Избирательная проницаемость гомогенной бислойной мембраны МФ-4СК с селективным слоем из катионного полиэлектролита в смешанном растворе хлорида кальция и хлорида натрия
- Авторы: Ачох А.Р.1, Бондарев Д.А.1, Мельников С.С.1, Заболоцкий В.И.1
-
Учреждения:
- Кубанский государственный университет
- Выпуск: Том 14, № 5 (2024)
- Страницы: 358-367
- Раздел: Статьи
- URL: https://bakhtiniada.ru/2218-1172/article/view/281192
- DOI: https://doi.org/10.31857/S2218117224050026
- EDN: https://elibrary.ru/MYRLKI
- ID: 281192
Цитировать
Полный текст
Аннотация
Разработаны новые гомогенные бислойные мембраны с тонким анионообменным слоем на основе сополимера N,N-диаллил-N,N-диметиламмоний хлорида (ДАДМАХ) и этилметакрилата (ЭМА) на поверхности мембраны-подложки из сульфированного политетрафторэтилена. Теоретически и экспериментально исследованы общие и парциальные вольтамперные характеристики, внешне- и внутридиффузионные предельные токи. Определены параметры удельной электропроводности, сорбции и диффузионной проницаемости отдельных слоев мембран, а также эффективные числа переноса и специфическая селективность бислойных гомогенных мембран в смешанных растворах хлорида кальция и хлорида натрия.
Установлено, что нанесение тонкого анионообменного слоя ДАДМАХ и ЭМА на гомогенную мембрану позволяет получить бислойную зарядселективную мембрану с повышенной селективностью к однозарядным катионам металлов. Специфическая селективность бислойной мембраны МК-2 к катионам натрия возрастает в более чем 6 раз (с 0.77 до 4.78) относительно исходной гомогенной мембраны-подложки МФ-4СК.
Проведена верификация полученных экспериментальных данных в рамках четырехслойной математической модели с квазиравновесными граничными условиями для системы диффузионный слой (I) / модифицирующий слой (II) / мембрана-подложка (III) / диффузионный слой (IV) в тернарных растворах NaCl+CaCl2.
Полный текст
ВВЕДЕНИЕ
Одной из главных задач при разработке электромембранных технологий разделения ионов является создание мембран с высокой специфической селективностью к одному или нескольким ионам, содержащимся в многоионных растворах. Мембраны с избирательной селективностью являются востребованными в таких электромембранных технологиях как: обратный и метатезисный электродиализ [1, 2], мембранно-емкостной деионизация [3–5], проточные redox батареи [6], микробиологические топливные элементы [7], при создании систем адресной доставки лекарственных препаратов [8]. Особенно востребованными являются электромембранные процессы разделения ионов при создании бессточных и безотходных циклических производств в химической, биохимической и медицинской промышленности [9], агропищевой индустрии [10–12], гидрометаллургии [13, 14].
Основным подходом при создании таких мембран является их поверхностная модификация [15, 16]. При этом на поверхности исходных изотропных ионообменных мембран формируется тонкий селективный слой [17, 18] и мембрана становится анизотропной (двухслойной [19] или многослойной [20]).
Известно несколько физико-химических подходов для формирования селективных слоев на поверхности мембран [21]. Для разделения ионов с различной гидратируемостью и радиусом используется ситовый эффект (sieving effect) и гидрофилизация или гидрофобизация поверхности мембран [21]. Для разделения ионов с различным зарядом поверхность мембраны модифицируется заряженными полиэлектролитами или ионполимерами с зарядом одноименным по отношению к разделяемым ионам (эффект электроселективности) [22, 23]. Существуют подходы по введению в селективный слой неорганических дoпантов или комплексонов, способных к координации или образованию ковалентных связей с одним из разделяемых ионов, при этом достигается снижение подвижности этого иона и/или увеличение его селективной сорбции [24]. Доминирование одного из этих эффектов приводит к снижению или увеличению специфической селективности мембран по отношению к координируемому иону.
Как правило, для поверхностной модификации используют коммерческие ионообменные мембраны, которые можно разделить на две основные группы: гомогенные и гетерогенные ионообменные мембраны. Гетерогенные мембраны обладают следующими преимуществами: низкой стоимостью, простотой изготовления, высокой механической прочностью и стабильностью. К недостаткам гетерогенных мембран можно отнести большую толщину мембран и относительно невысокие электропроводные свойства и, как правило, меньшую степень адгезии модифицирующего слоя вследствие большого количества инертного связующего. По сравнению с гетерогенными мембранами, гомогенные мембраны лишены этих недостатков и с успехом могут быть использованы для модификации с целью получения новых ионселективных мембран.
Ранее авторами была разработана новая гомогенная анионообменная мембрана на основе сополимера ДАДМАХ и ЭМА, проявляющая высокую электрохимическую стабильность в условиях высокоинтенсивного электродиализа и концентрированных щелочных растворах [25].
Целью работы являлась разработка бислойных гомогенных мембран и исследование их электрохимических и транспортных характеристик в смешанном растворе хлорида кальция и хлорида натрия.
ОБЪЕКТЫ И МЕТОДЫ ИССЛЕДОВАНИЯ
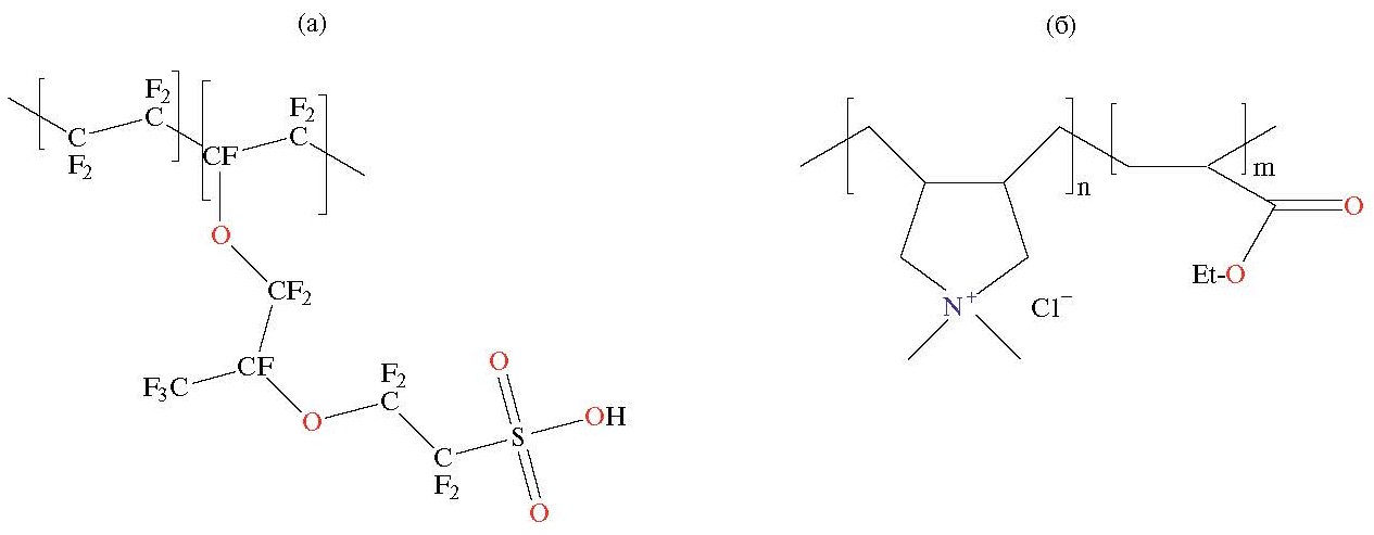
Объектами исследования являлись экспериментальные гомогенные мембраны с тонким селективным слоем из сополимера ДАДМАХ и ЭМА на поверхности мембраны-подложки из сульфированного политетрафторэтилена (МФ-4СК) производства OAO “Пластполимер”, Россия. Жидкая мембрана МФ-4СК из сульфированного политетрафторэтилена является российским аналогом мембраны Nafion [26]. Химические структуры мембраны-подложки и модифицирующего слоя представлены на рис. 1.
Рис. 1. Химическая структура катионообменной мембраны-подложки МФ-4СК (а) и анионообменного модифицирующего слоя МА-1 (б).
Модифицированные мембраны получали путем нанесения тонкого слоя жидкой мембраны на основе сополимера ДАДМАХ и ЭМА на поверхность мембраны-подложки. Мембраны МФ-4СК и модифицирующий слой были получены из 10%-ных растворов, приготовленных на изопропиловом спирте. Толщина селективного анионообменного слоя изменялась путем нанесения разного объема раствора сополимера. Испарение растворителя осуществлялось при температуре 25˚С и атмосферном давлении 760 мм рт. ст. Через 24 часа на поверхности МФ-4СК формировался плотный слой сополимера ДАДМАХ и ЭМА. Аналогичным образом была получена гомогенная анионообменная мембрана МА-1, только раствор сополимера ДАДМАХ и ЭМА наносили на поверхность стекла в количестве, достаточном для получения мембраны толщиной 100 мкм.
Бислойные мембраны с толщиной селективного слоя 6 мкм и 24 мкм в дальнейшем обозначались соответственно МК-1 и МК-2. ИК-спектры МК-2 со стороны катионообменного и анионообменного слоев
Бислойные мембраны были исследованы методом ИК-спектроскопии (рис. 2), с использованием приставки МНПВО на приборе Vertex 70 (Bruker, Германия).
Рис. 2. ИК-спектр бислойной мембраны МК-2 со стороны катионообменного слоя (1) и со стороны анионообменного слоя (2).
Из анализа ИК-спектров видно, что для слоя МФ-4СК наблюдаются характерные полосы поглощения (3500 и 1628 см–1), соответствующие валентным и деформационным колебания H2O, также имеется полоса, соответствующая валентным асимметричным колебаниям групп SO3–, CF3-CF2- и С-О-С (1310–1203 см–1). При 1146 см–1 наблюдаются колебания характерные для связей С-С, а две следующие полосы (1063 и 982 см–1) соответствуют колебаниям связей S-O-H, С-O-C и симметричным колебаниям группы SO3– соответственно.
Со стороны анионообменного слоя в мембране наблюдаются полосы поглощения, характерные для сополимера ДАДМАХ и ЭМА. В области 3030–2800 см–1 проявляются валентные колебания С-H связей метильных и метиленовых групп, валентные колебания карбонильной группы (С=О) сложноэфирного фрагмента этилметакрилата проявляются при 1720 см–1, колебания углеродного скелета и деформационные колебания связей С-Н, С-С, С-О-С находятся в области от 1500 до 400 см–1. Полное описание ИК–спектра анионообменной мембраны было представлено в работе [25].
В независимых экспериментах были исследованы транспортные и электрохимические свойства монополярных пленок МФ-4СК и МА-1, полученные методом полива на стекло. При исследовании мембран в качестве рабочих растворов были использованы индивидуальные и смешанные растворы хлоридов кальция и натрия.
Исследование вольтамперных характеристик и эффективных чисел переноса
Вольтамперные характеристики (ВАХ) мембран были получены методом вращающегося мембранного диска (ВМД), позволяющего задавать постоянную толщину диффузионного слоя и одновременно определять эффективные (гитторфовские) числа переноса [27]. Измерения ВАХ проводились в тернарных растворах CaCl2 (0.015 моль-экв/л) + NaCl (0.015 моль-экв/л). Плотность тока изменялась ступенчато. Скорость подачи раствора в катодную камеру составляла 7.5 ± 0.1 мл/мин. Состав исходного раствора в анодной камере поддерживался постоянным.
Концентрации катионов Ca2+ и Na+ в катодной и анодной камерах ВМД определялся с помощью жидкостного ионного хроматографа Аквилон Стайер, с использованием хроматографической колонки Shodex IC YS-50. Ошибка определения концентрации ионов не превышала 5%.
Числа переноса ионов определялись по формуле:
, (1)
где Ti – гитторфовские числа переноса; ci – концентрация электролита после концентрирования, моль/л; – концентрация исходного раствора моль/л; vi – объемная скорость, л/с; I – ток, А; F – постоянная Фарадея, Ас/моль.
Коэффициенты специфической селективности определялись по формуле:
, (2)
где T1 и T2 – гитторфовские числа переноса кальция и натрия соответственно; и – концентрация кальция и натрия соответственно в глубине раствора, моль/л.
Определение констант термодинамического равновесия ЭМС
Для определения констант термодинамического равновесия были получены изотермы ионного обмена для гомогенной пленки МФ-4СК, а также изотермы донанновской сорбции электролитов для модифицирующей анионообменной пленки МА-1 в смешанном растворе CaCl2 и NaCl. Исследования проводились по методике без разделения фаз ионита и равновесного раствора [28].
Переведенные в Ca2+ и Na+ формы и отмытые деионизованной водой мембраны помещались в растворы с различным соотношением концентраций ионов Ca2+ и Na+. При этом суммарная концентрация ионов была постоянной и составляла 0.03 моль-экв/л. После достижения равновесия определялся равновесный ионный состав раствора. По изменению концентраций ионов в растворе находились равновесные концентрации ионов Ca2+ и Na+ в мембранах МФ-4СК и МА-1. Равновесные концентрации ионов в растворе нормировались на суммарную концентрацию ионов в растворе, а концентрации ионов в мембранах – на обменную емкость мембран.
Полученные зависимости эквивалентной доли ионов кальция в мембране и модифицирующей пленки от доли ионов кальция в растворе Θ1 использовались для построения изотерм ионного обмена (3) и донанновской сорбции (4):
, (3)
, (4)
где и – эквивалентные доли ионов в мембране-подложке и модифицирующем слое; Θj – эквивалентные доли ионов в фазе раствора; z1 и z2 – заряды ионов.
Толщины модифицирующих пленок и мембран определяли с помощью электронного микрометра Absolute Digimatic MDH Mitutoyo с погрешностью 0.5 мкм.
Определение обменной емкости и влагосодержания мембран проводили по стандартной методике [29].
Определение коэффициентов диффузии ионов в мембранах
Коэффициенты диффузии ионов Ca2+ и Na+ в исследуемых мембранах вычислялись по значениям удельной электропроводности мембран в Ca2+ и Na+ форме соответственно. Удельная электропроводность мембран и (j = Ca2+, Na+) определялась путем анализа спектров электрохимического импеданса в ртутно-контактной ячейке [29]. Сопротивление мембраны (R) находилось экстраполяцией измеренного комплексного сопротивления на бесконечно большую частоту. Частотные спектры электрохимического импеданса были получены с использованием потенциостата-гальваностата-импедансметра “Parstat 4000” в диапазоне частот 1 Гц – 500 кГц.
На основании значений удельной электропроводности исследуемых мембран в моноионных формах и с использованием значения обменной емкости мембран Q были рассчитаны коэффициенты диффузии кальция и натрия в мембране-подложке ()
. (5)
Для определения коэффициентов диффузии ионов Na+ и Ca2+ в мембране МА-1 измерялись коэффициенты диффузионной проницаемости электролитов хлорида натрия и хлорида кальция. Коэффициенты диффузионной проницаемости определялись путем измерения диффузионных потоков индивидуальных электролитов (NaCl и CaCl2) через мембрану в деионизированную воду по методике [29].
Коэффициенты диффузии в модифицирующем слое находились по формуле:
, (6)
где Pj – интегральный коэффициент диффузионной проницаемости электролита; βj – параметр, характеризующий концентрационный профиль внутри мембраны. Значения коэффициентов диффузии мембраны МФ-4СК определялись при концентрации c0 = 0.03 моль-экв/л.
РЕЗУЛЬТАТЫ И ИХ ОБСУЖДЕНИЕ
Транспортные характеристики гомогенных мембран
Диффузионная проницаемость гомогенной анионообменной мембраны МА-1 полученной из 10% раствора сополимера ДАДМАХ и ЭМА в изопропиловом спирте была изучена в растворах NaCl и CaCl2. На рис. 3 представлена зависимость интегрального коэффициента диффузионной проницаемости от концентрации внешнего раствора.
Рис. 3. Зависимость интегральной диффузионной проницаемости анионообменной мембраны МА-1 от концентрации электролита: 1 – NaCl; 2 – CaCl2.
Из представленных данных следует, что диффузия хлорида натрия через мембрану МА-1 протекает с более высокой скоростью, чем диффузия хлорида кальция. Такое различие в скорости диффузии электролитов можно объяснить различными зарядами ионов Na+ и Ca2+. В анионообменной мембране МА-1 ионы Na+ и Ca2+ являются коионами, и их транспорт осложняется по мере увеличения заряда катиона. Снижение диффузионной проницаемости по мере увеличения заряда ко-иона характерно для большинства селективных ионообменных мембран [35].
Зависимость электропроводности гомогенной мембраны МА-1 от концентрации растворов NaCl и CaCl2 представлена на рис. 4.
Рис. 4. Зависимость удельной электропроводности мембраны МА-1 от концентрации электролита: 1 – NaCl; 2 – CaCl2.
Как видно из рис. 4, в исследуемом диапазоне концентраций растворов электропроводность анионообменной мембраны МА-1 не зависит от заряда и концентрации ко-ионов Na+ и Ca2+. Электропроводность исследуемой мембраны МА-1 во многом определяется природой противоиона и его концентрацией. Так как для исследуемой анионообменной мембраны хлорид анион является противоионом и его концентрация одинакова как в случае с NaCl, так и в случае с CaCl2, то и электропроводность мембраны в этих растворах является близкой. При высоких концентрациях внешнего раствора содержание ко-ионов (Ca2+ и Na+) в фазе мембраны также увеличивается, что может сказываться на электропроводности. Однако для гомогенной мембраны МА-1 данный эффект при этих концентрациях проявляется в меньшей степени. Таким образом электропроводящие характеристики мембраны МА-1 определяются только значениями коэффициентов диффузии противоиона Cl–. Аналогичные закономерности получены для гетерогенной мембраны МА-41 и гомогенной мембраны АМХ [35].
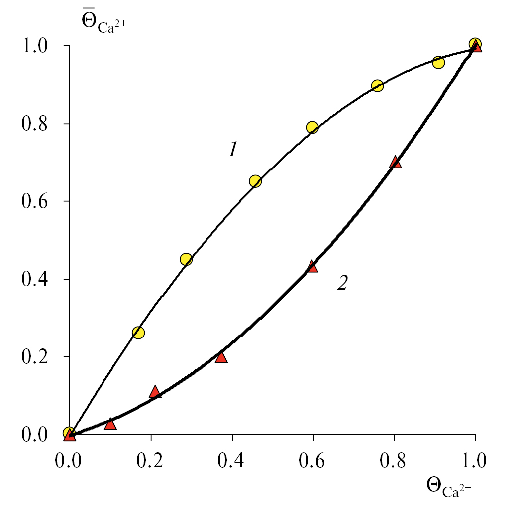
На рис. 5 представлены изотермы ионного обмена катионообменной гомогенной мембраны МФ-4СК и донанновской сорбции гомогенной анионообменной мембраны МА-1 в смешанном растворе хлорида кальция и хлорида натрия.
Рис. 5. Изотермы ионного обмена и донанновской сорбции в системе мембрана/тернарный раствор CaCl2 + NaCl c суммарной концентрацией 0.03 моль-экв/л. Маркерами показаны экспериментальные данные: 1 – МФ-4КС, 2 – МА-1; линиями показан расчет по уравнениям 3 и 4.
Из рис. 4, видно что, анионообменная мембрана МА-1, формирующая селективный слой, обладает большей донанновской сорбцией по отношению к ионам натрия, в то время как мембрана-подложка МФ-4СК обладает большей ионообменной сорбцией к противоионам кальция.
Низкую донанновскую сорбцию двухзарядных ионов кальция в анионообменной мембране МА-1 по сравнению с ионами натрия можно объяснить зарядовой селективностью. Ионы кальция и натрия имеют одинаковый знак заряда с фиксированными ионогенными группами мембраны МА-1. По этой причине ионы кальция существенно меньше сорбируется мембранной. В катионообменных мембранах заряд фиксированных групп отрицательный, за счет этого сорбция двухзарядных катионов превалирует. Кроме того, пониженное влагосодержание мембраны МА-1 [25] приводит к гидрофобизации поверхности мембраны и, как следствие, меньшей сорбции более гидратированых ионов кальция.
Значение константы Доннана для анионообменной мембраны МА-1 = 0.73. Значения констант ионного обмена, определенные их изотерм сорбции, для мембраны МФ-4СК составило = 1.56.
В табл. 1 представлены физико-химические свойства и транспортные характеристики индивидуальных слоев образующих бислойную мембрану.
Таблица 1. Физико-химические свойства и транспортные характеристики гомогенных мембран МФ-4СК и МА-1
МФ-4СК/МА-1 (CaCl2+NaCl) | ||||
Параметры | МФ-4СК | МА-1 | ||
Са2+ | Nа+ | Са2+ | Nа+ | |
Влагосодержание (), H2O/gsw, % | 17.4 ± 2 | 15.6 ± 2 | 30.5 ± 2 | 28,9 ± 2 |
Обменная емкость ( и ), ммоль-экв/см3 | 0.82 ± 0.05 | 0.97 ± 0.05 | ||
Удельная электропроводность ( и ), mSm/cm | 1.27 ± 0.1 | 1.86 ± 0.1 | 1.98 ± 0.1 | 1,96 ± 0.1 |
Коэффициенты диффузии ( и ) , m2/s | 1.41 | 3.93 | 0.24 | 0,65 |
Константа ионного обмена () | 1.56 | – | ||
Константа необменной сорбции () | – | 0.73 | ||
Толщина диффузионного слоя, мкм | 53.3 ± 1 | |||
Константы ионообменного равновесия и | 1.90 | 0.75 | ||
Толщина мембраны-подложки и модифицирующего слоя ( и ), мкм | 210 | 61 | ||
242 | ||||
1 – модифицированная мембрана МК-1.
2 – модифицированная мембрана МК-2.
Вольтамперные характеристики бислойных мембран
Вольтамперные характеристики ионообменных мембран были исследованы на установке с вращающимся мембранным диском, при скорости вращения 100 об/мин, в смешанном растворе хлорида натрия (0.015 моль-экв/л) и хлорида кальция (0.015 моль-экв/л), рис. 6.
Рис. 6. Общие ВАХ и парциальные токи по продуктам диссоциации воды бислойных гомогенных мембран в растворе 0.015 моль-экв/л NaCl и 0.015 моль-экв/л CaCl2 при скорости вращения мембранного диска 100 об/мин: 1, 4 – МФ-4СК; 2, 5– МК-1 с толщиной модифицирующей пленки 6 мкм; 3, 6 – МК-2 с толщиной модифицирующей пленки 24 мкм.
Как видно из рис. 6, нанесение на гомогенную мембрану тонкого анионообменного слоя сополимера ДАДМАХ и ЭМА толщиной 6 мкм приводит к снижению значения предельной плотности тока до 0.8 мА/см2. Увеличение толщины анионообменного слоя до 24 мкм снижает предельную плотность дока до 0.35 мА/см2. Такой характер зависимости ВАХ свидетельствует о формировании внутридиффузионного предельного тока на границе модифицирующий слой/мембрана-подложка.
Анализ зависимости предельного тока от корня квадратного угловой скорости ВМД представлен на рис. 7. На катионообменной мембране МФ-4СК в исследуемом смешанном растворе общая плотность предельного тока ilim складывается из парциальных плотностей предельного тока по каждому из противоионов, пренебрегая потоком ко-ионов через мембрану (j3 = 0) [30]:
. (7)
Рис. 7. Зависимость предельной плотности тока от квадратного корня угловой скорости ВМД в смешанном растворе 0.015 моль-экв/л NaCl и 0.015 моль-экв/л CaCl2. Пунктирной линией показаны значения предельной плотности тока, рассчитанные по формуле 7. Маркерами показаны экспериментальные значения предельных токов, найденные методом касательных для мембран: 1 – МФ-4СК; 2 – МК-1; 3 – МК-2.
Проведенные исследования при различной скорости вращения мембранного диска показывают, что предельная плотность тока для мембран МК-1 и МК-2 не зависит от толщины диффузионного слоя (рис. 7). Это связано с тем, что общий предельный внутридиффузионный ток на этой мембране аддитивно складывается из парциальных токов ко-ионов Na+ и Ca2+ через модифицирующий слой и Cl– через мембрану-подложку [30]:
. (8)
В бислойных мембранах МК-1 и МК-2 толщина модифицирующего слоя более чем на порядок меньше толщины слоя мембраны-подложки. Таким образом, значение предельного тока определяется отношением коэффициентов диффузии ко-ионов к толщине модифицирующего слоя.
Специфическая селективность бислойных мембран
На рис. 8 представлена зависимость коэффициента специфической селективности от безразмерной плотности электрического тока бислойных мембран МК-1 и МК-2.
Рис. 8. Зависимость коэффициента специфической селективности PNa+/Ca2+ от безразмерной плотности электрического тока в смешанном растворе 0.015 моль-экв/л NaCl и 0.015 моль-экв/л CaCl2 при скорости вращения мембранного диска 100 об/мин: маркерами представлены экспериментальные данные, сплошной линией показан расчет по четырехслойной математической модели [30], пунктирной линией показано предельное значение коэффициента селективной проницаемости рассчитанное по уравнению 11.
Как видно из рис. 8, бислойные мембраны МК-1 и МК-2 обладают большей специфической селективностью по отношению к ионам натрия по сравнению с ионами кальция. Этот эффект обусловлен зарядовой селективностью модифицирующего слоя, в котором знак заряда фиксированных групп положителен. При этом высокая специфическая селективность двухслойных мембран с различными зарядами полимерных матриц модифицирующего слоя и мембраны-подложки может достигаться уже при малой толщине модифицирующего слоя. Так нанесение 6 мкм анионообменного слоя сополимера ДАДМАХ приводит в более чем в 3-кратному росту специфической проницаемости по однозарядному иону натрия. При плотностях тока равных или близких к нулю, высокая специфическая селективность разработанных гомогенных бислойных мембран определяется равновесными коэффициентами распределения ионов в модифицирующем слое (). Коэффициенты специфической проницаемости для модифицирующего слоя () и для мембраны подложки () определяются кинетическими характеристиками (отношением коэффициентов диффузии разделяемых ионов в модифицирующем слое () и в мембране-подложке ()), термодинамическими характеристиками – коэффициентами разделения ионов ( и ) и отношением зарядовых чисел ионов (z1 и z2) по следующей формуле [30]:
, (9)
. (10)
Значения квазиравновесных коэффициентов рассчитанные для мембраны-подложки МФ-4СК и модифицирующей пленки МА-1 составили = 0.74 и = 4.82 соответственно.
Рост плотности тока приводит не только к изменению ионного состава мембраны, но и к снижению специфической селективности. При достижении предельного состояния, определяется только коэффициентами диффузии и зарядами разделяемых ионов в растворе [30]:
. (11)
В случае с модифицированной мембраной, предельный внешнедиффузионный ток не удается достичь при наращивании плотности тока, так как в сверхпредельных токовых режимах происходит диссоциация воды на границе модифицирующий слой/мембрана-подложка, и как следствие, появляются новые переносчики тока. Анализ данных чисел переноса показывает, что при достижении предельной плотности электрического тока на модифицированной мембране поток ионов натрия снижается, а водорода увеличивается, при этом числа переноса ионов кальция практически не меняются. При достижении плотности электрического тока, равной двум предельным токам, сумма чисел переноса ионов натрия и кальция не превышает 0.6, остальные 0.4 приходятся на ионы H+. Различия коэффициентов селективной проницаемости исходной и модифицированных мембран при i > ilim могут быть связаны с изменением соотношений конкурирующих ионов в модифицирующей пленке [36].
Верификация экспериментальных данных в рамках четырехслойной математической модели
На основе экспериментально найденных параметров физико-химических и транспортных свойств мембраны-подложки и модифицирующей пленки были рассчитаны значения селективной проницаемости по ранее разработанной авторами статьи четырехслойной математической модели [30].
Квазиравновесные значения специфической проницаемости для модифицированных мембран МК-1 и МК-2 были рассчитаны по четырехслойной математической модели путем экстраполяции зависимости P1,2(i) на i → 0 [30]. Значения квазиравновесных коэффициентов специфической проницаемости для двухслойных мембран МК-1 и МК-2 составили 3.4 и 4.2 соответственно.
Сплошными линиями на рис. 8 показаны зависимости коэффициентов специфической проницаемости, рассчитанные по четырехслойной математической модели от безразмерного тока. Для исходной катионообменной мембраны МФ-4СК и анионообменной пленки МА-1 наблюдается полная потеря селективности при достижении внешнедифузионного предельного тока, что согласуется с теорией [30]. Для модифицированных мембран наступление предельного состояния на внутренней межфазной границе модифицирующий слой/мембрана-подложка ограничивает возможности четырехслойной математической модели для расчетов P1,2 при высоких плотностях тока (при i > ilim). Скачок электрического потенциала при равенстве нулю граничных концентраций ионов на внутренней межфазной границе при i = ilim становится бесконечно большим. Для расширения рабочего диапазона плотностей тока в модели необходимо учитывать процесс диссоциации воды и возникновение области пространственного заряда.
ЗАКЛЮЧЕНИЕ
Разработаны новые гомогенные бислойные на основе мембраны МФ-4СК с тонким селективным слоем, состоящим из сополимера N,N-диаллил-N,N-диметиламмоний хлорида и этилметакрилата. Исследованы электрохимические и транспортные характеристики отдельных слоев бислойной мембраны в растворах хлорида натрия и хлорида кальция. Определены сорбционные свойства и диффузионная проницаемость отдельных слоев образующих бислойную мембрану. Установлено, что нанесение тонкого селективного гомогенного слоя приводит к кратному снижению величины предельной плотности электрического тока и увеличению коэффициента специфической проницаемости по отношению к однозарядному иону натрия. Селективность бислойной мембраны МК-2 к катионам натрия возрастает в более чем 6 раз (от 0.77 до 4.78) относительно исходной гомогенной мембраны-подложки МФ-4СК. Такой эффект обусловлен пониженной сорбцией двухзарядных ионов кальция в модифицирующем слоем, а также низким коэффициентом диффузионной проницаемости ионов кальция в этом слое.
На основании полученных транспортных характеристик отдельных слоев образующих бислойную мембрану были проведены расчеты по ранее разработанной четырехслойной математической модели. Расчетные значения коэффициента специфической проницаемости качественно и количественно согласуются с экспериментальными данными.
Разработанные гомогенные бислойные мембраны с высокой химической и электрохимической стабильностью в дальнейшем могут быть использованы для селективного извлечения и концентрирования однозарядных ионов в многоионных растворах сильных электролитов.
ФИНАНСИРОВАНИЕ РАБОТЫ
Исследование выполнено при финансовой поддержке Российского научного фонда, проект № 22-13-00439, https://rscf.ru/project/22-13-00439/.
КОНФЛИКТ ИНТЕРЕСОВ
Авторы данной работы заявляют, что у них нет конфликта интересов.
Об авторах
А. Р. Ачох
Кубанский государственный университет
Автор, ответственный за переписку.
Email: achoh-aslan@mail.ru
Россия, Краснодар, ул. Ставропольская, 149, 350040
Д. А. Бондарев
Кубанский государственный университет
Email: achoh-aslan@mail.ru
Россия, Краснодар, ул. Ставропольская, 149, 350040
С. С. Мельников
Кубанский государственный университет
Email: achoh-aslan@mail.ru
Россия, Краснодар, ул. Ставропольская, 149, 350040
В. И. Заболоцкий
Кубанский государственный университет
Email: achoh-aslan@mail.ru
Россия, Краснодар, ул. Ставропольская, 149, 350040
Список литературы
- Güler E., van Baak W., Saakes M., Nijmeijer K. // J. Membrane Science. 2014. V. 455. P. 254–270.
- Апель П.Ю., Бобрешова О.В., Волков А.В., и др. // Мембраны и мембранные технологии. 2019. Т. 9. С. 59–80.
- Grimm J., Bessarabov D., Sanderson R. // Desalination. 1998. V. 115. P. 285–294.
- Xu T. W., Huang C. H. // AIChE J. 2008. V. 54. P. 3147–3159.
- Tang W., He D., Zhang C., Kovalsky P., Waite T.D. //Water Res. 2017. V. 120. P. 229–237.
- Li X.F.,. Zhang H.M, Mai Z.S. et al. // Energy Environ. Sci. 2011. V. 4. P. 1147–1160.
- Qian Y., Huang L., Pan Y., et al. // Sep. Purif. Technol. 2018. V. 192. P. 78–87.
- Qiu Y., Park K. // Adv. Drug Delivery Rev. 2012. V. 64. P. 49–60.
- Титова Т.С., Юрова П.А., Кулешова В.А. // Мембраны и мембранные технологии. 2021. Т. 11. C. 460–468.
- Ter Veen W.R., Koene L. // Metal Finishing. 2003. V. 101. P. 17–27
- Zhou Y., Yan H., Wang X., et al. // J. Membrane Science. 2016. V. 520. P. 345–353.
- Nir O., Sengpiel R.G., Wessling M. // Chem. Eng. J. 2018. V. 346. P. 640–648.
- Boucher M., Turcotte N., Guillemette V., et al. // Hydrometallurg. 1997. V. 45. P. 137–160.
- Díaz Nieto C., Palacios N., Verbeeck K., et al. // Water Research. 2019. V. 154 P. 117–124.
- Lacour S., Deluchat V., Bollinger J.C., Serpaud B. // Talanta. 1998. V. 46. P. 999–1009.
- Горобченко А.Д., Гиль В.В., Никоненко В.В., Шарафан М.В. // Мембраны и мембранные технологии. 2022. Т. 12. С. 480–490.
- Sata T. // Royal Society of chemistry. 2007. V. 15. P. 68.
- Zabolotskii V., Sheldeshov N., Melnikov S. // J. Appl. Electrochem. 2013. V. 43. P. 1117–1129.
- Sata T. // J. Membrane Science. 1994. V. 93. P. 117–135.
- Abdu S., Wessling M. // ACS Applied Materials and Interfaces. 2014. V. 3. P. 1843–1854.
- Wang W., Liu R., Tan M., et al. // J. Membrane Science. 2019. V. 582. P. 236–245.
- Shkirskaya S., Kolechko M., Kononenko N. // Curr. Appl. Phys. 2015. V. 15. P. 1587–1592.
- Sata T., Izuo R. // J. Membrane Science. 1989. V. 45. P. 209–224.
- Golubenko D.V., Karavanova Yu.A., Melnikov S.S., et al. // J. Membrane Science. 2018. V. 563. P. 777–784.
- Bondarev D., Melnikov S., Zabolotsky V. // J. Membrane Science. 2023. V. 675. P. 121510.
- Nafion(tm) membranes and dispersions, URL: https://www.chemours.com/Nafion/en_US/index.html
- Заболоцкий В.И., Шельдешов Н.В., Шарафан М.В. // Электродимия. 2006. Т. 42. С. 1494.
- Заболоцкий В. И., Гнусин Н. П., Шеретова Г. М. // Журн. физ. химии. 1985. Т. 59. С. 2467–2471.
- Berezina N.P., Kononenko N.A., Dyomina O.A., Gnusin N.P. // Colloid Inter-face Sci. 2008. V. 139. P. 3.
- Ачох, А.Р., Заболоцкий В.И., Лебедев К.А., Шарафан М.В., Ярославцев А.Б. // Мембраны и мембранные технологии. 2021. Т. 11. С. 58–78.
- Demina O.A., Shkirskaya S.A., Kononenko N.A., Nazyrova E.V. // Russ. J. Electrochem. 2016. V. 52. P. 291.
- Nightingale E.R. // J. Phys. Chem. 1959. V. 109. № 43. P. 1381.
- Afanas’ev V.N., Tyunina E.Yu. // Russian Journal of General Chemistry. 2004. № 5. V. 74. P. 673.
- Zavitsas A.A. // J. Phys. Chem. 2005. V. 109. № 43. P. 20636.
- Sarapulova V.V., Titorova V.D., Nikonenko V.V., Pismenskaya N.D. // Membranes and Membrane Technologies. 2019. V. 1. P. 168–182.
- Gorobchenko A., Mareev S., Vikonenko V. // Int. J. Mol. Sci. 2022, 23(9), 4711; https://doi.org/10.3390/ijms23094711
Дополнительные файлы











