Formation and investigation of properties of composite gel-polymer electrolytes based on Nafion@ZrO2 membrane in Li+ form
- Authors: Voropaeva D.Y.1, Pyataeva Y.A.2, Yaroslavtsev A.B.1
-
Affiliations:
- Kurnakov Institute of General and Inorganic Chemistry of the Russian Academy of Sciences
- Higher School of Economics
- Issue: Vol 14, No 4 (2024)
- Pages: 295-301
- Section: Articles
- URL: https://bakhtiniada.ru/2218-1172/article/view/271553
- DOI: https://doi.org/10.31857/S2218117224040054
- EDN: https://elibrary.ru/MPREEW
- ID: 271553
Cite item
Full Text
Abstract
The use of cation-exchange membranes as polymer electrolytes in lithium metal batteries can inhibit dendrite formation during battery operation. Solvation of the membranes leads to an increase in ionic conductivity, but the mechanical properties, which also affect dendrite growth, are significantly degraded. In the present work, the mechanical strength and volumetric stability of Nafion®-117 membranes in Li+⁺ form solvated by a mixture of ethylene carbonate and propylene carbonate were improved by introducing nanosized zirconium dioxide particles into the membrane matrix by in situ method. It is shown that the introduction of 3.8 wt.% ZrO₂ leads to a ~28-fold increase in Young’s modulus compared to the unmodified membrane. At the same time, the volumetric stability of the membranes during solvation increases by ~3.4 times. However, the ionic conductivity of the membranes decreases after the introduction of dopant and is 3∙10–⁴, 5∙10–⁶ and 2.7∙10–⁶ S/cm at 25°C for the membrane without dopant and containing 3.8 wt.% and 6.7 wt.% zirconium dioxide, respectively.
Full Text
ВВЕДЕНИЕ
Литий-ионные аккумуляторы (ЛИА) являются наиболее распространенными источниками энергии как для применения в устройствах небольшой мощности (телефоны, ноутбуки, планшеты), так и для высокомощных устройств (электромобили, стационарные источники хранения электроэнергии). Хотя ЛИА и достигают удельной энергии плотности энергии 200–250 Вт–ч∙кг–1, они все еще не могут удовлетворить растущий спрос на высокую плотность энергии, что накладывает ограничения на применение в автомобилестроении [1]. Замена стандартных анодных материалов, таких как графит, титанат лития или кремний, на металлический литий позволит значительно повысить значения плотности энергии до 500 Вт–ч/кг полученных литиевых аккумуляторов благодаря высокой теоретической емкости (3 860 мАч/г) и низкому электрохимическоиу потенциалу интеркаляции лития (–3.04 В относительно стандартного водородного электрода) [2]. Наиболее важной проблемой, ограничивающей масштабное применение литиевых аккумуляторов, является прорастание дендритов через сепаратор [2–4].
Согласно теории пространственного заряда, предложенной Шазальвиетом, низкие числа переноса катиона лития приводят к прорастанию дендритов. Так, при движении ионов лития в процессе работы аккумулятора концентрация анионов вблизи поверхности электрода уменьшается. Вследствие истощения анионов вблизи электрода генерируются большие пространственные заряды и электрические поля на границе раздела электрод/электролит, что приводит к росту литиевых дендритов [3, 5]. Таким образом, использование электролитов или прослойки электролита с униполярной проводимостью по катионам путем связывания анионов с полимерной матрицей является одним из способов предотвратить образование дендритов [6–8].
К электролитам в литиевых аккумуляторах предъявляются следующие требования: (1) высокая ионная проводимость; (2) высокая механическая прочность и гибкость; (3) широкое окно электрохимической стабильности; (4) высокие числа переноса лития; (5) хорошая совместимость с электродами. Зачастую высокая ионная проводимость наблюдается у гель-полимерных электролитов, сольватированных полярными апротонными органическими растворителями [9–12]. Однако сольватация приводит к значительной потере механической прочности и объемной стабильности гель-полимерных электролитов [2, 13]. Введение неорганических допантов в гель-полимерный электролит является одним из способов повышения их механической прочности [14–19].
Такие неорганические частицы, как Al2O3 [20], TiO2 [16, 21, 22], ZrO2 [14, 23, 24] или SiO2 [18, 19], используются и в качестве допантов в гель-полимерных электролитах типа полимер/соль для повышения их механической прочности. Также отмечены работы, в которых в качестве одного из компонентов гель-полимерного электролита используются активные неорганические добавки, способные непосредственно участвовать в ионном транспорте. Например, был приготовлен электролит, содержащий наночастицы Li6.4La3Zr1.4Ta0.6O12 (LLZTO) или Li7La3Zr2O12 (LLZO) в полимерной матрице [17, 25]. Введение Li1.5Al0.5Ge1.5(PO4)3 (LAGP) в матрицу поли(винилидендифторида-глицерилметакрилата) улучшает контакт на границе электрод/электролит и улучшает ионную проводимость гель-полимерных электролитов [26]. Однако активные неорганические частицы, такие как LLZO, Li3PS4 и Li10GeP2S12 имеют электронную проводимость, хоть и невысокую (~10-8 См/см), что приводит к саморазряду и прорастанию дендритов внутри электролита [27–29]. Оксид циркония (IV) обладает высокой химической устойчивостью, термостабильностью и может быть подходящим допантом для модификации и изготовления функционального композиционного электролита [14, 24]. Сообщалось, что введение диоксида циркония в гель-полимерный электролит позволило добиться высоких значений механической прочности [30].
Вместе с тем, известно, что внедрение допанта может приводить к увеличению ионной проводимости и селективности ионообменных мембран в гидратированном состоянии [31]. Предложено несколько электролитов на основе композиционных катионообменных мембран. Например, в работе [8] был получен композиционный гель-полимерный электролит на основе смеси сополимера 4,4’-дифторбензолсульфонилимида и этиленгликоля и поли(винилидендифторита-гексафторпропилена), содержащий LAGP. Полученный гель-полимерный электролит, содержащий раствор этиленкарбоната – диметилкарбоната, характеризовался ионной проводимостью 8.3∙10–4 См/см и числом переноса 0.93. В работе [32] был получен композит на основе перфторированной сульфокатионообменной мембраны Nafion и частиц LLZO. Электролит, содержащий 10% LLZO и сольватированный смесью этиленкарбоната – пропиленкарбоната, характеризовался значениями ионной проводимости 2.26∙10–4 См/см (при 30°С), числом переноса 0.92 и широким окном электрохимической стабильности (0–4.8 В). Никотера и др. получили гель-полимерный электролит на основе мембраны Nafion, содержащий сульфированный оксид графена и сольватированный смесью этиленкарбоната – пропиленкарбоната, с высокой ионной проводимостью (5∙10–4 См/см) и числом переноса, близким к 1 [11]. В работе [33] сообщалось, что введение диоксида циркония в катионообменную мембрану Nafion-212 приводило к снижению ее ионной ионной проводимости, но одновременно значительно повышалась механическая прочность (модуль Юнга увеличивался почти втрое при введении 6.0 масс. % ZrO2). Тем не менее количество работ, посвященных изучению поведения композитных гель-полимерных электролитов на основе ионообменных мембран, содержащих инертные частицы, невелико. При этом есть противоречивые данные по влиянию таких допантов на величину ионной проводимости и механической прочности ионообменных мембран сольватированных апротонными растворителями.
В связи с этим целью данной работы являлось исследование влияния наночастиц ZrO2 введенных методом in situ на механические свойства, ионную проводимость и стабильность мембраны Nafion-117 сольватированной смесью этиленкарбонат – пропиленкарбонат.
ЭКСПЕРИМЕНТАЛЬНАЯ ЧАСТЬ
В работе использованы следующие реагенты: хлорид циркония (IV) восьмиводный (Merck, ≥98%), вода деионизованная (сопротивление 18 МОм·см), этиленкарбонат (ЭК) (Acros organics, безводный, ≥99%), пропиленкарбонат (ПК) (Acros organics, безводный, ≥99%), гидроксид натрия (Химмед, ХЧ), соляная кислота (Химмед, ОСЧ), перекись водорода (Химмед, ОСЧ), хлорид лития (ROTH, ≥99%), аммиак водный (Химмед, ОСЧ), Nafion-117 (DuPont).
Мембраны Nafion-117 кондиционировали по стандартной методике. Сначала их промывали раствором HCl с концентрацией 3.5 масс. % при постоянном перемешивании в течение трех часов при температуре 80°С. Затем помещали в раствор H2O2 с концентрацией 2.7 масс. % на три часа при температуре 80°С, после чего промывали деионизованной водой в течении трех часов при температуре 80°С. Далее мембраны были несколько раз промыты деионизованной водой при комнатной температуре до исчезновения реакции на хлорид-ионы. Наличие хлорид-ионов контролировали при помощи AgNO3. Для удаления воды мембраны выдерживались при 70°С под вакуумом в течение 12 ч.
Для получения композиционной мембраны Nafion@ZrO2 с различным содержанием неорганического допанта предварительно были приготовлены растворы ZrOCl2 с концентрациями 0.2М и 1.0М из ZrCl4·8H2O. В приготовленные растворы помещали предварительно кондиционированные мембраны на 8 ч при постоянном перемешивании. По истечение указанного времени мембраны промывали деионизованной водой в течение 5 мин, после чего помещали в водный раствор аммиака с концентрацией 4.7 масс. % на 2 ч для получения оксида циркония в порах мембраны по реакции (1). Для удаления остатков аммиака мембраны 2 раза промывали деионизованной водой.
. (1)
Затем мембраны кондиционировали выдерживаем в растворе HCl с концентрацией 3.5 масс. % в течение двух часов. По истечение времени мембраны были 4 раза промыты деионизованной водой до отсутствия реакции на хлорид-ионы. Часть мембран в H+ форме была высушена при температуре 70°С в вакууме в течение 12 ч для последующего определения ионообменной емкости.
Содержание допанта в мембране определяли гравиметрически. Термогравиметрический анализ образцов проводили с использованием термовесов Netzsch-TG 209 F1 в платиновых тиглях в диапазоне температур 25°–800°C (скорость нагрева 10 град/мин). Содержание допанта было определено по разнице масс тиглей до и после нагрева.
ИК-спектры сухих образцов были получены при помощи ИК-спектрометра Nicolet iS5 (фирма Thermo, приставка Specac Quest) в режиме нарушенного полного внутреннего отражения с алмазным кристаллом, диапазон частот 500—4000 см—1. Для подтверждения состава допанта образец мембраны отжигали при температуре 800°C в течение двух часов. Рентгенофазовый анализ (РФА) полученных после прокаливания остатков осуществляли с использованием дифрактометра Rigaku D/MAX 2200 (излучение CuKα). Сравнение полученных рентгенограмм со стандартными штирих-диаграммами осуществляли с использованием базы данных PDF-2.
Значения ионообменной емкости (ИОЕ) мембран были определены методом прямого кислотно-основного титрования. Для этого предварительно взвешенные навески мембран в H+ форме (~0.25 г) помещали в 30 мл 2М раствора NaCl на сутки. Затем аликвоты раствора над мембраной (5 мл) титровали 0.0089М раствором NaOH. Точка эквивалентности определялась с использованием универсального индикатора. Значение ИОЕ (ммоль/г) было рассчитывалось по формуле (1):
, (1)
где CNaOh – концентрация гидроксида натрия (моль/л), VNaOh – объем гидроксида натрия (л), ушедший на титрование, mс – масса сухой мембраны (г), Vр-ра – объем аликвоты (л).
Часть мембран переводили из протонной в литиевую форму. Для этого в течение суток мембраны промывались в растворе LiCl с концентрацией 2М. После чего их промывали деионизованной водой до отсутствия реакция на хлорид ионы. Наличие хлорид-ионов контролировалось при помощи AgNO3. Для удаления воды мембраны выдерживали при 70°С под вакуумом в течение 12 ч.
Для получения гель-полимерных электролитов на основе полученных мембран, они выдерживались в смеси этиленкарбонат-пропиленкарбонат (ЭК-ПК) в объемном отношении 1:1 в течении 48 ч перед последующими экспериментами.
Степень набухания мембран m, % рассчитывалась по формуле (2):
, (2)
где m – масса мембраны после выдерживания в растворителе, m0 – масса исходной мембраны. Степень сольватации n (число молекул растворителя, приходящихся на одну сульфогруппу мембраны) определяли исходя из значений ионообменной емкости и массового содержания растворителей по формуле (3):
, (3)
где Δm – набухание мембраны (%), ИОЕ – ионообменная емкость мембраны (ммоль/г), Mp–ля– молярная масса растворителя (г/моль).
Ионную проводимость измеряли в интервале температур –20°–60°C с шагом в 5°С в атмосфере аргона методом импедансной спектроскопии. Симметричные ячейки для измерения проводимости состава углерод/мембрана/углерод были собраны в сухом аргоновом боксе с содержанием кислорода и влаги <5 м.д. Спектры импеданса записывали с помощью моста переменного тока Elins Z-1500J в диапазоне частот 10 кГц – 2.5 МГц. Величину сопротивления находили экстраполяцией годографа импеданса по отсечке на оси активных сопротивлений. Ионную проводимость рассчитывали по формуле (4). Для задания необходимой температуры использовали климатическую камеру постоянных условий Binder MKF115.
, (4)
где l – толщина мембраны (см), R – реальное сопротивление (Ом), S – площадь соприкосновения мембраны с электродами (см2).
Объемную стабильность определяли по разнице объемов сухой и сольватированной мембраны по формуле (5):
, (5)
где V – объем мембраны после сольватации (см3), V0 – объем сухой мембраны (см3).
Механические свойства сольватированных мембран были исследованы с использованием разрывной машины Tinius Olsen H5KT. Прямоугольные образцы длиной 45 мм и шириной 6–8 мм предварительно сольватировали смесью растворителей ЭК-ПК в соотношении 1:1. Эксперимент проводили по четыре раза для каждой мембраны для получения среднего значения. Толщина и ширина каждого образца рассчитывались как средние значения по 3 точкам, измеренные перед экспериментом микрометром Mitutoyo. Калибровочная длина образцов была доведена до 25 мм. Скорость деформации составляла 2 мм/мин. Модуль Юнга рассчитывали по наклону кривой напряжения-деформации в области обратимых деформаций.
ОБСУЖДЕНИЕ РЕЗУЛЬТАТОВ
Из приведенных в таблице 1 данных видно, что при повышении концентрации ZrCl4 происходит увеличение содержания ZrO2 в мембране. Ионообменная емкость понижается с увеличением содержания допанта. Как показано в [34] это происходит за счет за счет формирования солевых мостиков между ZrO2 и поверхностью пор (табл. 1). Далее мембраны, полученные из 0.2М ZrCl4 обозначены Nafion-3.8, из 1.0М ZrCl4 – Nafion-6.7 (по массовому содержанию допанта), не содержащие допанта – Nafion-0.
Таблица 1. Содержание допанта по данным ТГА и значения ИОЕ мембран в зависимости от концентрации исходного раствора ZrCl4
Мембрана | С (ZrCl4), моль/л | ω (ZrO2), % | ИОЕ, ммоль/г |
Nafion-0 | 0 | 0 | 0.84 |
Nafion-3.8 | 0.2 | 3.8 | 0.54 |
Nafion-6.7 | 1.0 | 6.7 | 0.52 |
Рентгенограммы порошка, полученного после отжига композиционных мембран, представлены на рис. 1. Соотнесение полученных рентгенограмм со штрих-диаграммой оксида циркония (IV) показывает, что в результате синтеза композиционных мембран внутри пор формировался оксид циркония (IV).
Рис. 1. Рентгенограммы порошков, полученных после отжига гибридных мембран Nafion-3.8 (1), Nafion-6.7 (2), штрих-диаграмма, соответствующая ZrO2 (Сard No.: 44-1472)
ИК спектры полученных мембран представлены на рис. 2. Все спектры идентичны и содержат колебания сульфогрупп мембраны Nafion при 1068 см–1, в области 1198–1139 см–1 видны пики колебаний связи С-F [13]. Присутствие допанта не приводит к смещению пиков основных колебаний мембран.
Рис. 2. ИК спектры Nafion-0 (1), Nafion-3.8 (2), Nafion-6.7 (3)
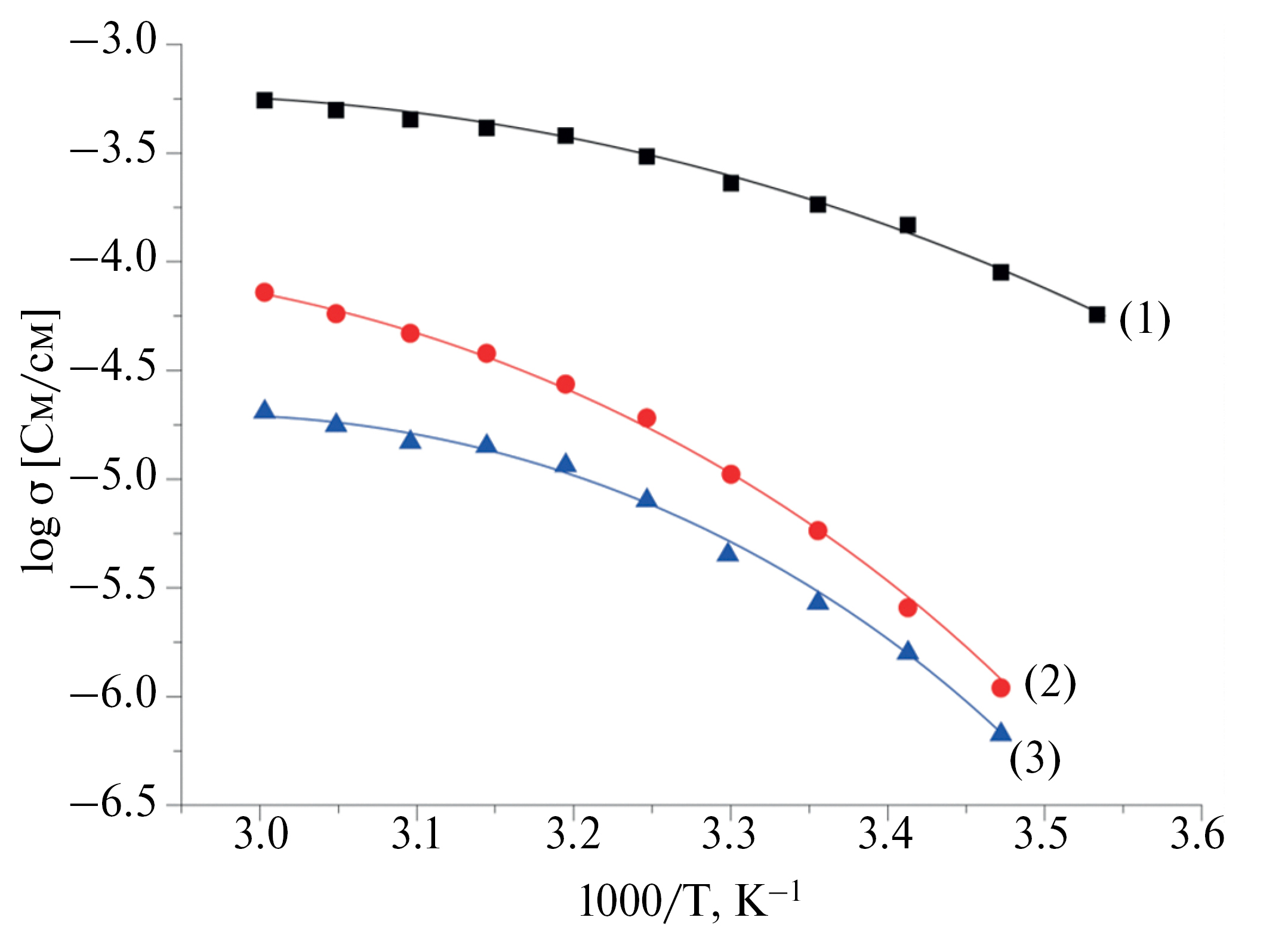
Рис. 3. Температурные зависимости ионной проводимости мембран Nafion-0 (1), Nafion-3.8 (2), Nafion-6.7 (3)
Ионная проводимость мембран в значительной степени определяется содержанием растворителя в ее порах [35]. Обычно увеличение степени сольватации мембран приводит к увеличению ионной проводимости [36]. Из данных, представленных в табл. 2 видно, что внедрение оксида циркония приводит к существенному понижению степени сольватации мембран. ZrO2 вытесняет растворитель из пор мембраны за счет формирования солевых мостиков между ZrO2 и их поверхностью, играющих роль сшивки [34]. Следует заметить, что внедрение оксида циркония при сольватации апротонными растворителями приводит к существенно более значимому понижению ионообменной емкости и степени сольватации, по сравнению с мембранами, гидратированными водой. Причиной этого, видимо является то, что молекулы растворителя в этом случае не могут конкурировать с поверхностью ZrO2 за взаимодействие с поверхностью функциональных групп. В то же время при повышении содержания допанта от 3.8 до 6.7% степень сольватации, напротив, несколько возрастает. Авторами [37] показано, что оксид циркония (IV) способен координировать органические карбонаты.
Таблица 2. Степень сольватации мембраны, ионная проводимость
Мембрана | Степень сольватации мембраны | Значение ионной проводимости при 25°С, мСм/см |
Nafion-0 | 6.3 | 0.3 |
Nafion-3.8 | 1.4 | 5.0ꞏ10–3 |
Nafion-6.7 | 1.6 | 2.7ꞏ10–3 |
В соответствии с меньшей концентрацией носителей электричества и существенно меньшей степенью сольватации допированные образцы имеют более низкую проводимость по сравнению с исходной недопированной мембраной Nafion. В то же время, несмотря на большую степень сольватации мембраны Nafion-6.7 по сравнению с Nafion-3.8, она характеризуется более низкой ионной проводимостью. Это может быть связано с координацией избытка растворителя оксидом циркония, что исключает его из участия в ионном транспорте. Кроме того, согласно модели ограниченной эластичности стенок пор мембран, при повышении содержания допанта сверх оптимального (порядка 2–4 весовых процентов в зависимости от плотности), частицы допанта начинают создавать дополнительные стерические препятствия для ионного переноса из-за крупного размера [38].
Температурные зависимости ионной проводимости мембраны отличны от линейных и характеризуются плавным перегибом при температуре ~30°C. Это может быть связано с тем, что в области этих температур часть электронейтрального раствора, не участвующего в транспорте ионов [39], начинает затвердевать, что приводит к постепенному нелинейному снижению значения ионной проводимости.
Одной из важных характеристик гель-полимерного электролита является механическая прочность. На рис. 4 приведены типичные кривые напряжения-деформации для исследуемых сольватированных мембран.
Рис. 4. Кривые напряжения-деформации. Nafion-0 (1), Nafion-3.8 (2), Nafion-6.7 (3)
Объемная стабильность и модуль Юнга коррелируют со степенью сольватации мембраны. При повышении степени сольватации происходит ослаблении внутри- и межмолекулярных взаимодействий в мембране, что приводит к потере ее механической прочности (табл. 3).
Таблица 3. Значение модуля Юнга и объемной стабильности полученных гель-полимерных электролитов
Мембрана | Модуль Юнга, МПа | Объемная стабильность, % |
Nafion-0 | 0.23 ± 0.03 | 80 |
Nafion-3.8 | 6.5 ± 0.7 | 33 |
Nafion-6.7 | 3.7 ± 0.6 | 50 |
Чем выше содержание допанта в мембране, тем больше модуль Юнга, т.е. тем лучше механические свойства мембраны. Модуль Юнга соотносится с объемной стабильностью мембраны. Мембрана упрочняется при введении допанта, что объясняется снижением степени сольватации. Это позволяет получить композиционные мембраны с лучшими механическими характеристиками.
Таким образом, можно заключить, что создание композиционных электролитов на основе оксида циркония (IV) позволяет добиться улучшения объемной стабильности и механической прочности мембран, при некотором понижении ионной проводимости.
ЗАКЛЮЧЕНИЕ
Методом in situ получены композиционные мембраны Nafion®-117, содержащие 3.8% и 6.7% диоксида циркония. Показано, что введение допанта приводит к ограничению подвижности лития, причиной чего является понижение концентрации носителей электричества, определяющееся ионообменной емкостью и степени сольватации мембран смесью этиленкарбоната и пропиленкарбоната. Вместе с тем введение 6.7% ZrO2 приводит к увеличению модуля Юнга в ~16 раз по сравнению с немодифицированной мембраной. Вместе с этим объемная стабильность мембран в процессе сольватации увеличивается в ~1.5 раза.
БЛАГОДАРНОСТЬ
Работа выполнена при финансовой поддержке Российского научного фонда, проект 23-19-00642, https://rscf.ru/project/23-19-00642/.
About the authors
D. Yu. Voropaeva
Kurnakov Institute of General and Inorganic Chemistry of the Russian Academy of Sciences
Author for correspondence.
Email: voroparva@igic.ras.ru
Russian Federation, Moscow
Ya. A. Pyataeva
Higher School of Economics
Email: voroparva@igic.ras.ru
Russian Federation, Moscow
A. B. Yaroslavtsev
Kurnakov Institute of General and Inorganic Chemistry of the Russian Academy of Sciences
Email: voroparva@igic.ras.ru
Russian Federation, Moscow
References
- Fan L., Wei S., Li S., Li Q., Lu Y. // Adv. Energy Mater. 2018. V. 8. Art. No 1702657.
- Li H., Xu Z., Yang J., Wang J., Hirano S. // Energy Fuels. 2020. V. 4. P. 5469–5487.
- Rao X., Lou Y., Zhong S., Wang L., Li B., Xiao Y., Peng W., Zhong X., Huang J. // J. Electroanal. Chem. 2021. V. 897. Art. No 115499.
- Ding P., Lin Z., Guo X., Wu L., Wang Y., Guo H., Li L., Yu H. // Mater. Today. 2021. V. 51. P. 449–474.
- Chazalviel J.-N. // Phys. Rev. A. 1990. V. 42. P. 7355–7367.
- Tu Z., Choudhury S., Zachman M.J., Wei S., Zhang K., Kourkoutis L.F., Archer L.A. // Joule. 2017. V. 1. P. 394–406.
- Xu R., Xiao Y., Zhang R., Cheng X., Zhao C., Zhang X., Yan C., Zhang Q., Huang J. // Adv. Mater. 2019. V. 31. Art. No 1808392.
- Chen Y., Li C., Ye D., Zhang Y., Bao H., Cheng H. // J. Memb. Sci. 2021. V. 620. Art. No 118926.
- Istomina A.S., Yaroslavtseva T.V., Reznitskikh O.G., Kayumov R.R., Shmygleva L.V., Sanginov E.A., Dobrovolsky Y.A., Bushkova O.V. // Polymers (Basel). 2021. V.13 Art. No 1150.
- Evshchik E.Y., Sanginov E.A., Kayumov R.R., Zhuravlev V.D., Bushkova O.V., Dobrovolsky Y.A. // Int. J. Electrochem. Sci. 2020. V. 15. P. 2216–2225.
- Nicotera I., Simari C., Agostini M., Enotiadis A., Brutti S. // J. Phys. Chem. C. 2019. V. 123. P. 27406–27416.
- Voropaeva D.Y., Novikova S.A., Kulova T.L., Yaroslavtsev A.B. // Solid State Ionics. 2018. V. 324. P. 28–32.
- Voropaeva D., Novikova S., Xu T., Yaroslavtsev A. // J. Phys. Chem. B. 2019. V. 123. P. 10217–10223.
- Xiao W., Wang Z., Zhang Y., Fang R., Yuan Z., Miao C., Yan X., Jiang Y. // J. Power Sources. 2018. V. 382. P. 128–134.
- Li X., Zhang H., Mai Z., Zhang H., Vankelecom I. // Energy Environ. Sci. 2011. V. 4. Art. No 1147.
- Pan X., Yang P., Guo Y., Zhao K., Xi B., Lin F., Xiong S. // Adv. Mater. Interfaces. 2021. V. 8. Art. No 2100669.
- Han B., Jiang P., Li S., Lu X. // Solid State Ionics. 2021. V. 361. Art. No 115572.
- Zhang P., Yang L.C., Li L.L., Ding M.L., Wu Y.P., Holze R. // J. Memb. Sci. 2011. V. 379. P. 80–85.
- Jamalpour S., Ghahramani M., Ghaffarian S.R., Javanbakht M. // Polymer. 2021. V. 228. Art. No 123924.
- Lee Y.-S., Jeong Y.B., Kim D.-W. // J. Power Sources. 2010. V. 195. P. 6197–6201.
- Jagadeesan A., Sasikumar M., Hari Krishna R., Raja N., Gopalakrishna D.,. Vijayashree S, Sivakumar P. // Mater. Res. Express. 2019. V. 6. Art. No 105524.
- Pan X., Hou Q., Liu L., Zhang J., An M., Yang P. // Ionics. 2021. V. 27. P. 2045–2051.
- Subramania A., Kalyana Sundaram N.T., Sathiya Priya A.R., Vijaya Kumar G. // J. Memb. Sci. 2007. V. 294. P. 8–15.
- Croce F., Settimi L., Scrosati B. // Electrochem. Commun. 2006. V. 8. P. 364–368.
- Xu J., Ma C., Chang C., Lei X., Fu Y., Wang J., Liu X., Ding Y. // ACS Appl. Mater. Interfaces. 2021. V. 13. P. 38179–38187.
- Guo Q., Han Y., Wang H., Xiong S., Sun W., Zheng C., Xie K. // Novel synergistic coupling composite chelating copolymer/LAGP solid electrolyte with Electrochim. Acta. 2019. V. 296. P. 693–700.
- Rangasamy E., Wolfenstine J., Sakamoto J. // Solid State Ionics. 2012. V. 206. P. 28–32.
- Han F., Westover A.S., Yue J., Fan X., Wang F., Chi M., Leonard D.N., Dudney N.J., Wang H., Wang C. // Nat. Energy. 2019. V. 4. P. 187–196.
- Shin B.R., Nam Y.J., Oh D.Y., Kim D.H., Kim J.W. // Electrochim. Acta. 2014. V. 146. P. 395–402.
- Yi L., Zou C., Chen X., Liu J., Cao S., Tao X., Zang Z., Liu L., Chang B., Shen Y., Wang X. // ACS Appl. Energy Mater. 2022. V. 5. P. 7317–7327.
- Safronova E.Y., Lysova A.A., Voropaeva D.Y., Yaroslavtsev A.B. // Membranes. 2023. V. 13. Art. No 721.
- Gao J., Shao Q., Chen J. // J. Energy Chem. 2020. V. 46. P. 237–247.
- Voropaeva D., Merkel A., Yaroslavtsev A. // Solid State Ionics. 2022. V. 386. Art. No 116055.
- Golubenko D.V, Shaydullin R.R., Yaroslavtsev A.B. // Colloid Polym. Sci. 2019. V. 297. P. 741–748.
- Doyle M., Lewittes M.E., Roelofs M.G., Perusich S.A., Lowrey R.E. // J. Memb. Sci. 2001. V. 184. P. 257–273.
- Yaroslavtsev A.B., Stenina I.A., Golubenko D.V. // Pure Appl. Chem. 2020. V. 92. P. 1147–1157.
- Chen H.-Y.T., Tosoni S., Pacchioni G. // Surf. Sci. 2016. V. 652. P. 163–171.
- Ярославцев А.Б., Караванова Ю.А., Сафронова Е.Ю. // Мембраны и Мембранные Технологии. 2011. Т. 1. С. 3–10 (англоязычная версия: Yaroslavtsev A.B., Karavanova Y.A., Safronova E.Y. // Petroleum Chem. 2011. V. 51, P. 473–479).
- Porozhnyy M., Huguet P., Cretin M., Safronova E., Nikonenko V. // Int. J. Hydrogen Energy. 2016. V. 41. P. 15605–15614.
Supplementary files






