Formalization of indicator requirements in multidimensional evaluation of objects
- Авторлар: Mikoni S.V.1,2
-
Мекемелер:
- St. Petersburg Federal Research Center of the Russian Academy of Sciences
- St. Petersburg Institute for Informatics and Automation of the Russian Academy of Sciences
- Шығарылым: Том 15, № 3 (2025)
- Беттер: 324-333
- Бөлім: GENERAL ISSUES OF FORMALIZATION IN THE DESIGNING: ONTOLOGICAL ASPECTS
- URL: https://bakhtiniada.ru/2223-9537/article/view/312500
- DOI: https://doi.org/10.18287/2223-9537-2025-15-3-324-333
- ID: 312500
Дәйексөз келтіру
Толық мәтін
Аннотация
The development of a multidimensional evaluation model for an object involves meeting specific requirements for each assessed indicator. The complexity of this process is proportional to the number of indicators. The requirements for an indicator are divided into quantitative and qualitative ones. Quantitative requirements are formalized as a set of logical constraints on indicators values. These constraints are modeled using first-order predicate logic. Qualitative requirements account for the decision maker’s inclination or disinclination toward risk in tasks involving the selection of a preferred option and in axiomatic classification problems. When information about risk preferences is unavailable, and the boundaries between adjacent classes are vague, qualitative requirements are modeled using monotonic or non-monotonic linear and piecewise-linear functions defined over the indicator’s scale. The propensity to take risks is represented by a value or utility function that changes slowly at the lower end of the scale and more rapidly toward the upper end. Conversely, risk aversion is modeled by a function with the opposite behavior. To reflect the fuzziness of class boundaries, evaluation functions with varying rates of transition across class borders are employed. The paper proposes a minimum set of features that distinguish all possible approaches to modeling both quantitative and qualitative requirements for indicator values. The sets of features for solving the problems of ordering and classifying objects differ only quantitatively due to the need to specify requirements for each class. This information is entered into the "Features / Indicators" table of the spreadsheet processor; once imported into the system, an assessment model for each indicator is automatically generated based on the specified requirements.
Негізгі сөздер
Толық мәтін
Введение
Требования к показателю объекта делятся на количественные и качественные. Количественные требования формализуются набором логических ограничений на значения показателей. К ним относятся: «не менее и не более», «равно», «не менее», «не более». Как частные случаи ограничений «не менее» и «не более» рассматриваются максимизация и минимизация показателей. Моделирование ограничений выполняется на языке предикатов первого порядка. Качественные требования заключаются в учёте важности делений шкалы показателя для лица, принимающего решение (ЛПР). Качественные требования к значениям показателей моделируются оценочными функциями (ОцФ).
В задачах многокритериальной оптимизации [1-3] экстремальное требование к значению показателя (y → min / max) реализуется линейной (убывающей / возрастающей) ОцФ с областью значений [0, 1]. В задачах достижения заданной цели [4] используются кусочно-линейные функции с точкой перелома в целевом (промежуточном) значении на шкале показателя. Отклонение от этой цели моделируется функцией с областью значений [–1, 1]. Например, в задаче выполнения плана биполярная ОцФ может иметь область значений [0, 200%] с промежуточным значением 100%, соответствующим выполнению плана [5].
В теориях ценности и полезности на шкалах показателей строятся нелинейные соответственно униполярные и биполярные ОцФ. Их создание представляет собой трудоёмкую процедуру, что усложняет создание моделей многомерного оценивания (ММО) объектов.
Разнообразие моделей имеет место при решении задач ММО объектов в рамках одной системы. Примером такой системы является система выбора и ранжирования СВИРЬ-М, объединившая решение задач выбора предпочтительного объекта / класса по многим показателям на конечном множестве объектов / классов [6]. Для облегчения решения задачи создания моделей ММО сложных объектов в системе СВИРЬ-М создана библиотека типовых ОцФ. К типовым нелинейным ОцФ отнесены модели, отражающие различные варианты склонности / несклонности ЛПР к риску [7-9].
Применение библиотеки типовых ОцФ упрощает проектирование модели ММО объекта. Для осуществления полной автоматизации построения модели ММО объектов необходимо каждую функцию из библиотеки ОцФ охарактеризовать набором признаков, по которым её можно было бы найти и реализовать для каждого показателя. Требования к показателям целесообразно задавать в специальной таблице «Признаки / Показатели». Это позволяет формировать всю необходимую информацию для создания модели ММО сложного объекта (исходные данные и требования к показателям) в табличном процессоре MS Excel. Для этого требуется найти взаимосвязи между предикатами и между всеми ОцФ, применяемыми в задачах упорядочения и классификации объектов.
В работе обосновывается базовый набор признаков и его расширения, позволяющие решать различные задачи ММО объектов с применением библиотеки ОцФ.
1 Формализация требований к показателям оцениваемого объекта
Требования к значениям j-го показателя объекта формализуются следующими логическими ограничениями:
- принадлежность классу y∈[c1, c2];
- равенство y = c, как частный случай принадлежности классу при c1 = c2 = c;
- не менее y ³ c;
- не более y ≤ c.
Сложность выбора класса превосходит сложность выбора лучшего объекта на основе отношения порядка. Это утверждение подтверждается представлением интервального ограничения yj ∈[cj,1, cj,2] через логическое произведение двух односторонних (полуинтервальных) ограничений:
yj ∈[cj,1, cj,2] = (yj ³ cj,1) ∧ (yj ≤ cj,2). (1)
В задаче оценивания объекта по многим показателям интервальное ограничение [cj,1, cj,2] на шкале [yj,min, yj,max] j-го показателя, yj,min ≤ cj,1 ≤ cj,2 ≤ yj,max, , относительно других его значений названо нормой [10]. В префиксной записи выражение (1) представляется логическим произведением двух двухместных предикатов [11]:
Pr∈(yj, [cj,1, cj,2]) = Pr³(yj, cj,1) & Pr≤(yj, cj,2) (2)
Трёхместный предикат Pr∈(yj, [cj,1, cj,2]) описывает принадлежность значения yj отрезку [cj,1, cj,2] шкалы [yj,min, yj,max]. Частным случаем интервального ограничения является точечная норма cj,1 = cj,2 = cj. За точечную норму cj может быть принято среднее значение интервальной нормы cj = (cj,1 + cj,2)/2. В этом случае предикат принадлежности классу сводится к предикату Pr=(yj, cj) равенства точек yj, cj на шкале j-го показателя.
В частном случае одна из границ нормы cj,1 или cj,2 может совпадать с границей шкалы. Графическая трактовка рассмотренных случаев показана на рисунке 1 в виде четырёх вариантов ограничений на значение j-го показателя со шкалой [yj,min, yj,max].
Верхний вариант представлен тремя отрезками шкалы [yj,min, yj,max]. Средний отрезок моделирует интервальную норму показателя. Остальные три варианта являются частными случаями интервальной нормы, представленными двумя отрезками шкалы. Третий вариант является графическим представлением первого сомножителя, а четвёртый вариант – второго сомножителя формулы (1).
В этих вариантах запрещённые значения показателя представлены только одним отрезком шкалы, а разрешённые значения расширяют норму до границы шкалы. Если же в предикате Pr³(yj, cj,1) нижнюю границу нормы приравнять началу шкалы (cj,1 = yj,min), а в предикате Pr≤(yj, cj,2) верхнюю границу нормы приравнять концу шкалы (cj,2 = yj,max) j-го показателя, точка отсчёта соответственно максимизации и минимизации значения показателя совпадёт с границей шкалы, что обозначается как yj → max и yj → min.
Рисунок 1 – Четыре варианта задания нормы
Таким образом, через соотношение границ шкалы и интервальной нормы показателя можно выразить не только четыре логических предиката: принадлежности интервалу, равенства точке и ограничения «не менее» и «не более» заданной величины, но и функции максимизации и минимизации. Это позволяет формализовать все требования к значениям показателя границами шкалы и интервальной нормы.
2 Линейные оценивающие функции показателей
При оценивании объекта по многим показателям возникает задача приведения шкал всех показателей к единой шкале. Универсальной для унификации требований к показателям является шкала [0, 1]. Требование к значениям показателя, заданное на исходной шкале, отображается в единую шкалу ОцФ f(y). Её областью определения является шкала [yj,min, yj,max] j-го показателя, , а областью значений [0, 1].
Рисунок 2 – Модель расплывчатой нормы
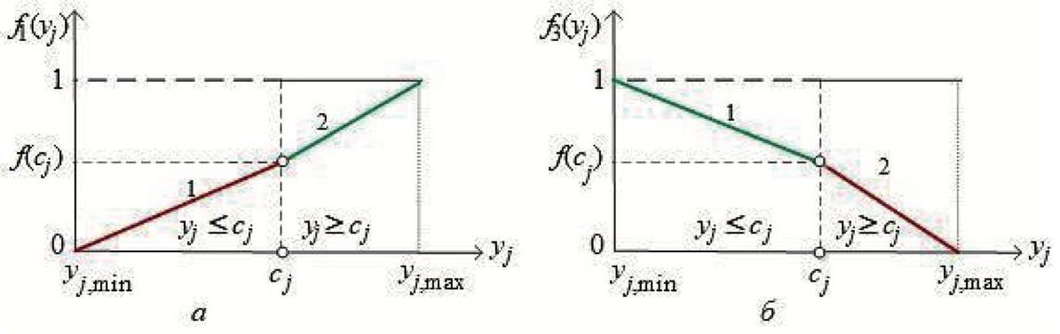
Простейшим отображением нормы является прямоугольная характеристическая функция множества точек [cj,1, cj,2]. Она изображена пунктиром на рисунке 2. Однако в общем случае границы нормы расплывчаты [12]. В отсутствие информации о законе отклонения от нормы до допустимого значения в меньшую сдом,j и большую сдоб,j стороны оно моделируется нисходящими линейными функциями с областями определения [сдом,j, cj,1] и [cj,2, сдоб,j]. Трапеция, изображённая на рисунке 2, представляет собой композицию трёх линейных функций: f1(yj) = a×yj; f2(yj) = 1; f3(yj) = 1 – a×yj с областями определения [сдом,j, cj,1], [cj,1, cj,2] и [cj,2, сдоб,j]. В случае cj,1 = cj,2 = cj область определения функции f2(yj) вырождается в точку cj= (cj,1 + cj,2)/2 (второй вариант шкалы на рисунке 1), а трапеция сводится к треугольнику. Кусочно-линейные функции f1(yj) и f3(yj) с точками перегиба f1(cj)>0 и f3(cj)>0 изображены на рисунках 3а и 3б.
Возрастающая функция f1(yj) удовлетворяет ограничению yj ³ cj,1, начиная с точки cj,1, а убывающая функция f3(yj) удовлетворяет ограничению yj ≤ cj,1 до точки cj. В этой точке они удовлетворяют минимальному требованию к значению показателя [11]. При расширении области определения функций f1(yj) и f3(yj) на всю шкалу (cj,1 = yj,min для f1(yj) и cj,2 = yj,max для f3(yj)) они сводятся к целевым функциям yj → max и yj → min задач оптимизации.
В качестве примера на рисунке 4 показана возрастающая кусочно-линейная функция (верхний график), порождённая на шкале [0, 10] полуинтервальным ограничением yj ³ 4.
Рисунок 3 – а) оценочная функция f1, б) оценочная функция f3
Рисунок 4 – Кусочно-линейная и линейная оценочные функции
Точке перегиба cj = 4 соответствует минимальный уровень требования f1(сj) = 0,5 к значениям j-го показателя. При сведении точки перегиба к нулю (cj = 0) кусочно-линейная функция преобразуется в линейную ОцФ yj → max. Аналогичным образом порождаются графики убывающей функции f3(yj).
3 Нелинейные оценивающие функции показателей
Приведённые кусочно-линейные ОцФ моделируют безразличие ЛПР к делениям отрезков шкалы показателя. Оно проявляется в пропорциональном либо обратно пропорциональном изменении значений ОцФ с увеличением значений показателя. Эти функции не учитывают склонность / несклонность ЛПР к риску [9]. Склонность ЛПР к риску проявляется в медленном, а несклонность – в быстром увеличении ценности делений на начальном участке шкалы показателя. Эти свойства ЛПР моделируются формулой:
n(yj)=((yj–yj,min)/(yj,max–yj,min))t. (3)
Параметр t >1 (парабола) моделирует склонность, а t <1 (обратная парабола) – несклонность ЛПР к риску. В качестве примера на рисунке 51 показан график ОцФ n(yj) = y2.
Сочетание склонности ЛПР к риску до точки с и несклонности – после неё моделируется логистической функцией. На рисунке 6 показана возрастающая логистическая функция.
Свойство нелинейности востребовано также применительно к немонотонным ОцФ, каковыми являются функции принадлежности классу. Линейные фронты трапеции (рисунок 2), моделирующие меру отклонения значения показателя от границы нормы (класса), применяются в отсутствие информации об отношении ЛПР к этим отклонениям. Поскольку фронты трапеции являются монотонными функциями, к ним применимы типы функций, изложенные выше, а именно, парабола, обратная парабола и логистическая функция. На рисунках 7-9 изображены функции принадлежности классу с соответствующими фронтами.
Рисунок 5 – Парабола как возрастающая выпуклая оценочная функция показателя
Рисунок 6 – Возрастающая логистическая функция показателя
Рисунок 7 – Функция принадлежности классу с параболическими фронтами
Рисунок 8 – Функция принадлежности классу с фронтами обратной параболы
Рисунок 9 – Функция принадлежности классу с логистическими фронтами
Рисунок 10 – Функция принадлежности классу с точечной нормой
4 Кодирование требований к значениям показателей
Информацию кодируют с разными целями: от удобства представления до скрытия содержания [13, 14]. В данной работе объектом кодирования являются требования к значениям показателей оцениваемого объекта. С точки зрения количественных требований к значению показателя наиболее сложным является интервальное ограничение. Остальные требования сводятся к его частным случаям. Такая взаимосвязь требований позволяет принять интервальное ограничение за исходное требование и сформулировать правила вывода из него всех остальных.
Таблица 1 – Кодирование предикатов
В таблице 1 задан способ кодирования предикатов через соотношение границ шкалы [a, b] и интервальной нормы [c1, c2] согласно рисунку 1. Переменные в строках таблицы 1 расположены в направлении возрастания значений показателя. Первые четыре строки отражают графическое представление предикатов на рисунке 1. В строках 5 и 6 предикаты y ³ c1, c1 = a, и c2 ≤ y, c1 = b играют роль функций: y → max и y → min.
В таблице «Признаки / Показатели» переменные a, b, c1, c2 обозначаются следующим образом: a – минимальная граница шкалы (МинГШ); b – максимальная граница шкалы (МаксГШ); c1 – нижняя граница нормы (НГН); c2 – верхняя граница нормы (ВГН).
Качественные требования к показателям реализуются через выбор ОцФ. Наиболее сложной является составная немонотонная функция принадлежности классу. В её состав входят восходящая и нисходящая монотонные функции. В качестве типовых нелинейных функций приняты парабола (пар), обратная парабола (о.пар) и логистическая (лог) функции. Для моделирования принадлежности точечной норме дополнительно используется функция Гаусса.
Таким образом, для выбора нужной ОцФ необходимо знать класс ОцФ (линейная / нелинейная) и тип нелинейной функции («пар», «о.пар», «лог», «Гаусса»).
В таблице 2 приведены примеры кодирования шести предикатов в шкале [a, b] = [0, 10].
В строках НГН и ВГН показателя П1 заданы границы нормы [с1, с2] = [4, 6]. В качестве ОцФ показателю П1 задана функция принадлежности классу с нелинейными (нл) логистическими фронтами (рисунок 9). Для показателя П2 в строках НГН и ВГН задана средняя точка 5 шкалы [0, 10]. В качестве ОцФ показателю П2 задана функция Гаусса (рисунок 10).
Таблица 2 - Пример кодирования требований к показателям
Применение одной значащей промежуточной переменной с1 или с2 на шкале показателя [a, b] позволяет порождать лишь монотонные ОцФ, поскольку используется только для задания их направленности (возрастания / убывания).
Полуинтервальные ограничения ³ 4 и ≤ 6 кодируются одной из границ интервала [4, 6]. Этим точкам на шкалах показателей соответствуют точки перегиба кусочно-линейных ОцФ. Возрастающая кусочно-линейная функция показателя П3, реализующая ограничение yj ³ 4, приведена на рисунках 3а и 4. Убывающая кусочно-линейная функция показателя П4, реализующая ограничение yj ≤ 6, приведена на рисунке 3б.
Кодирование показателей П5 и П6 иллюстрирует переход от ограничений ³ и ≤ к их максимизации и минимизации приравниванием с1 и с2 соответственно к нижней и верхней границам шкалы [0, 10]. ОцФ П5 и П6 задана нелинейность – восходящая парабола показателю П5 (рисунок 5) и нисходящая обратная парабола показателю П6.
Пустая строка «Вес» в таблице 2 означает равенство важности показателей. В противном случае задаются веса показателей в зависимости от применяемого метода оценивания – либо в долях единицы, либо натуральными числами, начиная с единицы.
С помощью предложенного кодирования ОцФ на основе предикатов «не менее» и «не более» могут порождаться монотонные ОцФ: пять базовых ОцФ (линейная, парабола, обратная парабола, логистическая и функция Гаусса) и три составных функции (кусочно-линейная, парабола-обратная парабола, обратная парабола-парабола). На основе предикатов Pr∈ (y, [c1, c2]) и Pr= (y, c) порождаются по пять немонотонных ОцФ (см. рисунки 2, 7-10): четыре составных функции (линейная, парабола, обратная парабола, логистическая) и одна элементарная ОцФ (функция Гаусса).
5 Кодирование классов
Границы классов могут совпадать, не совпадать и пересекаться. На рисунке 11 показаны варианты соотношения границ на примере трёх классов: «Ниже среднего» (НС), «Средний» (С), «Выше среднего» (ВС). Пересечение границ смежных классов означает частичную принадлежность показателя каждому из них, которая моделируется монотонно восходящим и нисходящим фронтами функции принадлежности (нижний вариант размещения границ).
В таблице 3 границы классов (норм) помечены именами (НС, С, ВС). Столбцы таблицы отражают границы трёх вариантов соотношения классов, изображённых на рисунке 11.
Общими для всех классов являются границы шкалы (верхние две строки таблицы). При задании числа классов по изложенной исходной информации автоматически могут строиться функции принадлежности классам каждого показателя.
Рисунок 11 – Варианты границ между классами
Таблица 3 - Задание границ шкал и классов
Таблица 4 – Требования к показателю в задаче оценивания отклонения от нормы
Важным частным случаем классификации является определение отклонений от нормы в меньшую и большую стороны по величине функции принадлежности [15]. Ввиду зависимости классов «Меньше нормы» (МН) и «Больше нормы» (БН) от класса «Норма» (Н) создание функций принадлежности этим классам не требует оформления их как отдельных классов. Для создания их функций принадлежности используются параметры, заданные для класса «Норма».
На примере показателя «Число ошибок» в таблице 4 приведена информация, востребованная в задаче оценивания отклонения от нормы. Для моделирования расплывчатости границ между классом Н и классами МН и БН таблица 4 дополнена строками – ДОМ (допустимое отклонение от нормы в меньшую сторону) и ДОБ (допустимое отклонение от нормы в большую сторону).
Для вычисления индикатора состояния объекта [15] в таблицу 4 введена строка «Лучший класс» с возможными значениями «Норма», «Меньше нормы» и «Больше нормы». Эта информация востребована для оценивания улучшаемых показателей, отклонение которых в одну сторону от нормы является желательным.
Таким образом, кодирование требований к показателям объекта (см. пример в таблице 2), можно считать универсальным средством для построения моделей ММО объектов.
Заключение
Формализация количественных и качественных требований к значениям показателей позволила найти минимальный набор признаков, необходимый и достаточный для различения всех рассмотренных видов ОцФ, применяемых при ММО сложных объектов. Все варианты количественных требований представлены как частные случаи задания принадлежности классу на шкале показателя. Кодирование качественных требований к значениям показателей позволило различить все ОцФ.
Предложенный «язык» для обозначения ОцФ позволил формировать требования к значениям показателей в виде таблицы «Признаки / Показатели». Для этой цели выбран табличный процессор MS Excel. В системе СВИРЬ-М модель ММО сложного объекта создаётся автоматически после ввода таблицы «Признаки / Показатели».
Результаты исследования позволили значительно снизить трудоёмкость создания модели ММО объекта, а подготовку исходных данных (таблица «Объекты / Показатели») и условий задачи (таблица ««Признаки / Показатели»») вынести за пределы системы СВИРЬ-М на табличный процессор MS Excel.
1 Оценочные функции, приведённые на рисунках 5-10, из библиотеки ОцФ системы СВИРЬ-М.
Авторлар туралы
S. Mikoni
St. Petersburg Federal Research Center of the Russian Academy of Sciences;St. Petersburg Institute for Informatics and Automation of the Russian Academy of Sciences
Хат алмасуға жауапты Автор.
Email: smikoni@mail.ru
ORCID iD: 0000-0001-7153-6804
Scopus Author ID: 57192370467
ResearcherId: W-3236-2019
D. Sc. Eng., Professor, Leading Researcher, member of the Russian Association of Artificial Intelligence
Ресей, St. PetersburgӘдебиет тізімі
- Samarsky AA, Mikhailov AP. Mathematical modeling. Ideas. Methods. Examples. 2nd ed., corrected. [In Russian] Moscow: Fizmatlit, 2001. 320 p.
- Ehrgott M., Gandibleux X. A survey and annotated bibliography of multiobjective combinatorial optimization. OR Spektrum, 2000. 22, 425–460.
- Yamamoto Y. Optimization over the efficient set: Overview. Journal of Global Optimization, 2002; 22(1): 285–317. doi: 10.1023/A:1013875600711.
- Wierzbicki A.P. The Use of Reference Objectives in Multiobjective Optimization. In: Fandel G., Gal T. (eds) Multiple Criteria Decision Making Theory and Application. Lecture Notes in Economics and Mathematical Systems. Vol. 177. Springer, Berlin, Heidelberg. 1980. pp. 468-486.
- Mikoni SV, Tikhomirov VO, Trishankov VV, Sorokina MI. Determining the ranking of railway divisions based on plan fulfillment results [In Russian]. Proceedings of the 10th St. Petersburg conference "RI-2004". 24-26.10.2006. St. Petersburg: SPOISU. 2006. P.266-273.
- Mikoni SV, Sokolov BV, Burakov DP. SVIR-M, selection and ranking alternatives system: theoretical foundations and practice of application [In Russian]. Ontology of designing. 2024; 14(3): 167-180. doi: 10.18287/2223-9537-2024-14-3-167-180.
- Keeney RL, Raiffa H. Decisions with Multiple Objectives: Preferences and Value Tradeoffs. New York, Wiley. 1976. 569 p.
- Neumann JV, Morgenstern O. Theory of Games and Economic Behavior. Princeton, NJ. Princeton University Press. 1953.
- Fishburne PS. Utility theory for decision making [In Russian]. Transl. from English V.N. Vorobyova, A.Ya. Kiruti; Ed. N.N. Vorobyova. Moscow: Nauka, 1978. 352 p.
- Karpovich VN. Norm and description as categories of epistemology: rationality as a type and basis of normativity [In Russian]. Siberian Journal of Philosophy. 2013; 11(4): 5-11.
- Ershov YuL, Palyutin EA. Mathematical logic [In Russian]. Moscow: Fizmatlit. 2011. 356 p.
- Zadeh LA. Fuzzy Sets, Fuzzy Logic, and Fuzzy Systems: selected papers. World Scientific Press. 1996. 826 p.
- Vereshchagin NK, Shchepin EV. Information, coding and prediction [In Russian] Moscow: Foundation for Mathematical Education and Enlightenment, 2016. 240 p.
- Belonogov GG, Novoselov AP. Automation of processes of accumulation, search and generalization of information. [In Russian] Moscow: Nauka, 2017. 256 p.
- Mikoni SV. Modeling deviations of object quality indicators from the norm [In Russian]. Ontology of designing. 2024; 14(2): 167-180. doi: 10.18287/2223-9537-2024-14-2-167-180.
Қосымша файлдар
















