Li3-2xNbxCr2-x(PO4)3 Complex Phosphates with the Nasicon Structure: Synthesis and lon Conductivity
- Authors: Novikova S.A.1, Yaroslavtsev A.B.1
-
Affiliations:
- Kurnakov Institute of General and Inorganic Chemistry of the Russian Academy of Sciences
- Issue: Vol 14, No 4 (2024)
- Pages: 288-294
- Section: Articles
- URL: https://bakhtiniada.ru/2218-1172/article/view/271552
- DOI: https://doi.org/10.31857/S2218117224040047
- EDN: https://elibrary.ru/MPZBXT
- ID: 271552
Cite item
Full Text
Abstract
One of the main trends in the development of metal-ion batteries is the transition to lithium anodes, the safe use of which is impossible without replacing liquid membranes with solid membranes, primarily inorganic ones. Lithium-niobium-chromium phosphates with calculated compositions Li3–2xNbxCr2–x(PO4)3 (x = 0.95, 1.00, 1.05) were obtained by solid-state synthesis and characterized by XRD analysis and impedance spectroscopy. The obtained complex lithium-niobium-chromium phosphates with the NASICON structure crystallize in hexagonal modification. The lattice parameters of the synthesized materials decrease with increasing chromium content. The material of composition Li1.1Nb0.95Cr1.05(PO4)3 (3.10–5 S/cm at 25 °C) possesses the highest ionic conductivity and the lowest activation energy, which indicates a greater mobility of lithium ions by the interstitial mechanism even in the region of its own disorderliness.
Full Text
ВВЕДЕНИЕ
Одним из приоритетных направлений современной химии твердого тела является изучение ионной проводимости неорганических материалов, поскольку ключевым фактором перехода к твердотельным литиевым аккумуляторам является поиск и разработка эффективных твердых электролитов, выполняющих функцию ионпроводящих мембран [1–3]. Электролит обеспечивает ионный транспорт и является одним из основных компонентов электрохимического устройства. Основными требованиями к твердым электролитам для аккумуляторов являются широкое окно электрохимической стабильности, высокие ионная проводимость и числа переноса лития, совместимость с электродами и длительная циклируемость. Основные исследования в области твердых электролитов сконцентрированы на следующих группах материалов: фосфаты со структурой NASICON (NASICON – аббревиатура от Na Super Ionic CONductor) [4–6], гранаты [7], фосфонсульфиды лития [8], твердополимерные электролиты [4, 9]. Среди известных материалов с высокой проводимостью по ионам лития особое место занимают соединения со структурой NASICON [4–6]. Фосфаты поливалентных элементов с такой структурой обладают не только высокой ионной проводимостью, но и целым комплексом уникальных свойств, таких как: высокая прочность, химическая, радиационная и термическая устойчивость, низкий коэффициент термического расширения, низкая теплопроводность. Структура NASICON для большинства составов [Li/Na]1+xAxB2−х(XO4)3 характеризуется ромбоэдрической сингонией (пространственная группа R-3c), однако возможно ее искажение до моноклинной и даже триклинной сингонии. Структура [Li/Na]1+xAxB2−х(XO4)3 образуется тетраэдрами XO4 (SiO4 и PO4) и октаэдрами BO6 (AO6), которые соединены друг с другом общими вершинами в трехмерный каркас. В последнем формируются полости, доступные для размещения ионов лития или натрия. В ромбоэдрической модификации, которая является более проводящей, однозарядные катионы М+ (М = Li, Na) могут занимать позиции 6b и 18e, обозначаемые соответственно, как М1 и М2, формируя трехмерный путь проводимости М1–М2–М1 [4, 6, 10–13].
При гетеровалентом допировании, например, замещении части катионов B4+ на трехвалентные катионы для компенсации локального нарушения электронейтральности кристаллической решетки в структуру необходимо ввести дополнительные однозарядные катионы. Эти ионы частично занимают позиции М2 или M3 как в Li1+xAlxTi2−x(PO4)3 [14], в результате чего происходит увеличение концентрации носителей заряда. Увеличить катионную подвижность в таких системах можно также, заместив часть катионов в позициях В на пятивалентные элементы за счет создания дополнительных вакансий в позициях лития [15–17]. Кроме этого, диффузия ионов в структуре NASICON ограничена размером туннелей (позиций, лимитирующих процесс переноса иона, которые часто называют “бутылочными горлышками”), который при прочих равных условиях определяется ионами B, составляющими трехмерный каркас. Таким образом, подбирая подходящие каркасообразующие ионы, в т.ч. изменяя их содержание при допировании, можно существенно увеличить ионную проводимость твердого электролита [4, 18–21]. Среди литий-проводящих соединений со структурой NASICON наиболее широко изучены фосфаты на основе четырехвалентных катионов LiB2(PO4)3 (B=Ge, Ti, Zr), допированные катионами M3+, M4+ или М5+ [5, 11, 21–33]. Сведений о фосфатах со структурой NASICON, содержащих в позициях B различные соотношения катионов М3+/M5+ существенно меньше.
Однако выбор таких систем также представляет интерес, поскольку в них можно добиться увеличения концентрации катионных вакансий и занятия междоузельных позиций, не вводя в состав материала других посторонних катионов, а варьируя соотношения M5+/M3+.
Авторами [34] были синтезированы и охарактеризовали методами РФА и ЯМР фосфаты составов LiNbV(PO4)3, LiNbFe(PO4)3, LiTaV(PO4)3, LiTaCr(PO4)3, LiTaFe(PO4)3 методом твердофазного синтеза. Авторами [35] получен однофазный продукт состава LiTaCr(PO4)3, характеризущийся значениями проводимости 5.2∙10–6 Ом–1∙см–1 при 25°С с энергией активации проводимости 34 кДж/моль, а также твердые растворы на основе Li3-2xTaxCr2-x(PO4)3 (x = 0, 0.2, 0.4, 0.6, 0.8, 1, 1.2). При этом авторам не удалось получить однофазными ромбоэдрические фосфаты со структурой Nasicon составов LiCrNb(PO4)3, LiAlNb(PO4)3, LiGaNb(PO4)3 [35]. По данным калориметрии в материалах Li3+2x(Sc1–xMgx)2(PO4)3, Li3–2x(Sc1–xBx)2(PO4)3 (B=Ti, Zr, Sn, Hf) и Li3–4x(Sc1–xMx)2(PO4)3 (B=Nb, Ta) удается стабилизировать более проводящую орторомбическую фазу [36]. В работах [37–40] описаны фосфаты со структурой NASICON составов Li3–2xNbxMIII2–x(PO4)3 (MIII=Al, Fe, In). Например, для сложных фосфатов Li3–2xNbxM2–x(PO4)3 (M = In3+, Fe3+) получены однофазные составы с ромбоэдрической структурой в области 0.95 ≥ x ≥ 1.2. Фосфаты с x < 0.5 кристаллизуются в моноклинной модификации. Соединения с 0.5 ≥ x ≥ 0.9 представляют собой смесь ромбоэдрической и моноклинной модификаций. Показано, что проводимость литиевых фосфатов индия-ниобия выше проводимости фосфатов железа-ниобия или алюминия-ниобия и составляет величину 1.6.10−5 См/см при 25°С для LiNbIn(PO4)3 [37–40].
Стоит заметить, что при допировании фосфатов четырехвалентных катионов трех- и пятивалентными, мы по сути вносим в структуру новый тип ионов с отличным радиусом и зарядом, что сказывается не только на концентрации катионов, но и на их подвижности за счет изменения размера каналов проводимости. Однако в области собственной разупорядоченности не ясно какой из этих вкладов вносит определяющее значение. В материалах типа Li3−2xM5+xM3–2−x(PO4)3, исследуя проводимость в области собственной разупорядоченности, можно более обоснованно судить о соотношении этих факторов. Поэтому целью работы являлись синтез и изучение ионной проводимости сложных фосфатов состава Li3−2xNbxCr2−x (PO4)3.
ЭКСПЕРИМЕНТАЛЬНАЯ ЧАСТЬ
В качестве исходных реагентов были использованы: Li2CO3 (Fluka, 99+%), (NH4)2HPO4 (Fluka, 99.0+%), Cr(NO3)3*9H2O (Sigma Aldrich, 99%), Nb2O5 (Chempur, 99.9%). Фосфаты лития-хрома-ниобия состава Li3−2xNbxCr2−x (PO4)3 получали твердофазным методом по схеме:
.
Стехиометрические количества реагентов смешивали, перетирали в агатовой ступке и отжигали при 650°С в течение 3-х часов, затем еще раз перетирали прессовали в таблетки для улучшения взаимодействия частиц и выдерживали при T = 850°−1150°С в течение 24 ч. под “шубой” из того же вещества с 20% избытком карбоната лития. “Шуба” необходима для предотвращения перехода лития из получаемого вещества в газовую фазу.
Рентгенофазовый анализ образцов осуществляли с использованием дифрактометра Rigaku D/MAX 2200, излучение СиКа. Для обработки спектров и качественного анализа использовали пакет программ Rigaku Application Data Processing. Параметры элементарной ячейки рассчитывали с помощью дистрибутива Chekcell.
Измерение ионной проводимости проводили на мосте переменного тока ИПУ-62 в диапазоне частот 10Гц-2МГц и на постоянном токе на цилиндрических прессованных таблетках (d = 5 мм, h = ~2 мм). Измерения выполняли двухконтактным методом в интервале температур 25-600°С с шагом ~30°С с платиновыми электродами.
РЕЗУЛЬТАТЫ И ОБСУЖДЕНИЕ
На примере состава LiNbCr(PO4)3 исследовано влияние температуры конечного отжига на фазовый состав продукта. Уже для образца, отожженного при температуре 950°С, основные линии рентгенограммы принадлежат фосфату со структурой Nasicon, гексагональной модификации (рис. 1а). Рентгенограмма имеет набор линий, схожий с гексагональным LiZr2(PO4)3 (Card №: 84-0998 PDF-2) или с рентгенограммой LiNbFe(PO4)3 [37]. При этом рефлексы полученного LiNbCr(PO4)3 смещены в область больших углов и, соответственно, меньших межплоскостных расстояний, по сравнению с LiZr2(PO4)3 из-за меньших ионных радиусов Cr3+, Nb5+ по сравнению с Zr4+ (0.615, 0.64 и 0.72 Å, соответственно [41]). Также на рентгенограмме присутствуют линии примесных фаз, основными из которых являются пирофосфат лития-хрома (Card №: 24-0606) и оксифосфаты ниобия (Card №: 19-0866, 27-1316). При повышении температуры до 1100°С интенсивность линий, принадлежащих LiCrP2O7, существенно снижается. При 1150°С линии LiCrP2O7 исчезают, однако несколько увеличивается интенсивность рефлексов, относящиеся к NbOPO4. Для составов Li3−2xNbxCr2−x (PO4)3 с х = 0.95 и 1.05, материалы, синтезированные при 1100°С (рис. 1б), наряду с рефлексами фосфата со структурой Nasicon содержат примесные фазы LiCrP2O7 и NbOPO4, причем содержание пирофосфата лития хрома для них выше, по сравнению с образцом с х = 1. Меньшее содержание примесей было получено в результате синтеза при 1150°С (рис. 1в). В итоге температура 1150°С была выбрана в качестве оптимальной для всех исследуемых составов. Однако, следует отметить, что получить однофазные материалы не удалось и все материалы, отожженные при 1150 °С содержат небольшие количества примесей NbOPO4. Дальнейшее повышение температуры синтеза было сочтено нецелесообразным из-за возможного плавления соединений и небольшого роста содержания примесей NbOPO4, которое было зафиксировано для LiNbCr(PO4)3 при повышении температуры с 1100° до 1150°С.
Рис. 1. Фрагменты рентгенограмм LiNbCr(PO4)3, полученного при температурах 850–1150°С (а), Li3−2xNbxCr2−x(PO4)3 (х = 0.95, 1.00, 1.05), синтезированных при 1100°С (б) и 1150°С (в). В области 2Ɵ~27° вырезаны фрагменты, содержащие рефлексы германия, который использовался в качестве стандарта. Символами +, # и * обозначены примесные фазы моноклинной и тетрагональной модификаций NbOPO4 и LiCrP2O7
Рентгенограммы полученных образцов индицируются в гексагональной сингонии (простр. гр. R 3c, Z = 6). Значения параметров элементарной ячейки увеличиваются при увеличении содержания ниобия и уменьшении содержания хрома (табл. 1), что связано с несколько большим ионным радиусом ниобия по сравнению с хромом. Это подтверждает закономерное изменение соотношение ниобия и хрома в приведенном ряду материалов.
Таблица 1. Параметры элементарной ячейки Li3−2xNbxCr2−x(PO4)3
Li3−2xNbxCr2−x(PO4)3 | a, Å | c, Å |
х = 0.95 | 8.537(3) | 21.351(1) |
х = 1.00 | 8.569(5) | 21.364(2) |
х = 1.05 | 8.601(3) | 21.407(3) |
Ионная проводимость
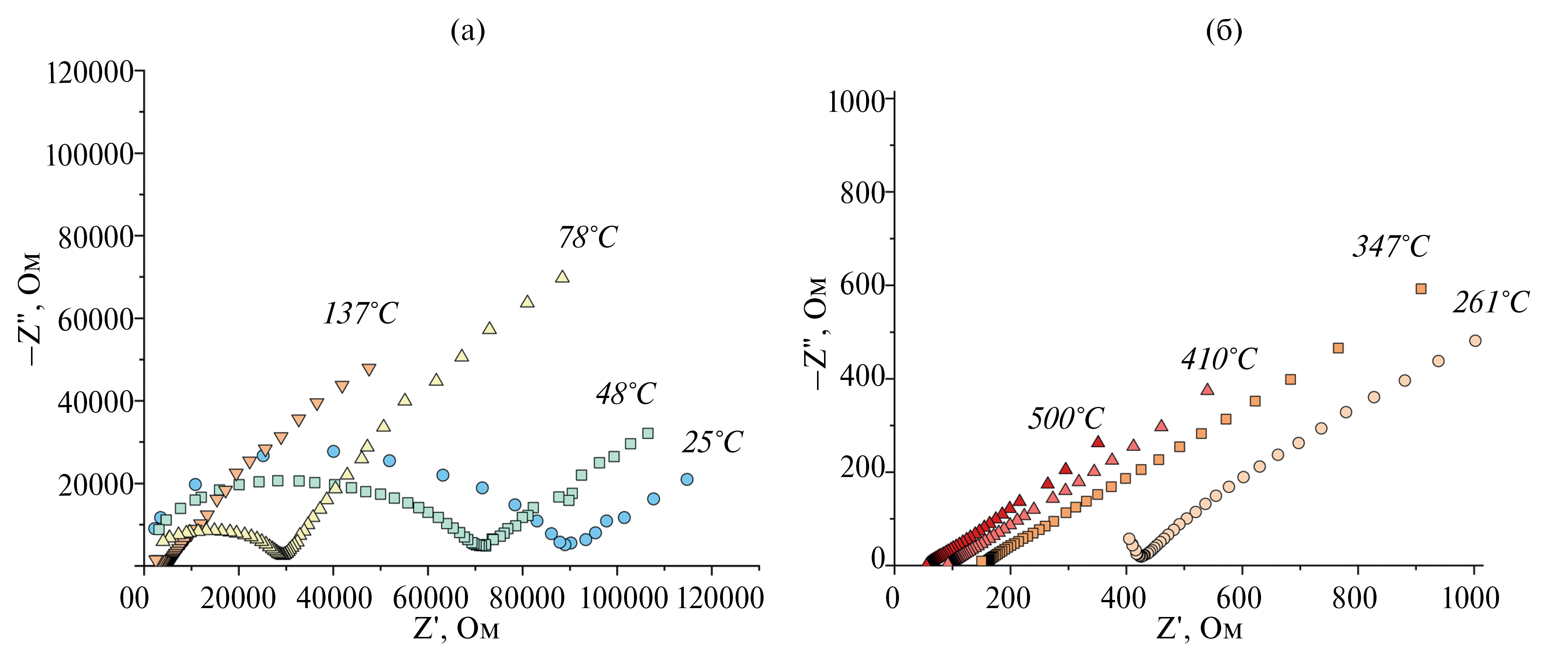
Годографы импеданса при комнатной температуре представляет собой комбинацию полуокружности, выходящей из начала координат и прямой линии (рис. 2а). При нагревании полуокружность постепенно исчезает и годографы принимают форму “галочки”, а затем представляет собой прямые линии (рис. 2б). При более низких температурах величину проводимости рассчитывали экстраполяцией полуокружности объемной составляющей проводимости, а при более высоких температурах- по отсечке прямой на оси активных сопротивлений.
Рис. 2. Типичные годографы импеданса на примере Li0.9Nb1.05Cr0.95(PO4)3 при различных температурах (а, б). Температуры приведены на рисунке
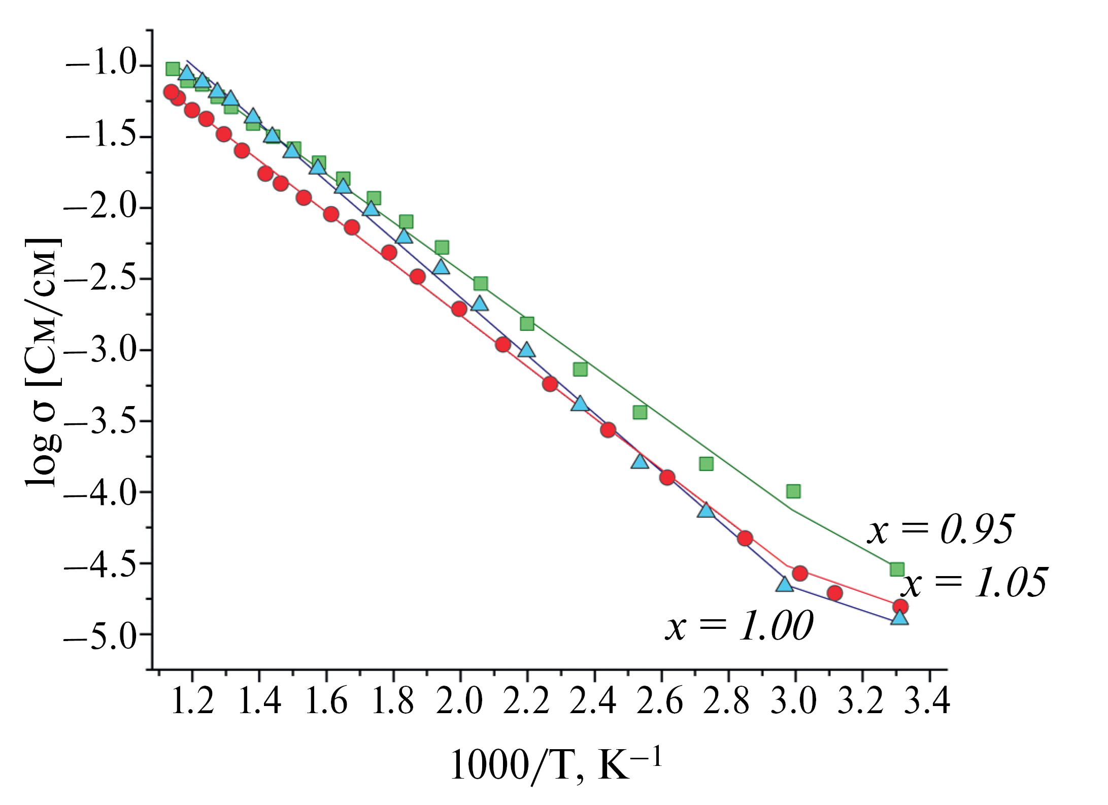
На зависимостях проводимости Li3−2xNbxCr2−x(PO4)3 от температуры, можно отметить два участка: до ~90°С и ~90°–600°С. На первом участке энергия активации проводимости имеет относительно низкие значения. Оценить ее корректно из полученных данных (рис. 3) не представляется возможным из-за того, что этот участок является небольшим по диапазону температур. В этой области проводимость определяется миграцией примесных дефектов. На последующем участке температурные зависимости проводимости Li3−2xNbxCr2−x(PO4)3 спрямляются в координатах уравнения Аррениуса с энергией активации проводимости 33–39 кДж/моль (рис. 3). В этом интервале температур энергия активации проводимости определяется собственной разупорядоченностью LiNbCr(PO4)3 и содержит вклад, определяемой энтальпией процессов дефектообразования.
Рис. 3. Зависимость проводимости от температуры для Li3−2xNbxCr2−x(PO4)3
Энергия активации проводимости несколько уменьшается в ряду LiNbCr(PO4)3 > Li0.9Nb1.05Cr0.95 (PO4)3 > Li1.1Nb0.95Cr1.05(PO4)3, что объясняется изменением вклада проводимости по различным типам носителей в этом ряду материалов. Поскольку при соотношении Cr3+/Nb5+ > 1 происходит внедрение дополнительных катионов лития в междоузлия, а при соотношении Cr3+/Nb5+ < 1 – формирование вакансий в позиции лития, можно сделать вывод о том, что энергия активации миграции лития по междоузлиям несколько уступает таковой по вакансионному механизму, что характерно для многих материалов с литиевой проводимостью. Ионная проводимость Li3−2xNbxCr2−x(PO4)3 составляет ~10–5 См/см при комнатной температуре, что сопоставимо или превосходит проводимости, полученные для фосфатов лития-индия-хрома со структурой Nasicon [40]. В низкотемпературной области среди исследуемых материалов наибольшей проводимостью характеризуется Li3−2xNbxCr2−x(PO4)3 с x = 0.95 (3.10–5 См/см при 25°С). Полученные данные свидетельствуют о том, что подвижность междоузлий в данной системе превышает подвижность вакансий.
ЗАКЛЮЧЕНИЕ
Получены сложные фосфаты лития-ниобия-хрома со структурой NASICON составов Li3−2xNbxCr2−x(PO4)3 (х = 0.95, 1.00, 1.05), кристаллизующиеся в гексагональной модификации. Параметры кристаллической решетки синтезированных материалов уменьшаются с увеличением содержания хрома. Ионная проводимость Li3−2xNbxCr2−x(PO4)3 составляет ~10–5 См/см с энергией активации проводимости 33–39 кДж/моль. Наибольшей ионной проводимостью и наименьшей энергией ее активации обладает материал состава Li1.1Nb0.95Cr1.05(PO4)3 (3.10–5 См/см при 25°С), что свидетельствует о большей подвижности ионов лития по междоузельному механизму даже в области собственной разупорядоченности.
ФИНАНСИРОВАНИЕ
Исследование выполнено при финансовой поддержке Российского научного фонда грант № 23-19-00642, https://rscf.ru/project/23-19-00642/.
About the authors
S. A. Novikova
Kurnakov Institute of General and Inorganic Chemistry of the Russian Academy of Sciences
Author for correspondence.
Email: yaroslav@igic.ras.ru
Russian Federation, Moscow
A. B. Yaroslavtsev
Kurnakov Institute of General and Inorganic Chemistry of the Russian Academy of Sciences
Email: yaroslav@igic.ras.ru
Russian Federation, Moscow
References
- Sharma S.K., Sharma G., Gaur A., Arya A., Mirsafi F.S., Abolhassani R., Rubahn H.G., Yu J.S., Mishra Y.K. // Energy Advances. 2022. V.: P. 457–510. 10.1039/d2ya00043a.
- Zhang S., Ma J., Dong S., Cui G. // Electrochemical Energy Reviews. 2023. V. 6. P. 4. 10.1007/s41918-022-00143-9.
- Xu H., Su Y., Zheng C., Wang Y., Tong Y., Yang Z., Hu J. // Chin. Chem. Lett. 2024. V. 35. P. 10.1016/j.cclet.2023.109173.
- Stenina I., Novikova S., Voropaeva D., Yaroslavtsev A. // Batteries. 2023. V. 9. P. 407. 10.3390/batteries9080407.
- Anantharamulu N., Koteswara Rao K., Rambabu G., Vijaya Kumar B., Radha V., Vithal M. // Journal of Materials Science. 2011. V. 46. P. 2821–2837. 10.1007/s10853-011-5302-5.
- Luo C., Yi M., Cao Z., Hui W., Wang Y. // ACS Applied Electronic Materials. 2024. V. 6. P. 641–657. 10.1021/acsaelm.3c01747.
- Liu B., Gong Y., Fu K., Han X., Yao Y., Pastel G., Yang C., Xie H., Wachsman E.D., Hu L. // ACS Appl. Mater. Interfaces. 2017. V. 9. P. 18809–18815. 10.1021/acsami.7b03887.
- Lu X., Tsai C.-L., Yu S., He H., Camara O., Tempel H., Liu Z., Windmüuller A., Alekseev E.V., Basak S., Lu L., Eichel R.-A., Kungl H. // Functional Materials Letters. 2022. V. 15. P. 10.1142/s179360472240001x.
- Meng N., Ye Y., Yang Z., Li H., Lian F. // Adv. Funct. Mater. 2023. V. 33. P. 10.1002/adfm.202305072.
- Zhang Z., Shao Y., Lotsch B., Hu Y.S., Li H., Janek J., Nazar L.F., Nan C.W., Maier J., Armand M., Chen L. // Energy and Environmental Science. 2018. V. 11. P. 1945–1976. 10.1039/c8ee01053f.
- DeWees R., Wang H. // ChemSusChem. 2019. V. 12. P. 3713–3725. 10.1002/cssc.201900725.
- Ouyang B., Wang J., He T., Bartel C.J., Huo H., Wang Y., Lacivita V., Kim H., Ceder G. // Nat. Commun. 2021. V. 12. P. 5752. 10.1038/s41467-021-26006-3.
- Kuo P.H., Ley N.A., Young M.L., Du J. // Journal of Physical Chemistry C. 2023. V. 127. P. 17051–17062. 10.1021/acs.jpcc.3c02340.
- Arbi K., Hoelzel M., Kuhn A., García-Alvarado F., Sanz J. // Inorg. Chem. 2013. V. 52. P. 9290–9296. 10.1021/ic400577v.
- Пинус И.Ю., Стенина И.А., Ребров А.И., Журавлев Н.А., Ярославцев А.Б. // Журнал неорганической химии. 2009. Т. 54. № 8. С. 1240–1244. (англоязычная версия: Pinus I.Y., Stenina I.A., Rebrov A.I., Zhuravlev N.A., Yaroslavtsev A.B. // Russ. J. Inorg. Chem. 2009. V. 54. P. 1177–1180. 10.1134/S0036023609080026).
- Kim S.H., Shim G.I., Choi S.Y. // J. Alloys Compd. 2017. V. 699. P. 662-671. 10.1016/j.jallcom.2016.12.427.
- Rao M.K., Babu K.V., Veeraiah V., Samatha K. // Journal of Asian Ceramic Societies. 2018. V. 6. P. 109–120. 10.1080/21870764.2018.1439784.
- Петьков В.И., Шипилов А.С., Фукина Д.Г., Стенина И.А., Ярославцев А.Б. // Электрохимия. 2021. Т. 57. № 4. С. 249-255. 10.31857/S0424857021040071. (англоязычная версия: Pet’kov V.I., Shipilov A.S., Fukina D.G., Stenina I.A., Yaroslavtsev A.B. // Russ. J. Electrochem. 2021. V. 57. P. 388–394. 10.1134/S1023193521040078.
- Курзина Е.А., Стенина И.А., Dalvi A., Ярославцев А.Б. // Неорганические материалы. 2021. Т. 57. № 10. С. 1094–1101. 10.31857/S0002337X21100079. (англоязычная версия: Kurzina E.A., Stenina I.A., Dalvi A., Yaroslavtsev A.B. // Inorg. Mater. 2021. V. 57. P. 1035–1042. 10.1134/S0020168521100071).
- Xu A., Wang R., Yao M., Cao J., Li M., Yang C., Liu F., Ma J. // Nanomaterials. 2022. V. 12. P. 2082. 10.3390/nano12122082.
- Stenina I., Pyrkova A., Yaroslavtsev A. // Batteries. 2023. V. 9. P. 59 10.3390/batteries9010059.
- Свитанько А.И., Новикова С.А., Стенина И.А., Скопец В.А., Ярославцев А.Б. // Неорганические материалы. 2014. Т. 50. № 3. С. 295. 10.7868/S0002337X14030142 (англоязычная версия: Svitan’ko A.I., Novikova S.A., Stenina I.A., Skopets V.A., Yaroslavtsev A.B. // Inorg. Mater. 2014. V. 50. P. 273–279. 10.1134/S0020168514030145).
- Arbi K., Rojo J.M., Sanz J. // J. Eur. Ceram. Soc. 2007. V. 27. P. 4215–4218. 10.1016/j.jeurceramsoc.2007.02.118.
- Куншина Г.Б., Шичалин О.О., Белов А.А., Папынов Е.К., Бочарова И.В., Щербина О.Б. // Электрохимия, 2023, T. 59, № 3, стр. 124–133. 10.31857/S0424857023030064 (англоязычная версия: Kunshina G.B., Shichalin O.O., Belov A.A., Papynov E.K., Bocharova I.V., Shcherbina O.B. // Russ. J. Electrochem. 2023. V. 59. P. 173–181. 10.1134/S1023193523030060).
- Xiao W., Wang J., Fan L., Zhang J., Li X. // Energy Stor. Mater. 2019. V. 19. P. 379–400. 10.1016/j.ensm.2018.10.012.
- Куншина Г.Б., Бочарова И.В., Локшин Э.П. // Неорганические материалы. 2016. Т. 52. № 3. С. 320–326. 10.7868/S0002337X16030088. (англоязычная версия: Kunshina G.B., Bocharova I.V., Lokshin E.P. // Inorg. Mater. 2016. V. 52. P. 279–284. 10.1134/S0020168516030080).
- Kang J., Guo X., Gu R., Tang Y., Hao H., Lan Y., Jin L., Wei X. // J. Alloys Compd. 2023. V. 941. P. 168857. 10.1016/j.jallcom.2023.168857.
- Fergus J.W. // J. Power Sources. 2010. V. 195. P. 4554–4569. 10.1016/j.jpowsour.2010.01.076.
- Smith S., Thompson T., Sakamoto J., Allen J.L., Baker D.R., Wolfenstine J. // Solid State Ionics. 2017. V. 300. P. 38–45. 10.1016/j.ssi.2016.11.032.
- Yao Z., Zhu K., Zhang J., Li X., Chen J., Wang J., Yan K., Liu J. // Journal of Materials Science: Materials in Electronics. 2021. V. 32. P. 24834-24844. 10.1007/s10854-021-06943-x.
- Стенина И.А., Таранченко Е.О., Ильин А.Б., Ярославцев А.Б. // Журнал неорганической химии, 2023, T. 68, № 12, стр. 1683-1690. 10.31857/S0044457X23601360 (англоязычная версия: Stenina I.A., Taranchenko E.O., Ilin A.B., Yaroslavtsev A.B. // Russ. J. Inorg. Chem. 2023. V. 68. P. 1707–1713. 10.1134/S0036023623602313).
- Zhang Y., Liu H., Xie Z., Qu W., Freschi D.J., Liu J. // Adv. Funct. Mater. 2023. V. 33. P. 2300973. 10.1002/adfm.202300973.
- Loutati A., Guillon O., Tietz F., Fattakhova-Rohlfing D. // Open Ceramics. 2022. V. 12. P. 100313. 10.1016/j.oceram.2022.100313.
- Rangan K.K., Gopalakrishnan J. // Inorg. Chem. 1995. V. 34. P. 1969–1972. 10.1021/ic00111a055.
- Aono H., Asri bin Idris M., Sadaoka Y. // Solid State Ionics. 2004. V. 166. P. 53–59. https://doi.org/10.1016/j.ssi.2003.11.005.
- Suzuki T., Yoshida K., Uematsu K., Kodama T., Toda K., Ye Z.-G., Sato M. // Solid State Ionics. 1997. V. 104. P. 27–33. https://doi.org/10.1016/S0167-2738(97)00404-9.
- Shaikhlislamova A.R., Stenina I.A., Yaroslavtsev A.B. // Russ. J. Inorg. Chem. 2008. V. 53. P. 1829–1833. 10.1134/S0036023608120012.
- Шайхлисламова А.Р., Ярославцев А.Б. // Неорганические материалы. 2008. Т. 44. № 11. С. 1361-1366. (англоязычная версия: Shaikhlislamova A.R., Yaroslavtsev A.B. // Inorg. Mater. 2008. V. 44. P. 1227–1232. 10.1134/S0020168508110162).
- Shaikhlislamova A.R., Zhuravlev N.A., Stenina I.A., Izotov A.D., Yaroslavtsev A.B. // Doklady Physical Chemistry. 2008. V. 420. P. 118-120. 10.1134/S0012501608050102.
- Шайхлисламова А.Р., Горяинов A.Ю., Ярославцев А.Б. // Неорганические материалы. 2010. Т. 46. № 8. С. 997–1000. (англоязычная версия: Shaikhlislamova A.R., Goryainov A.Y., Yaroslavtsev A.B. // Inorg. Mater. 2010. V. 46. P. 896–899. 10.1134/S0020168510080170).
- Shannon R.D. // Acta Crystallographica Section A. 1976. V. 32. P. 751–767.
Supplementary files





