественно определимыми целями; б) реализации этого замысла; в) документального оформления задачи и результатов каждой стадии её реализации. Конструктивная определимость целей позволяет установить факт завершения (или прекращения) проекта. Отсутствие признаков б) и/или в) делает проект незавершённым. В той же степени, в какой можно говорить о типовой (многократно возникающей) потребности и порождаемой ею задаче, можно говорить и о типовом проекте.
Процесс проектирования соответствует стадии выполнения проекта, выявлению потенциально реализуемых методов и средств, приводящих к достижению указанных в проекте целей. Отсюда ОП есть формализованное представление, отражающее сущность и структуру задачи (проекта) и нацеленное на систематизацию выявления и/или выработки путей реализации и/или эксплуатации результатов решения задачи (проекта), включая и необходимые для этого связи, и возможные методы решения задач проекта.
1.3. Формализация при проектировании
Вопросы, связанные с формализацией, касаются всех стадий решения задачи. Рассмотрение специфики формализации с позиций ТП позволяет указать следующие её особенности.
- Для формализации требуется определённость (устойчивая повторяемость событий и связей).
- По мере роста неопределённости степень формализуемости падает.
- Индивидуальные, уникальные, неповторяющиеся события и связи принципиально неформализуемы.
- Только при возможности формализации можно говорить о соответствующей технологии.
- С позиций степени временны́х требований к актуальности потребности последние делятся на оперативные, тактические и стратегические, рассматриваемые соответственно на краткосрочных, среднесрочных и долгосрочных промежутках. По мере увеличения промежутка времени влияние факторов неопределённости растёт, а возможности формализации снижаются. Наличие тактических потребностей обусловливает существование оперативных потребностей, а наличие стратегических потребностей обусловливает существование как тактических, так и оперативных потребностей. Это указывает на иерархию потребностей.
- Из общих методов решения задач [10] в условиях полной неопределённости могут быть использованы только естественные методы, интуиция и некоторые опосредованные методы, в т.ч. опирающиеся на модели, которые могут формироваться в процессе обучения и/или адаптации. Применение прочих общих методов требует полной формализации описания и оперирования с ними.
- Решение частично формализуемых задач достигается комбинированием методов, основанных на интуиции, и формализуемых методов.
- В методе решения по частям используются процедуры комбинирования. Для анализа таких процедур необходимо выявление комбинируемых составляющих. Это сводится к построению онтологий потребности и рассматриваемого метода. Каждая из комбинируемых составляющих может быть исследована на предмет синтеза её возможных реализаций при условии её непротиворечивости с остальными составляющими (достижение консенсуса).
Предельно достижимая степень формализации определяется потенциальной возможностью переложить на конечные автоматы выполнение любой стадии задачи. Если проект или процедуры проектирования полностью формализуемы, то они могут выполняться в автоматическом режиме.
Искомую границу формализации определяет применимость понятия «творчество», уникального неформализуемого явления, результат которого способен стать общим достоянием, в т.ч. и вполне формализуемым, своего рода товаром, имеющим спрос5. Творчество, как правило, неразрывно связано с навыками – формализованными элементами деятельности, на которые опирается и от которых во многом зависит творчество.
Творческие способности индивидуальны, их можно и нужно развивать, используя примеры проявления творчества, как средства развития. Активным стимулом к творческому росту является нахождение в творческой среде, живое общение с творческими личностями. Для развития интуиции имеются и специальные методики (например, [16]).
Одним из значимых неформализуемых признаков является способность нести ответственность за результат деятельности, в т.ч. за эффективность использования ресурсов. Нетворческим моментам, напротив, присуще использование решений, ответственность за результат которых либо несущественна, либо априори приемлема при автоматическом выполнении действий и процедур в заранее указанных границах. Выход из этих границ предполагает использование творческих процедур.
При переходе от оперативных к тактическим и, далее, к стратегическим проектам имеет место рост ответственности за последствия принимаемых действий. Это обусловливает и степень необходимости использования неформализованных или принципиально не формализуемых процедур.
2. О технологии проектирования
Принятое толкование технологии6: «совокупность методов обработки, изготовления, изменения состояния, свойств, форм сырья, материала или полуфабриката, осуществляемых в процессе производства продукции; научная дисциплина, изучающая физико-химические, механические и другие закономерности, действующие в технологических процессах. Технологиями также называются операции добычи, обработки, транспортировки, хранения, контроля, являющиеся частью общего производственного процесса». Это определение дополняется тем, что «в состав технологии включается и технический контроль производства. Технологией принято также называть описание производственных процессов, инструкции по их выполнению, технологические правила, требования, карты, графики и др.»7.
Согласно ТП технология – это тиражируемая, в определённой степени формализованная, логически связная совокупность действий (методов), приводящая к решению задачи, с использованием средств реализации этих действий (методов).
Такое толкование обеспечивает однозначность на высшем уровне обобщения, допуская множественные частные варианты, указанные в известных определениях. При этом оно указывает на необходимость разделения понятий «технология», «технологический процесс» (порядок использования, в частности, эксплуатации средств реализации технологии), «технологическая документация» (выполненные в соответствии со стандартами информационные материалы, обеспечивающие возможность воспроизведения, в частности, тиражирования рассматриваемой технологии и/или технологического процесса с достижением желаемого конечного результата), «дисциплина, изучающая технологические процессы».
Технология предполагает выполнение определённых действий. В этом случае используемые методы могут носить искусственный характер (см. [10]), хотя вполне допустимо и использование естественных методов (например, временна́я выдержка при сушке древесины в процессе изготовления музыкальных инструментов).
Детализацию процесса проектирования технологии целесообразно выполнять на основе общих методов решения задач. Поскольку проектирование связано с временны́ми, финансовыми, материальными и иными ограничениями, то предпочтение следует отдавать: 1) методам, известным из опыта, 2) непосредственным методам, 3) опосредованным методам [10].
В сложных проектах, характеризующихся множеством тесно связанных между собой и качественно различающихся признаков, на первое место выдвигается метод решения задачи по частям (декомпозиция задачи), что требует построения соответствующей онтологии. В этом случае открывается потенциальная возможность достижения симбиоза и синергии решений разных задач проекта. Условием синергии становится допустимость совместного использования одних и тех же действий (методов) в процессах проектирования, реализации проекта и его функционирования.
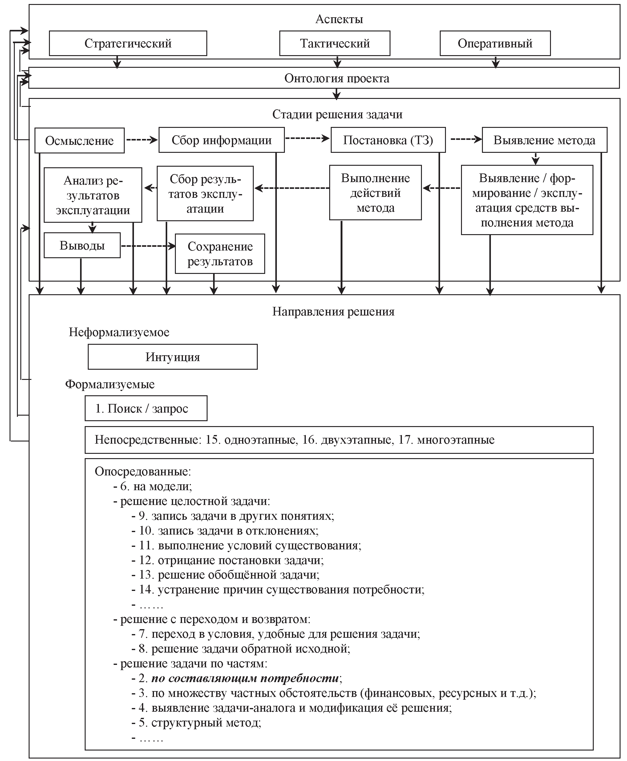
На рисунке 1 представлена предлагаемая структура технологии. Номера на этом рисунке указывают рекомендуемый порядок рассмотрения задач и методов, в основу которого положено убывание значимости области рассмотрения, а также возрастание временны́х и иных затрат ресурсов на выработку и использование методов. ТЗ соответствует постановке задачи, отвечающей проекту. Рисунок 1 отражает технологию синтеза на основе комбинирования базовых методов, но рекомендуемое ранжирование имеет значение в процессе выбора комбинируемых составляющих. Схема на рисунке 1 допускает, в случае необходимости, многократные, в т.ч. и рекурсивные возвращения к пройденным стадиям.
Рисунок 1 - Рекомендуемый порядок формирования технологии решения задачи
Важным представляется учёт морально-нравственной стороны потребности, вызывающей к жизни проект: нацеленность его на поддержание и усиление гармонии (в смысле, указанном в [17]: баланс между возникновением, существованием и исчезновением единичных во Всеобщем) или, напротив, на её ослабление и разрушение. По мере перехода от оперативной к тактической и, далее, к стратегической сторонам проекта морально-нравственная сторона становится всё более существенной. При этом следует отдать предпочтение нацеленности на поддержание и усиление гармонии.
Процедура проектирования соответствует технологии ТП, образованной следующими стадиями:
- однозначная формулировка и анализ используемых понятий и их связей;
- родовое обобщение путём исключения менее существенных признаков и/или разделение на связанные составляющие, а также анализ каждой из них; при необходимости переход к стадии 1;
- формирование онтологической схемы понятий, их связей и способов комбинирования; определение открывающихся возможностей, начиная с высшего уровня обобщения, на котором число рассматриваемых признаков минимально; фиксация позиций понятий и связей в целостном построении;
- многократный дедуктивный переход к разновидностям понятий и фиксация отмечаемых видовых признаков, уточнение формулировок рассматриваемых разновидностей; расширение онтологической схемы; процедура дедуктивного перехода может заканчиваться как на уровне исходных формулировок, так и продолжаться далее;
- определение возможностей синтеза на выделенном уровне рассмотрения, возникающих ограничений на связи отдельных признаков и их фиксация; при необходимости переход к стадии 4 или к стадии 1.
Только творческий подход позволяет предварительно оценить с позиций гармонии последствия реализации проекта и, учитывая ответственность за последствия, выработать сбалансированное решение.
Отсюда, процесс проектирования, равно как и реализация проекта, качественно реализуем только в рамках симбиоза и/или синергии как формализуемых, так и неформализуемых построений на основе интуиции.
3. Понятийный анализ сложных многоаспектных систем
Сложные многоаспектные системы получили название «крупномасштабные системы» (КС)8, где масштаб в основном определяется значительным территориальным разбросом компонент системы и её общественной значимостью. Специфика КС состоит в наложении друг на друга множественных аспектов. Это позволяет использовать КС для иллюстрации рассматриваемой в данной статье технологии [18].
КС определяют, как «класс сложных (больших) систем, характеризующихся комплексным (межотраслевым, межрегиональным) взаимодействием элементов, распределённых на значительной территории, требующих для развития существенных затрат ресурсов и времени». Выполняя в соответствии с ТП процедуру обобщения путём поэтапного отсечения в приведённом определении менее значимых признаков, можно прийти к родовым признакам высшего уровня обобщения. Искусственная система – «совокупность элементов, находящихся в отношениях и связях друг с другом, которая образует определённую целостность, единство»9. При этом выявляются задачи, актуальные для любых искусственно образованных единичных, а именно: создания; обеспечения их существования в требуемом режиме функционирования; ликвидации в случае необходимости в рамках ограничений (априори заданных и, возможно, впоследствии корректируемых) на сроки создания, существования и ликвидации, а также определение затрат, необходимых для решения этих задач, и выделения соответствующих средств.
Место понятия «система» определяется последовательностью: Всеобщее → единичное → множество единичных → связь (взаимосвязь) единичных → целостная совокупность связанных (взаимосвязанных) единичных. Остальные признаки можно рассматривать, как результат конкретизации, применяемой к понятию «система». Так, в приведённом определении КС размер указывается в качестве уточнения понятия сложности, равно, как и комплексность, межрегиональность и межотраслевой характер. В определении также указываются ограничения на затраты, производимые исключительно в целях развития КС, но упускаются процессы создания, обеспечения функционирования и ликвидации системы.
Признаки, указанные в определении в качестве конкретизирующих, могут выступать в качестве самодостаточных понятий (например, сложность). В этом случае логичней было бы говорить не о конкретизации, а о комбинировании понятий.
Анализ, выполненный с позиций ТП, позволил выявить перечень признаков КС, который включает следующие обозримые, конкретизирующие, независимые или находящиеся в иерархическом подчинении и конъюнктивных (соединительных) отношениях признаки:
- многоаспектность целей и, следовательно, их множественность со своими внутренними связями;
- сложность («свойство системы или компонента, имеющих устройство, исполнение или поведение, трудные для понимания или верификации со стороны субъекта»10; следование ТП приводит к трактовке сложности, как наличию в описании объекта множества независимых характеристик);
- значительный размер системы (наличие огромного числа элементов и связей);
- динамическое и статическое взаимодействие элементов (существенное взаимное влияние элементов друг на друга или их полное слияние);
- комплексность (полнота, системность рассмотрения11);
- многообразие продолжительностей жизненных путей, относящихся как к системе, так и к её элементам и связям (здесь под жизненным путём понимается последовательность этапов: появление определённого единичного, развитие, существование, деградация или модернизация, исчезновение);
- межотраслевой характер (отнесение характеристики элементов к разным отраслям деятельности);
- разбросанность элементов системы на значительной территории, и, как частный случай разбросанности, их межрегиональный характер (особенности элементов отражают специфику разных регионов и развитых в них видов деятельности);
- существенные финансовые, материальные и людские ресурсы, требуемые для создания, функционирования и ликвидации КС;
- существенные затраты времени на создание и обеспечение функционирования КС (при этом размеры выделяемых затрат ограничены ресурсами, выделенными на нужды КС, имеющимися возможностями и целесообразностью их выделения, исходя из имеющейся потребности);
- многообразие внутренних и внешних факторов (случайных, устанавливающих степень неопределённости в системе, и регулярных), препятствующих желаемому функционированию процессов создания и обеспечения существования системы.
Упоминание деятельности в перечне признаков отражает активное участие человека, как элемента или элементов КС.
Приведённая совокупность признаков, рассматриваемая в неразрывной целостности, позволяет определить понятие КС, как единство множества задач, отвечающих перечисленным признакам и связанных общей потребностью. Полнота перечня признаков в соединении с полнотой этапов жизненного пути является основанием для выявления связанных между собой задач, решение которых обеспечивает создание КС, обладающей требуемой функциональностью при заданных ограничениях, её существование и ликвидацию. Управление при этом рассматривается как один из возможных путей решения упомянутых задач (здесь управление - это искусственный метод решения задачи, существенно использующий воздействия на объект и/или на среду). Приведённое определение управления отличается от определений, встречающихся в литературе, например, в [19].
Таким образом, КС – класс сложных систем, распределённых на значительной территории, характеризующихся необходимостью комплексного учёта многоаспектности, тесного взаимодействия элементов и многообразия продолжительности их жизненных путей, трансотраслевого и трансрегионального характера создания и существования системы, необходимости выделения на нужды системы значительных (в т.ч. финансовых и временных) ресурсов, а также способностью систем этого класса отвечать своему предназначению в условиях влияния многообразных мешающих факторов.
Потребность, вызывающая к жизни КС, носит стратегический, долговременный характер, хотя имеет тактические и оперативные аспекты. Это приводит к необходимости рассмотрения на всех этапах жизненного пути КС соответствующей иерархии. Условия, в которых возникает стратегическая потребность, стационарны или допускают вариации, не приводящие к исчезновению потребности или блокированию целесообразности её реализации. Относительно тактических потребностей вполне допустимы и их более значительные вариации, которые, приводя к определённым потерям, находятся в рамках допустимых значений. Условия возникновения и удовлетворения оперативных потребностей могут различаться существенно и удовлетворяться, не требуя слишком значительных затрат.
Следствием сказанного является особая значимость фактора ответственности за принимаемые решения. Отсюда обязательное наличие человека в качестве элемента КС на стратегическом и тактическом уровнях. Такое наличие не является обязательным при условии полной формализации процессов в соответствующей подсистеме КС. Использование человеческого ресурса допускает как жёсткую организационную иерархию, так и коллективные методы выработки и принятия решений [20].
Для создания и функционирования КС требуются стратегическое, тактическое и оперативное распределение и перераспределение выделяемых ресурсов, корректировка сроков решения задач для повышения эффективности использования результатов решения.
Перечисленные особенности могут быть использованы для синтеза и обеспечения функционирования любых многоаспектных систем.
Заключение
Рассмотрена возможность осуществления на основе ТП познавательной процедуры выявления места онтологии проектирования и связанных с ней элементов в научной картине мира. Представленный переход от понятийного анализа к выявлению основ технологии, требуемой для выполнения проекта, позволяет разделить роли творческих (неформализуемых) и формализуемых стадий и указать возникающие при этом связи.
Проектирование представляет собой симбиоз и синергию творчества и формализации с учётом стратегических, тактических и оперативных целей, для достижения которых предназначен проект. ОП позволяет формализовать организацию соответствующих процессов.
1 Всеобщее – закон существования, изменения и развития особенных и единичных явлений в их связи, взаимодействии и единстве. https://dic.academic.ru/dic.nsf/enc_philosophy/1990/ВСЕОБЩЕЕ).
2 Здесь под построением понимается система мыслей, рассуждений. https://dic.academic.ru/dic.nsf/dmitriev/3984/построение.
3 Философия. Энциклопедический словарь. Под ред. А.А. Ивина. М.: Гардарики. 2004. http://philosophy.niv.ru/doc/dictionary/encyclopedic/articles/910/ontologiya.htm.
4 Творчество - деятельность, порождающая нечто качественно новое и отличающееся неповторимостью, оригинальностью и общественно-исторической уникальностью [13, с.1185]. С позиций ТП [9] понятию «творчество» отвечает выход деятельности активного мыслящего единичного за пределы действий, априори регламентированных для этого единичного.
5 Отношение между творчеством и его формализованной реализацией точно выражено А.С. Пушкиным в его стихотворении «Разговор книгопродавца с поэтом»: «Не продаётся (т.е. не формализуется) вдохновенье, но можно рукопись (результат) продать».
6 Новая философская энциклопедия: В 4-х томах. Под ред. В.С. Стёпина. М.: Мысль. 2001. https://dic.academic.ru/dic.nsf/enc_philosophy/9217/ТЕХНОЛОГИЯ.
7 Большая советская энциклопедия. Технология. https://gufo.me/dict/bse/Технология.
8 Лаборатория крупномасштабных систем ИПУ РАН. https://www.ipu.ru/node/11906.
9 Философская энциклопедия. Система. https://dic.academic.ru/dic.nsf/enc_philosophy/3310/СИСТЕМА.
10 ГОСТ Р МЭК 61513-2011. Атомные станции. Системы контроля и управления, важные для безопасности. Общие требования. https://docs.cntd.ru/document/1200089290.
11 Энциклопедический словарь экономики и права. Комплексность. https://dic.academic.ru/dic.nsf/dic_economic_law/6384/КОМПЛЕКСНОСТЬ.
Об авторах
Александр Михайлович Фаянс
Институт проблем управления РАН им. В.А. Трапезникова (ИПУ РАН)
Автор, ответственный за переписку.
Email: alfayans@mail.ru
Scopus Author ID: 57006695900
Россия, Москва
Список литературы
- 1st World Congress of Trandisciplinarity // Convento da Arrábida. Portugal. November 2-6. 1994. https://web.archive.org/web/20041205093617/http://perso.club-internet.fr/nicol/ciret/english/charten.htm.
- Князева Е.Н. Трансдисциплинарные стратегии исследований. Вестник Томского государственного педаго-гического института (ТГПУ). 2011. 10(112). С.193-201.
- Боргест Н.М. Научный базис онтологии проектирования. Онтология проектирования. № 1(7). 2013. С.7-25.
- Боргест Н.М. Ключевые термины онтологии проектирования: обзор, анализ, обобщения. Онтология про-ектирования. № 3(9). 2013. С.9-31.
- Боргест Н.М. Границы онтологии проектирования. Онтология проектирования. 2017. Т.7, №1(23). С.7-33. doi: 10.18287/2223-9537-2017-7-1-7-33.
- Боргест Н.М. Онтологии проектирования от Витрувия до Виттиха. Онтология проектирования. 2018. Т.8, №4(30). С.487-522. doi: 10.18287/2223-9537-2018-8-4-487-522.
- Боргест Н.М. Онтология проектирования научного направления: формирование, развитие, примеры. Онто-логия проектирования. 2022. Т.12, №2(44). С.136-157. doi: 10.18287/2223-9537-2022-12-2-136-157.
- Borgest N.M. Design Ontology: Genesis and Development. Pattern Recognit. Image Anal. 34, 434–439 (2024). doi: 10.1134/S1054661824700172.
- Фаянс А.М., Кнеллер В.Ю. Об онтологии видов задач и методов их решения. Онтология проектирования. 2020. Т.10, №3(37). С.273-295. doi: 10.18287/2223-9537-2020-10-3-273-295.
- Фаянс А.М. Взгляд на формализацию смысла с позиций трансдисциплинарного подхода. Онтология про-ектирования. 2021. Т.11, №3(41). С.294-308. doi: 10.18287/2223-9537-2021-11-3-294-308.
- Баклавски К. Онтологический саммит 2021. Коммюнике: генерация и гармонизация онтологий. Ноябрь 2021 / К. Баклавски, М. Беннет, Г. Берг-Кросс, Л. Дикерсон, Т. Шнайдерд, С. Сеппалая, Р. Шарма, Р.Д. Шри-рам, А. Вестеринен. Перевод с англ. Д. Боргест // Онтология проектирования 2021. Т.11, №4(42). С.533-548. doi: 10.18287/2223-9537-2021-11-4-533-548.
- ГОСТ Р 59277-2020. Системы искусственного интеллекта. Классификация систем искусственного интеллек-та. Дата введения 2021-03-01. М.: Стандартинформ 2021. 16 с. https://docs.cntd.ru/document/1200177292.
- Большой энциклопедический словарь. Под ред. А.М. Прохорова. М.: БЭС. С-П.: Норинт. 1997.
- Новиков А.М., Новиков Д.А. Методология. Изд. 2-е испр. М.: Красанд. 2014. 632 с.
- ГОСТ Р 54869-2011. Требования к управлению проектом. Дата введения 2012-09-01. Москва: Стандартин-форм. 2011. 9 с. https://www.isopm.ru/download/gost-54869.pdf.
- Норбеков М.С. Интуиция дурака. М: АСТ. 2016.
- Фаянс А.М. Построение онтологии фундаментальных понятий на основе трансдисциплинарного подхода. Онтология проектирования. 2022. Т.12, №4(46). С.454-469. doi: 10.18287/2223-9537-2022-12-4-454-469.
- Fayans А.М. A Look at The Metrology of Synthesis of Large-Scale Systems and Their Control from the Position of a Transdisciplinary Approach. Proceedings of the 16th International Conference Management of Large-Scale System Development (MLSD). М.: IEEE, 2023. С. 1-5 // https://ieeexplore.ieee.org/document/10303996.
- Новиков Д.А. Методология управления. М.: Либроком, 2011. 128 с. Стр.13-15
- Виттих В.А. Избранные труды по эвергетике. Самара: Новая техника, 2022. 419 с.
Дополнительные файлы



