Capture and Recovery of Volatile Organic Compounds Vapors Using Membrane Technology
- Authors: Novitsky E.G.1, Tokarev P.O.1, Matveeva Y.I.1, Volkov V.V.1, Grushevenko E.A.1
-
Affiliations:
- A.V. Topchiev Institute of Petrochemical Synthesis of the Russian Academy of Sciences
- Issue: Vol 14, No 4 (2024)
- Pages: 249-262
- Section: Articles
- URL: https://bakhtiniada.ru/2218-1172/article/view/271543
- DOI: https://doi.org/10.31857/S2218117224040017
- EDN: https://elibrary.ru/MQTOYY
- ID: 271543
Cite item
Full Text
Abstract
The problem of separation and recovery of volatile organic compounds (VOC) vapors is important both from the point of view of reducing the negative anthropogenic impact on the environment and from the point of view of resource conservation. The main classes of VOCs are, first of all, aliphatic, aromatic and oxygen-containing hydrocarbons. A significant source of VOC emissions of various natures are waste gas process flows (or off-gases) of petrochemical industries (polymerization processes, hydrotreating, isomerization, dehydrogenation, etc.). The capture and recovery of VOC vapors is implemented mainly using recovery technology and decomposition technology.
This review is devoted to a brief overview of modern technologies for the removal and recovery of VOCs from vapor-gas mixtures. The technology of membrane separation of vapor-gas mixtures, including promising membrane materials, is considered in detail. This technology allows for the selective separation of VOCs, and the purified main gas flow can be returned to the production cycle, if necessary, without additional preparation.
Full Text
ВВЕДЕНИЕ
Летучие органические соединения (ЛОС) являются важнейшим классом загрязнителей окружающей среды ввиду их токсичности, высокой летучести и устойчивости к деградации в естественной воздушной среде. ЛОС определяются Всемирной организацией здравоохранения (ВОЗ) как типичная группа органических веществ с температурой кипения в диапазоне от 50° до 260°C при атмосферном давлении. Снижение эмиссии и концентрации в атмосфере ЛОС является частью национальной программы Экология. Поэтому разработка эффективных технологий выделения и рекуперации ЛОС имеет большое значение.
Основным источником ЛОС в атмосфере являются выбросы промышленных предприятий: нефтехимические, нефтеперерабатывающие, полиграфия, добыча и переработка угля, производство электроники, резиновая промышленность, производство кожи, фармацевтика, производство лаков и красок, и др. В результате технологических процессов в атмосферу выделяются (или сжигаются) углеводороды, нефтепродукты, кетоны, эфиры, ароматические углеводороды, спирты, хлорорганические соединения и др. Такие соединения, как правило, попадают в атмосферу в ходе неполной очистки технологических потоков перед сбросом или в результате их неполного горения (т.н. факельные или “свечные” выбросы).
Большинство ЛОС проявляют высокую токсичность как для окружающей среды, так и для здоровья человека [1]. ЛОС могут реагировать с атмосферным гидроксильным радикалом и озоном в тропосфере, а также высвобождать активную разрушающую озон цепь носителей в стратосфере, что приводит к истощению озонового слоя и образованию антарктической озоновой дыры. Кроме того, они оказывают значительное влияние на глобальное потепление и качество питьевой воды [2], а также являются токсичными и канцероген опасными для человека. В частности, ацетальдегид вызывает заболевания носоглотки, рак и поражения легких [3]. Высокая концентрация ароматических веществ в воздухе (в частности, толуола) могут привести к потере сознания и головокружению [4], а присутствие спиртов и кетонов – вызвать угнетение нервной системы и тошноту [5]. По оценкам Всемирной организации здравоохранения (ВОЗ), около 90% людей во всем мире дышат загрязненным воздухом. Наиболее уязвимыми являются люди, проживающие вблизи добывающих и перерабатывающих предприятий, в том числе нефтеперерабатывающих и нефтехимических. Так, выбросы веществ с нефтеперерабатывающих заводов повышают риск возникновения аллергических реакций у людей, проживающих рядом [6], и проблем с дыханием, таким как астма, возникновения лейкемии и врожденного порока сердца и др. [7]. Связь между деятельностью нефтеперерабатывающих заводов и симптоматикой воздействия ЛОС подтверждается отечественными и зарубежными источниками [6, 8, 9].
Самые высокие уровни загрязнения атмосферного воздуха наблюдаются в регионах Восточного Средиземноморья и Юго-Восточной Азии, при этом среднегодовые уровни концентраций ЛОС часто превышают более чем в пять раз установленные пределы ВОЗ1. По данным работы [1] общая концентрация ЛОС в атмосфере от выбросов типичного нефтехимического промышленного предприятия, расположенного в среднем течении реки Янцзы, находится в диапазоне от 5.59 до 541 ppbv при среднем значении 54.8 ppbv. Авторы отмечают, что преобладающий вклад вносят алканы (41.4 ± 15.7%), за ними следуют алкены (19.9 ± 15.7%), легкокипящие (14.7 ± 9.26%), галоген углеводороды (11.2 ± 6.42%), ароматические углеводороды (8.17 ± 5.08%) и ацетилен (4.54 ± 2.80). Бурное развитие промышленности за последние два века привело к неблагоприятному воздействию как на окружающую среду, так и на здоровье людей [10]. Дело в том, что загрязнители воздуха, такие как окись и двуокись углерода (CO, СО2), диоксид серы (SO2), оксиды азота (NOx), летучие органические соединения (ЛОС), озон (O3), соединения тяжелых металлов и др., оседая на микрочастицах пыли или сажи образуют твердые частицы аэрозолей различного размера и состава [11].
В России проблема загрязнения атмосферы предприятиями добычи и переработки углеводородного сырья крайне актуальна. По данным Росприроднадзора в 2023 году в РФ в атмосферу было выброшено 1378 тыс. тонн ЛОС, в том числе 40.08 тыс. тонн гексана, 28.92 тыс. тонн метилбензола, 14.27 тыс. тонн бутана, 13.53 тыс. тонн метанола и 10.64 тыс. тонн пропан-2-ола. Из этого объема только 351 тыс. тонн уловлено и обезврежено и 43 тыс. тонн утилизировано2. Так, например, в материалах конференции [12] отмечалось, что на предприятии АО “Антипинский нефтеперерабатывающий завод” (АНПЗ) при переработке 9 млн. т в год сырой нефти (глубина переработки 98%) в атмосферу сбрасывается значимое количество ЛОС (табл. 1). АНПЗ не только является источником загрязнения атмосферного воздуха в Тюменской области, но и теряет значительную часть продуктов, сбрасывая их в атмосферу. Таким образом, проблема улавливания и рекуперации ЛОС остро стоит во всем мире.
Таблица 1. Перечень основных загрязняющих веществ АНПЗ, сбрасываемых в атмосферу
Летучее органическое соединение | Класс опасности | Суммарный выброс вещества, т/год |
Бутан | 4 | 9.206 |
Пентан | 4 | 1.619 |
Смесь предельных углеводородов С1Н4-С5Н12 | 4 | 1259.821 |
Смесь предельных углеводородов С6Н14-С10Н22 | 3 | 476.277 |
Этан | 14.233 | |
Бензол | 2 | 6.339 |
Диметилбензол (Ксилол) (смесь изомеров о-, м-, п-) | 3 | 13.057 |
Метилбензол (Толуол) | 3 | 16.423 |
Этилбензол | 3 | 2.409 |
Бензин (нефтяной, малосернистый) (в пересчете на углерод) | 4 | 12.588 |
Керосин | 21.235 | |
Сольвент нафта | 5.293 | |
Углеводороды предельные C12–C19 | 4 | 72.084 |
Ди(2- гидроксиэтил)метиламин (Метилдиэтаноламин) | 1.085 |
Авторы работы [13] рассчитали эффективность инновационного проекта утилизации ЛОС на примере масляного альдегида. Расчеты показали, что, при наличии государственной поддержки, проектная стоимость установки каталитического обезвреживания выбросов масляного альдегида производительностью 135.5 кг/ч составит 20 млн. руб., что позволит ежегодно экономить 10.8 млн. руб. при сроке окупаемости проекта 2 года. В то же время, компоненты ЛОС являются ценным химическим сырьем, и их рекуперация может принести экономическую выгоду предприятию. Создание технологий переработки содержащих ЛОС парогазовых смесей, обеспечивающих не только сокращение выбросов, но и их возврат в экономический оборот, является актуальной проблемой.
ТЕХНОЛОГИИ ОЧИСТКИ ГАЗОВЫХ ПОТОКОВ ОТ ЛОС
Технологии контроля загрязнения ЛОС включают технологии рекуперации (адсорбция, мембранное разделение, абсорбция и конденсация) [14], технологии разложения (каталитическое окисление, сжигание, биологическое и фотокаталитическое разложение и плазменного окисления) [15] и конверсионных технологий (восстановление и дегалогенирование) [16]. Выбор технологии контроля загрязнения ЛОС обычно обусловлен технической возможностью эксплуатации той или иной установки на источнике эмиссии и рентабельностью данного мероприятия, а также уровнем содержания ЛОС в газовом потоке (табл. 2).
Таблица 2. Сравнение некоторых технологий улавливания ЛОС [17]
Технология | Содержание ЛОС, ppm | Эффективность, % | Температура, °C | Примечание |
Каталитическое окисление | 100–1000 | 90–98 | 149 | Возможность рекуперации до 70% энергии. Эффективность зависит от условий разделения. Некоторые примеси могут быть каталитическими ядами. |
Адсорбция активированным углем | 700–10 000 | 80–90 | <54 | Производительность сильно зависит от влажности. Ограничения при очистке кетонов, альдегидов и эфиров. |
Мембранное разделение | 20–12 500 | 90–99 | комнатная | Минимальная чувствительность к природе разделяемых компонентов. Очищенный газ не требует дальнейшей обработки. |
1.1. Технологии разложения ЛОС
Технологии разложения ЛОС направлены на предотвращение загрязнение атмосферы токсичными компонентами и предполагают их химическое превращение в безвредные низкомолекулярные продукты (CO2, H2O и т. д.) [18]. Данные технологии позволяют удалять ЛОС в широком диапазоне концентраций. Среди деструктивных технологий снижения выбросов ЛОС термическое сжигание и каталитическое окисление являются двумя распространенными способами удаления ЛОС в средней и высокой концентрации (>5000 мг/м3) [19, 20]. По сравнению с традиционным термическим сжиганием, которое полностью разрушает ЛОС высокой концентрации при температуре до 800°–1200°C, каталитическое окисление обычно проводится при более низкой температуре (200°–500°C или даже ниже) с меньшим образованием диоксинов и вредных продуктов и, таким образом, является более энергоэффективным [21, 22]. Фотокаталитическое разложение, плазменно-каталитическое окисление и биологическое разложение являются альтернативными технологиями утилизации ЛОС в низких концентрациях с целью снижения выбросов [23–25]. В настоящее время продолжаются работы по разработке эффективных катализаторов окисления ЛОС на основе нанесенных металлов или их оксидов [26]. Тем не менее, существуют сложности подбора каталитической системы при увеличении номенклатуры ЛОС. Кроме того, существуют проблемы, связанные с отравлением, коксованием и спеканием катализаторов, неполным сгоранием ЛОС, низкой селективностью и образованием вторичных продуктов загрязнения, а также подавлением окисления ЛОС при реальных и длительных пробегах катализаторов.
Однако, технологии утилизации ЛОС не лишены недостатков, таких как высокое энергопотребление (для термических процессов в первую очередь) и определенные риски для безопасности [27, 28]. Стоит отметить, что при классическом термическом сжигании трудно достичь высокой степени разложения ЛОС. При этом возможно и образование более канцерогенных, чем исходные ЛОС, соединений. Сочетая экономические и технические преимущества различных технологий, каталитическое окисление считается одним из наиболее эффективных методов удаления ЛОС из-за его относительно низкой стоимости и высокой скорости удаления вредных компонентов [29]. Кроме того, технология каталитического окисления при нормальных условиях (атмосферное давление, температура окружающей среды) представляется наиболее экологически чистой технологией разложения [30]. Проведение процесса разложения при нормальных условиях позволяет снизить затраты энергии и не требует специфических активаторов реакции (высокие температуры и давления, электроразряд или ультрафиолетовое облучение).
1.2. Технологии рекуперации ЛОС
В настоящее время среди методик улавливания ЛОС большее предпочтение отдается рекуперативным технологиям, поскольку они позволяют как извлечь органические компоненты без их химического превращения, так и сократить углеродный след, поскольку исключается образование СО2. Среди способов удаления ЛОС без разложения были широко изучены адсорбция, абсорбция, конденсация и мембранное разделение [31–33]. Для каждого из указанных процессов есть свой “рабочий” диапазон концентрации ЛОС в газовой смеси: для адсорбции – 700–10000 мг/л при эффективности выделения ЛОС 80–97% [34], для абсорбции – 500–15000 мг/л при эффективности выделении ЛОС 90–98% [35]. При конденсации эффективность составляет 70–85% при концентрации ЛОС более 5000 мг/л [36]. Применение мембранных технологий обеспечивает удаление 90–95% ЛОС в интервале концентраций 2000–50000 мг/л [37].
Помимо абсорбционного улавливания ЛОС углеводородами, известно применение абсорбционного подхода для удаления водорастворимых ЛОС при высоких концентрациях [38, 39]. Стоит отметить, что сорбционные процессы сопровождаются сложной последующей обработкой отработанного растворителя и высокими затратами на техническое обслуживание. Низкотемпературный способ выделения ЛОС из газовых потоков сопряжен с их конденсацией за счет понижения температуры или/и повышения давления [40]. Применение данной рекуперативной технологии предпочтительно при наличия ценных ЛОС в высокой концентрации [41], однако существует проблема утилизации отработанного теплоносителя в процессе конденсации [42].
Большинство исследований посвящено технологиям адсорбции и мембранного разделения [43]. Адсорбционное разделение основано на способности пористых материалов – адсорбентов – избирательно адсорбировать на своей поверхности компоненты ЛОС за счет физического и/или химического взаимодействия. Процесс адсорбции включает три стадии: (1) внешняя диффузия – адсорбат диффундирует к поверхности адсорбента; (2) внутренняя диффузия – адсорбат проникает в поры адсорбента; (3) адсорбционное взаимодействие – адсорбат сорбируется на поверхности адсорбента (внутренней и внешней), образуя адсорбционный слой. При разработке адсорбционной технологии выделения ЛОС исследователи изучают влияние свойств адсорбента (включая разработку новых адсорбентов с развитой поверхностью [44, 45] и функциональными группами на поверхности [46, 47]), влияние свойств адсорбата [48, 49] и условий адсорбции [50, 51]. Для повышения эффективности адсорбции предпочтительны адсорбаты с высокой точкой кипения. Так, в работе [52] отмечена положительная корреляция между адсорбцией ЛОС на активированном угле и температурой кипения ЛОС. В качестве адсорбентов преимущественно применяют активированный уголь, углеродные волокна, графен, углеродные нанотрубки, цеолиты, кремнезем и др., а также металлорганические каркасные соединения и полимерные сорбенты. Адсорбция позволяет решать задачу выделения и рекуперации ЛОС из газовых потоков, однако это технология периодического действия, одной из проблем которой является также предотвращение проскока ЛОС. Разработки ведутся в направлении создания более доступных и емких адсорбентов и повышения их селективности сорбции в отношении легколетучих ЛОС и десорбции низко летучих ЛОС.
Основными преимуществами мембранной технологии разделения парогазовых смесей для рекуперации ЛОС являются непрерывность процесса, высокая селективность выделения ЛОС из газового потока (более 80% в зависимости от конфигурации процесса), простота реализации, модульность и легкость масштабирования, низкие капитальные затраты, отсутствие расхода дополнительных реагентов и изменения агрегатного состояния веществ, а также возможность проведения процесса разделения без дополнительного нагрева/охлаждения (исключается расход энергии). Вышеперечисленные преимущества позволили успешно коммерциализировать процесс мембранной рекуперации паров. Впервые установка рекуперации органических паров на основе мембранных технологий была введена в эксплуатацию GKSS “GS-module” в 1989 году на хранилище бензина, а к 1995 году уже 20 мембранных установок производительностью 100–2000 м3/ч были поставлены на предприятия для рекуперации органических паров [53]. Еще одним преимуществом мембранной технологии является легкость интеграции с другими разделительными процессами, например, с предварительным охлаждением и конденсацией потока ЛОС [36]. На эффективность мембранного выделения ЛОС из газовых потоков влияют как свойства мембраны, так и условия разделения. Мембрана должна обеспечивать как хорошее разделение потоков (высокая концентрация ЛОС в пермеате и низкая в ретентате), так и высокую производительность.
МЕМБРАННАЯ РЕКУПЕРАЦИЯ ПАРОВ ЛОС
В отличие от рассмотренных выше технологий очистки парогазовых смесей (каталитическое или термическое окисление, адсорбция) мембранные технологии позволяют одновременно с очищенным газовым потоком получать рекуперированные компоненты ЛОС, что открывает возможность их возврата в производственный оборот и обеспечивает экономическую эффективность такого технологического подхода. Мембранное разделение является одной из перспективных технологий удаления ЛОС. Однако высокая стоимость, плохая стабильность, а также низкая проницаемость мембран препятствовали ее широкому использованию в промышленности. Это означает, необходимость разработки мембранных модулей на основе устойчивых к действию компонентов ЛОС, высокопроницаемых по ЛОС и дешевых мембранных материалов.
2.1. Мембранные материалы
Следует отметить, что одними из первых для удаления ЛОС из паровоздушных смесей были исследованы мембраны из стеклообразных полимеров [54–56]. Так, примером мембранного выделения ЛОС из паровоздушной смеси, представленным в работе [54], была разработка фирмы GКSS (ФРГ), посвященная получению мембраны и реализации на ее основе процесса рекуперации отходящих газов и паров при хранении и обращении с бензином. Установка улавливания и переработки таких паров из отходящих газов бензохранилищ производительностью 300 м3/ч была испытана в 1989 г. Эксперименты по извлечению легколетучего метил-трет-бутилового эфира (МТБЭ, Тк при нормальных условиях – 55.3°С) проводились с применением мембранного аппарата, оснащенного композиционной мембраной асимметричной структуры (рис. 1). На подложке из нетканного полиэфира по технологии Loeb-Sourirajan [57] сформована композиционная мембрана с микропористой основой толщиной 40 мкм и селективным слоем, выполненных из полиэфиримида с толщиной селективно проницаемого слоя 0.5–2 мкм. Этот материал устойчив к действию паров легколетучих (МТБЭ и ароматических (бензол, толуол) соединений. Установка обеспечила количественное извлечение МТБЭ (97–99%) при производительности 15–16 м3(н.у.)/(м2·ч·бар).
Рис. 1. Структура разделительной мембраны (1 - пористая подложка, 2 - микропористый слой, 3 - селективный слой)
В современных исследованиях основными классами мембранных материалов, обеспечивающих селективное выделение паров ЛОС из газовых сред, выделяют высокопроницаемые стеклообразные полимеры (полиацетилены, полинорборнены), силоксановые каучуки, полиэфирблокамиды (poly (ether block amide) – PEBA) [58–63]. Анализ данных табл. 3 свидетельствуют, что для выделения ЛОС из смесей с другими газами мембраны на основе органосилоксановых полимеров являются наиболее предпочтительными [64]. Также авторы [65] отмечали, что наиболее приемлемыми для разделения смесей, содержащих ЛОС, являются мембранные материалы из класса эластомеров, в первую очередь полидиметилсилоксан.
Таблица 3. Проницаемость широко используемых полимеров, измеренная для индивидуальных газов при указанных температурах (Баррер [10–10 см3(н.у.)·см/см2·с·см·рт.·ст.])
Газ | Эластомеры | Стеклообразные | |||
Силиконовые каучуки 25°C (Tg – 129°C) | Природный каучук 30°C (Tg – 73°C) | Ацетат целлюлозы 25°C (Tg 40 – 124°C) | Полисульфон 35°C (Tg – 186°C) | Полиимид (Ube Industries) 60°C (Tg > 250°C) | |
H2 | 550 | 41 | 24 | 14 | 50 |
He | 300 | 31 | 33 | 13 | 40 |
O2 | 500 | 23 | 1.6 | 1.4 | 3 |
N2 | 250 | 9.4 | 0.33 | 0.25 | 0.6 |
CO2 | 2700 | 153 | 10 | 5.6 | 13 |
CH4 | 800 | 30 | 0.36 | 0.25 | 0.4 |
C2H6 | 2100 | – | 0.20 | – | 0.08 |
C3H8 | 3400 | 168 | 0.13 | – | 0.015 |
C4H10 | 7500 | – | 0.10 | – | – |
В ряде работ изучалась проницаемость ЛОС через высокопроницаемые стеклообразные полимеры. Так, в работе [66] была исследована сорбция, диффузия и проницаемость н-алканов (С4, С5, С6) и спиртов (CH3OH, C2H5OH, n-C3H7OH) для аддитивного поли-(триметилсилилнорборнена). Отмечена взаимосвязь транспортных свойств с активностью паров и по модели двойной сорбции определено взаимодействие мембранного материала и пенентрантов. В работе [67] исследовали транспорт углеводородов и перфторуглеродных газов в политриметилсилилпропине (ПТМСП), отмечена очень низкая проницаемость перфторированных газов в сравнении с их углеродными аналогами. Таким образом, такие легколетучие вещества, как н-алканы (н-С4+) и спирты (метанол, этанол, н-пропанол), также могут быть селективно выделены из воздушной среды с помощью высокопроницаемых стеклообразных полимеров. Следует, однако, подчеркнуть, что эта группа полимеров характеризуется высокой долей неравновесного свободного объема, поэтому необходимо учитывать снижение транспортных и разделительных свойств этих мембранных материалов во времени в результате релаксации свободного объема [68, 69].
PEBA представляет собой термопластичный эластомер, включающий цепи полиамида и полиэфира. PEBA считается высокопроницаемым полимером из-за его гибких полиэфирных сегментов. При этом механических свойств данного полимера достаточно для изготовления тонкопленочной композиционной мембраны [70, 71]. За счет комбинации стеклообразного полиамидного и высокоэластичного полиэфирного фрагментов данный полимер имеет повышенную селективность в отношении ЛОС (за счет их высокой проницаемости через полиэфирные фрагменты цепи) и ограниченное набухание в ЛОС (за счет жестких полиамидных блоков). Так, в работе [70] отмечали высокую селективность мембраны PEBA выделения пропилена из смеси с азотом (сдувочный газ производства полипропилена). Путем изменения соотношения блоков полиэфира и полиамида возможно регулировать набухание мембраны и ее проницаемость в зависимости от условий эксплуатации. Однако проницаемость и селективность в отношении компонентов ЛОС для данных материалов не высока [72].
При разделении ЛОС – содержащих парогазовых смесей, как правило, применяют мембраны из эластомерных материалов [73], в первую очередь из силоксановых каучуков. Силоксановые каучуки (в первую очередь полидиметилсилоксан (ПДМС) широко известные и активно применимые мембранные материалы за счет своей высокой проницаемости даже при пониженных температуре и давлении. Важной особенностью мембран на основе силоксановых каучуков является их сшитая структура, которая обеспечивает механическую стабильность мембран в среде ЛОС (несшитые полимеры могут частично растворяться в ЛОС-содержащих средах, что существенно снижает их эксплуатационные свойства). Каучукообразный ПДМС преобладал с конца 20-го века как высокопроницаемый и селективный материал для разделения ЛОС/N2 [74–79]. Большинство органоселективных коммерческих мембран выполнено на основе силоксановых каучуков. Широкое применение данных материалов обусловлено легкостью в эксплуатации, разделительными свойствами, химической и термической стойкостью. Разработка высокоселективных мембран на их основе остается актуальной задачей. ПДМС демонстрирует высокую проницаемость и селективность по парам ЛОС. Тем не менее известно, что при переходе от индивидуальных веществ к смесям селективность выделения ЛОС для силиконовых каучуков заметно снижается [80]. Этот эффект связан со значительным набуханием ПДМС в ЛОС и увеличению диффузии малого по размеру компонента (газа) через мембрану. Переход от ПДМС к замещенным по основной или боковой цепи полисилоксанам позволяет повысить селективность в отношении органических паров [81]. Тем не менее, характерное для ПДМС снижение селективности при переходе от индивидуальных компонентов к смеси сохраняется также и для замещенных по боковой цепи полисилоксанов [63]. Следует отметить, что одним из подходов по снижению набухания полисилоксанов в разделяемой смеси является их химическая сшивка. До сшивки полисилоксан – вязкая жидкость. Химическая сшивка позволяет получить сплошную полимерную пленку. Так, в работе [78] изучено влияние соотношение полимер – сшивающий агент двухкомпонентной системы KE-1310 (ПДМС, Shin-Etsu Polymer Co., Ltd., Токио, Япония) при выделении толуола, м-ксилола и метанола из смеси с азотом. При варьировании соотношения полимер:сшивающий агент от 10:1 до 10:5 наблюдалась экстремальная зависимость потока толуола и фактора разделения с максимумом при соотношении 10:4. В зависимости от сшивки эффективность выделения толуола варьировалась от 63 до 74%. Однако, авторы статьи посчитали данное различие незначительным и более подробно влияние сшивки на разделительные свойства мембран рассмотрено не было. В большинстве работ в области рекуперации паров ЛОС с применением мембран рассматривается влияние условий процесса, природы пенетранта, однако очень мало работ посвящено влиянию степени сшивки на транспортные и разделительные свойства мембраны. Данная область имеет большой потенциал с точки зрения варьирования свойств мембраны, в частности контроля ее набухания в ЛОС, которое приводит к нежелательному снижению селективности. Предпосылками в данной области можно считать работы, посвященные получению ПДМС мембран при различных условиях протекания процесса сшивки. Исследователи в работе [82] отмечают, что увеличение температуры процесса сшивки ПДМС с 75° до 100°С приводит к снижению проницаемости метана через материал с 1000 до 480 Баррер. Этот эффект связан с уменьшением доли свободного объема в полимере. Для создания мембран с необходимыми механическими характеристиками применяют сшивающие агенты с различными функциональными группами. Одним из распространенных методов сшивки ПДМС является использование алкоксисиланов [83–85]. Например, в исследовании [83] выявлено, что увеличение содержания тетраэтоксисилана в реакционной смеси ПДМС до 30% масс. приводит к снижению коэффициента проницаемости по кислороду с 640 до 185 Баррер (при давлении 0.5 бар). Другие исследования, такие как [86], указывают на то, что использование более короткого и жесткого сшивающего может повысить селективность по н-бутану по отношению к метану при сохранении проницаемости по н-бутану на сопоставимом уровне.
В работе [87] авторы предложили оригинальную схему получения мембран на основе сшитых олигометилвинил- и олигогидрометилсилоксанов. Применяя в качестве исходных материалов олиговинилметил- и олигогидрометилсилоксаны авторы получили сшитые полидиораносилоксаны трехмерной структуры через реакцию гидрирования следующей схеме:
Из этой схемы видно, что благодаря реакции гидрирования винильной группы одного олигомера с атомом водорода другого происходит сшивание молекул исходных органосилоксановых олигомеров с образованием мембраны, содержащей трехмерные сетки. Такая структура мембран, с одной стороны, обеспечивает химическую и механическую стойкость в условиях контакта с компонентами ЛОС, а с другой – высокую паропроницаемость. Сшитый ПДМС, полученный при соотношении форполимер/сшивающий агент 10:1, содержит незначительное количество непрореагировавшего сшивающего агента. Однако ПДМС, изготовленный с соотношением форполимер/сшивающий агент 10:2.5 включает трехмерную сетку и непрореагировавший сшивающий агент, встроенный в трехмерную структуру ПДМС. Величина сорбции и коэффициенты диффузии паров толуола увеличиваются с увеличением активности паров в сшитом ПДМС. При этом изотермы сорбции были аналогичными для мембран с 10% и 25% сшивающего агента, а коэффициенты диффузии коррелируют с исходной концентрацией толуола. Коэффициенты диффузии азота уменьшались, вероятно, потому, что свободный объем полимера занят адсорбированными молекулами толуола. Авторы предполагают, что экспериментальная селективность разделения смеси толуол/азот зависит от концентрации паров толуола. При более высокой концентрации селективность значительно повышается, что выгодно для процесса концентрирования толуола, и составляет 1480.
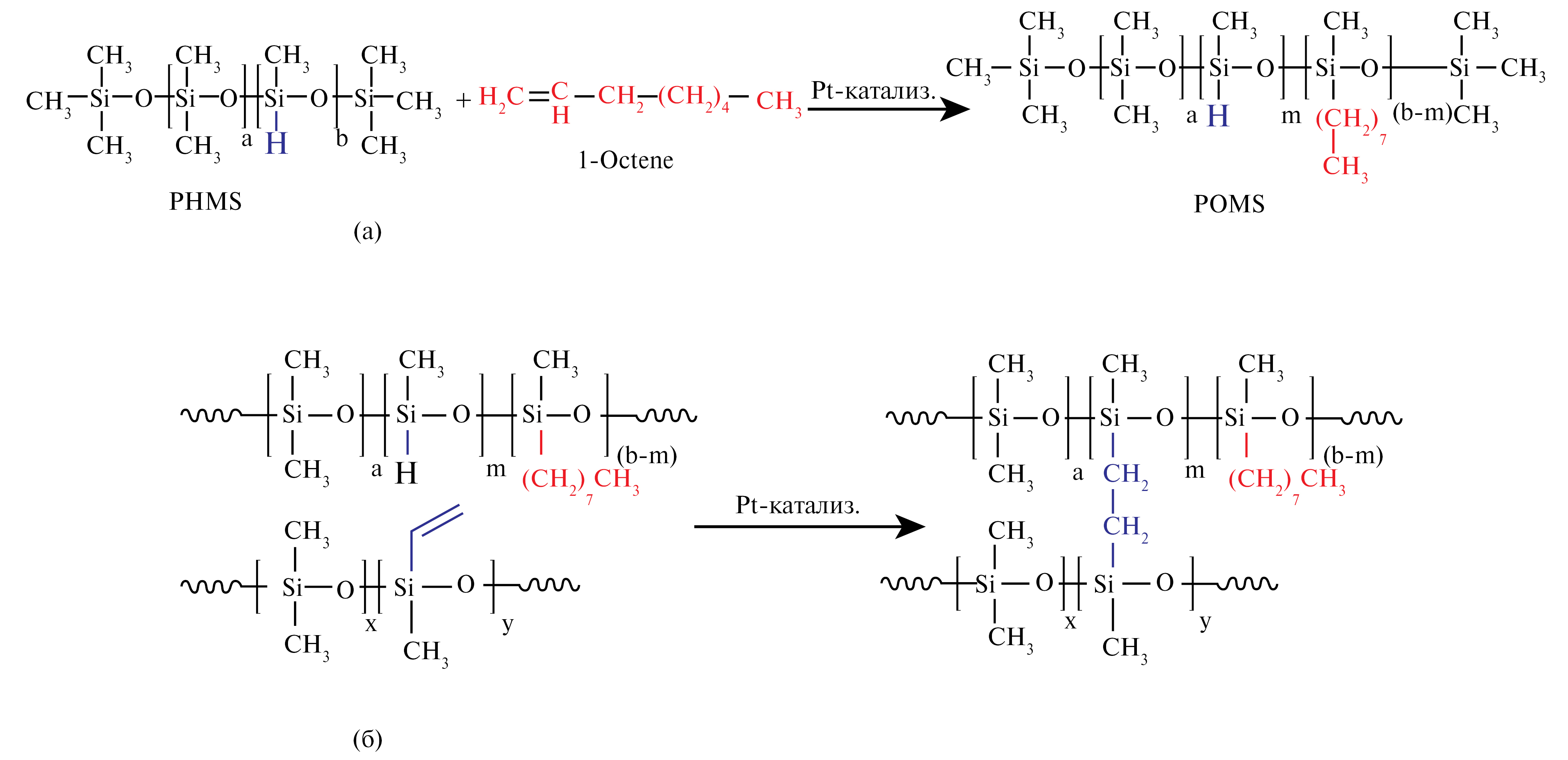
Представленная в работе [88] мембранная технология разделения парогазовых смесей с применением мембран из силиконовых эластомеров, таких как полидиметил силоксаны (ПДМС) и полиоктилметилсилоксаны (ПОМС). В статье описаны этапы разработки октилмодифицированного силиконового каучука (OMСК) и мембран на его основе. На первом этапе (рис. 2) по реакции SiH-содержашего олиго-диметилсилоксана с 1-октеном получали олигооктенгидродимелсилоксан. На втором – по реакции этого олигомера с олигодиметидвинилсилоксаном получали мембрану с трехмерной полимерной структурой (рис. 3).
Рис. 2. Схема сшивки олигометилвинил- и олигогидрометилсилоксанов [87]
Рис. 3. Схема получения мембран (стадия (б) проводится в процессе формовании мембраны)
В результате был получен высокомолекулярный материал трехмерной пространственной структуры, где сшитые олигосилоксановые цепи обрамлены метильными и октильными группами. Мембраны на его основе обладают уникальной структурой сшитой пространственной сетки. В ней эластичность и высокая газопроницаемость олигосилоксановых доменов сочетается с прочностью и эластичностью от октильных боковых радикалов. Наличие таких структур в полимерном материале определяет сочетание селективности транспорта крупных молекул ЛОС с высокой термостойкостью диорганосилоксановых звеньев. Толщина полученных мембран составляла ~200 мкм. Сопоставительные результаты по разделению смесей ЛОС/N2 для паров толуола, циклогексана, а также изопропанола приведены в табл. 4. Представленные результаты экспериментов показали, что такие мембраны имеют хорошие механические свойства, а также высокую газопроницаемость и, главное, селективность при разделении паровоздушных смесей ЛОС/N2. и устойчивость к действию паров ЛОС при температурах до 250°С. Очевидно, что полученные результаты по проницаемости и селективности процесса разделения парогазовой смеси ЛОС-азот превосходят известные данные. Однако предстоит еще решить проблему масштабирования предложенной технологии для приготовления листовых мембран, необходимых для производства рулонных разделительных модулей, поскольку описанная в работе методика применима лишь для малоразмерных лабораторных образцов.
Таблица 4. Сравнительные параметры эффективности разделения ЛОС/N2
ЛОС | Материал мембраны | Конц. %/мол | Скоростьподачи, мл/мин | МПа | Температура, °C | Проницаемость ЛОС, Баррер | Селективность | Источник |
Толуол | ПДМС М33<?>2 | 1.0 0.53 | 3000 120 | 0.25 0.3 | 30 10 | 8200 70 571 | 52 245 | [89] [88] |
Циклогексан | ПДМС М3 | 4.0 2.01 | 3000 120 | ~0.1 0.3 | 30 10 | 7500 18 305 | 45 74 | [89] [88] |
Изопропанол | ПДМС М3 | 2 1.69 | – 120 | 0.1 0.3 | 35 10 | 7200 9060 | 52 42 | [90] [88] |
Влияние состава и структуры органических радикалов, обрамляющих полисилоксановые цепи, на газо- и паропроницаемость мембран на их основе, представлено в цикле работ ИНХС РАН. В частности, предложен одностадийный подход к синтезу замещенных по боковой цепи полисилоксанов, заключающийся в in situ модификации и сшивке полиметилгидросилоксана терминальными олефинами и диенами [91, 92]. Продемонстрировано, что введение алкильных линейных заместителей С6+ позволяет существенно увеличить селективность материалов в отношении н-бутана [91]. В том числе при разделении газовых смесей С1-С4. Так, в работе [63] при сравнении разделительных свойств мембрана на основе полидецилметилсилоксана и коммерческих мембран МДК-3 (Владипор) и POMS (HZG) демонстрирует значения селективности разделения этан/метан, пропан/метан и н-бутан/метан на 13%, 30% и 65% больше, чем для МДК-3 и на 1%, 6% и 20% больше, чем для POMS. Поскольку для задачи разделения парогазовых смесей большее влияние на разделительные и транспортные свойства мембран оказывает набухание полимеров в среде ЛОС, было изучено влияние сшивающего агента на структуру и транспортные свойства полидецилметилсилоксанов с различными поперечными сшивками [93]. Отмечено, что углеводородные поперечные сшивки позволяют снизить набухание мембранных материалов в среде толуола и повысить селективность разделения по паре газов н-бутан/азот, однако наблюдается снижение газопроницаемости в сравнении с мембранными материалами, сшитых гибкой полисилоксановой сшивкой.
Все рассмотренные примеры очистки различных газовых смесей от ЛОС свидетельствуют о широких возможностях применения мембранных технологий для их количественной рекуперации из различных парогазовых потоков. Данные возможности необходимо развивать, в том числе более полно исследую понимание механизма переноса и выделения ЛОС с применением мембран [52].
2.2. Типы мембран для рекуперации
Для обеспечения высокой производительности мембраны при сохранении высокой селективности мембранного материала исследователи идут по пути перехода от сплошных мембран (пленок) к композиционным и ассиметричным мембранам с тонкими селективными слоями. Это позволяет реализовывать разделение в тонких и ультратонких селективных слоях при сохранении приемлемых для практического применения механических свойств мембраны. Остро стоит вопрос изменения транспортных свойств мембран в среде ЛОС при снижении толщины селективного слоя. Как показали последние исследования в области набухания полимеров, толщина исходного образца может существенно влиять на величину набухания. Особенно это заметно при переходе в область очень тонких полимерных пленок [94].
Для разделения смесей ЛОС/газы применяют мембранные модули на основе двух типов мембран: плоско листовых и трубчатых (капиллярные или половолоконные мембраны в данном случае рассматриваются как частный случай трубчатой мембраны). На основе таких мембран изготавливают мембранные модули двух типов [95] рулонные с композиционными мембранами в виде плоских листов (рис. 4а) и половолоконные или трубчатые с композиционными мембранами в виде полых волокон или трубок (рис. 4б). Оба типа мембран имеют одинаковую асимметричную структуру:
Рис. 4. Принципиальная схема рулонного (а) и половолоконного (б) модуля
а) пористый полимерный слой (“подложка”), обеспечивает механическую прочность мембраны;
б) сплошной полимерный слой из селективно проницаемого полимера, обеспечивающий селективность разделения ЛОС – газовых смесей.
Большую часть (около 80 %) современных газо- и пароразделительных аппаратов составляют половолоконные модули и около 20% – рулонные.
Применение пористых подложек с асимметричной структурой позволяет разделять газы при высоких давлениях (до 6.ц5 MПа).
Следует отметить, что к настоящему времени с различной степенью эффективности выделения ЛОС применяется широкий круг полимерных материалов в виде как листовых, так и (предпочтительно) половолоконных мембран. Очистка воздуха от паров толуола с применением аппарата, оснащенного половолоконной мембраной из полиуретана, позволило удалить 100% паров толуола [96]. В патенте США [97] с представлена технология мембранного разделения воздушных смесей фторированных углеводородов с применением половолоконных асимметричных мембран на основе стеклообразных полимеров, таких как полиимиды, полиамиды, полиамид-имиды, полиэфиры, поликарбонаты, полисульфоны, полиэфирсульфоны, полиэфиркетоны, алкилзамещенные ароматические полиэфиры, смеси полиэфирсульфонов, а также представленные в патенте США № 5599380 мембраны на основе ацетатов целлюлозы и их смесей”. Асимметричные мембраны получали формованием из раствора полимера в смеси растворитель-нерастворитель осаждением в осадительной ванне. Структура такой мембраны включает тонкий (мкм) селективный разделительный слой и пористую (сотни мкм) подложку, обеспечивающую механичекую прочность мембраны. Эффективное разделение указанных смесей паров перфторуглеводородов происходит в интервале температур – 10°С ÷ +100°С. Разделяемые газы помимо водорода включают атомы углерода серы и (или) азота, и в этих газах, как минимум, один атом водорода замещен атомом фтора. В процессе разделения легкие газы (азот, водород) отводятся в составе пермеата, а фторуглеводороды – в составе ретентата с последующим возвратом на криогенную дистилляцию. И, наконец, приведем пример применения мембранного модуля с трубчатыми мембранами из керамических трубок. В работе [98] выделение ЛОС (толуол-пропилен-бутадиен) из воздуха проводили с применением полидиметилсилоксановых мембран, полученных нанесением раствора органосилоксанового полимера (ПДМС) на внутреннюю поверхность керамических трубок из α-оксида алюминия. Поверхность разделительной мембраны составляла 55×10–4 м². Исходный поток подавали при температуре ~21°C при атмосферном давлении, а со стороны пермеата давление составляло 5 мбар. Коэффициенты проницаемости расположились в следующий ряд: толуол > 1,3-бутадиен > > пропилен. С применением лабораторного модуля с поверхностью мембраны 0.02 м2 степень извлечения ЛОС составила 95%.
ЗАКЛЮЧЕНИЕ
Выделение паров легколетучих органических соединений (ЛОС) из газовых сред является важной проблемой в вопросах промышленной безопасности и экологии на нефтегазовых, химических и нефтехимических предприятиях. ЛОС представляют собой органические соединения различный природы, которые испаряются в атмосферу при комнатной температуре. Источниками выбросов паров органических веществ в атмосферу являются технологические операции с резервуарами (хранилищами) топлив: слив-налив, транспортировка, длительное хранение; абгазы и продувочные газы технологических процессов органического синтеза, полимеризационных процессов, нефтехимии и нефтепереработки; производство растворителей и лакокрасочных материалов и др. Выделение и рекуперация ЛОС из газовых смесей представляет собой не только важную экологическую, но и ресурсосберегающую задачу. Таким образом, рекуперация и возвращение данных соединений в экономику страны позволила бы существенно улучшить ресурсосбережение, снизить отходы производств и негативное воздействие на экологию.
Разработка мембран для мембранного разделения парогазовых смесей имеет значительную научную и практическую значимость, поскольку именно материал мембраны определяет производительность и селективность разделения. Стоит отметить, что для данной разделительной задачи важным является селективный перенос именно паров ЛОС, поскольку это позволит использовать меньшую площадь мембран в модуле.
В табл. 5 приведены сравнительная экономическая оценка процессов очистки типичных газовых потоков, содержащих ЛОС.
ТЕХНОЛОГИЯ | Производительность (Нм3/ч) | Капитальные затраты ($) | Эксплуатационные расходы (в месяц, $) |
Термическое / каталитическое окисление (сжигание) | 1699–849,505 | 280,000 | 15,700 |
Адсорбция (активированный уголь) | 170–10,194 | <280,000 | 45,000 |
Мембраны | 340–2548 | 660,000 | 41,000 |
Анализ этих данных показывает, что мембранные технологии очистки (или разделения) различных технологических потоков содержащих ЛОС являются серьезной альтернативой адсорбционной технологии и технологии термоокислительной очистки, поскольку исключают какие-либо выбросы в окружающую среду, в первую очередь, углекислого газа и других продуктов сгорания при любых исходных концентрациях ЛОС. Это главное преимущество мембранных технологий – они не генерируют новые выбросы (т.е. дополнительную нагрузку на окружающую среду), а позволяют вторично использовать регенерируемые индивидуальные легколетучие компоненты.
БЛАГОДАРНОСТЬ
Исследование выполнено за счет гранта Российского научного фонда № 23-79-10265, https://rscf.ru/project/23-79-10265/.
1 Organization T W H. 2018 9 out of 10 people worldwide breathe polluted air, but more countries are taking action. (cited 2018 25th August); Available from: http://www.who.int/news- room/detail/02-05-2018-9-out-of-10-people-worldwide-breathe-polluted-air-but-more-countries-are-taking-action
2 Росприроднадзор. Информация об охране атмосферного воздуха. URL: https://rpn.gov.ru/open-service/analytic-data/statistic-reports/air-protect/. дата обращения: 03.04.2024
About the authors
E. G. Novitsky
A.V. Topchiev Institute of Petrochemical Synthesis of the Russian Academy of Sciences
Email: evgrushevenko@ips.ac.ru
Russian Federation, Moscow
P. O. Tokarev
A.V. Topchiev Institute of Petrochemical Synthesis of the Russian Academy of Sciences
Email: evgrushevenko@ips.ac.ru
Russian Federation, Moscow
Yu. I. Matveeva
A.V. Topchiev Institute of Petrochemical Synthesis of the Russian Academy of Sciences
Email: evgrushevenko@ips.ac.ru
Russian Federation, Moscow
V. V. Volkov
A.V. Topchiev Institute of Petrochemical Synthesis of the Russian Academy of Sciences
Email: evgrushevenko@ips.ac.ru
Russian Federation, Moscow
E. A. Grushevenko
A.V. Topchiev Institute of Petrochemical Synthesis of the Russian Academy of Sciences
Author for correspondence.
Email: evgrushevenko@ips.ac.ru
Russian Federation, Moscow
References
- Zheng H., Kong S., Yan Y., Chen N., Yao L., Liu X., Wu F., Cheng Yi., Niu Z., Zheng S., Zeng X., Yan Q., Wu J., Zheng M., Liu D., Zhao D., Shihua Q. // Science of the Total Environment. 2020. V. 703, P. 135505.
- Zadaka-Amir D., Nasser A., Nir, S., Mishael Y. G. // Microporous and Mesoporous Materials. 2012. V. 151. P. 216.
- Klett C., Duten X., Tieng S., Touchard S., Jestin P., Hassouni K., Vega-González A. // Journal of hazardous materials. 2014. V. 279. P. 356.
- Kim S.C., Nahm S.W., Shim W.G., Lee J.W., Moon H. // Journal of hazardous materials. 2007. V. 141. P. 305.
- Zhu Z., Wu R.J. // Journal of the Taiwan Institute of Chemical Engineers. 2015. V. 50. P. 276.
- Онищенко Г.Г. // Иммунология. 2006. Т. 27. №. 6. С. 352.
- Epstein A.C. // Environmental Issues Concerning Hydraulic Fracturing. 2017. V. 1. P. 113.
- Kaohsiung Leukemia Research Group // American Journal of Epidemiology. 2006. V. 164. №. 3. P. 200.
- Park J., Lee C-G., Ryu S-Y. // Journal of Occupational Health. 2006. V. 48. P. 216.
- Kampa M., Castanas E. // Environ. Pollut. 2008. V. 151. P. 362.
- Yang F., Liu C., Qian H. // Environment International. 2021. V. 155. P. 106684.
- Распопова Ю.И., Шарухо Г.В., Винокуров М.В. // Актуальные вопросы анализа риска при обеспечении санитарно-эпидемиологического благополучия населения и защиты прав потребителей: Материалы VIII Всероссийской научно-практической конференции с международным участием, Пермь, 16–18 мая 2018 года. 2018, 607 с.
- Ермишов К.В., Конягина М.Н. // Управленческое консультирование. 2019. № 6. С. 126.
- Zhen H., Jang S.M., Teo W.K., Li K. // Journal of applied polymer science. 2006. V. 99. P. 2497.
- Feng X., Liu H., He C., Shen Z., Wang T. // Catalysis Science & Technology. 2018. V. 8. P. 936.
- Gan G., Li X., Wang L., Fan S., Li J., Liang F., Chen A. // ACS Catalysis. 2019. V. 9. P. 10931.
- Alqaheem Y., Alomair A., Vinoba M., Pérez A // International Journal of Polymer Science. 2017. V. 2017. P. 4250927.
- Yang C., Miao G., Pi Y., Xia Q., Wu J., Li Z., Xiao J. // Chemical Engineering Journal, 2019. V. 370. P. 1128.
- Everaert K., Baeyens J. // J. Hazard. Mater. 2004. V. 109. P. 113.
- Spivey J.J. // Ind. Eng. Chem. Res. 1987. V. 26. P. 2165.
- Zhang Z., Jiang Z., Shangguan W. // Catal. Today. 2016. V. 264. P. 270.
- Tang W., Liu G., Li D., Liu H., Wu X., Han N., Chen Y. // Sci. China Chem. 2015. V. 58. P. 1359.
- Ji J., Xu Y., Huang H., He M., Liu S., Liu G., Xie R., Feng Q., Shu Y., Zhan Y., Fang R., Ye X. // Chem. Eng. J. 2017. V. 327.P. 490.
- Affonso Nóbrega P.H., Rohani V., Fulcheri L. // Chem. Eng. J. 2019. V. 364. P. (2019), pp. 37–44.
- Malakar S., Saha P.D., Baskaran D., Rajamanickam R. // Environ. Tech. Innovation. 2017. V. 8. P. 441.
- Liotta L.F. // Appl. Catal., B. 2010. V. 100. P. 403.
- Lou B.Z., Shakoor N., Adeel M., Zhang P., Huang L.L., Zhao Y.W., Zhao W.C., Jiang Y.Q., Rui Y.K. // J. Clean Prod. 2022.V. 363. P. 132523.
- Liu B., Ji J., Zhang B., Huang W., Gan Y., Leung D.Y.C.; Huang, H. // J. Hazard. Mater. 2021. V. 422. P. 126847.
- Liang Y., Liu Y., Deng J., Zhang K., Hou Z., Zhao X., Zhang X., Zhang K., Wei R., Dai H. // Environ. Sci. Technol. 2019. V. 53. P. 5926.
- Zhao R., Wang H., Zhao D., Liu R., Liu S., Fu J., Zhang Y., Ding H. // International journal of molecular sciences. 2022. V. 23. P. 13739.
- Son Y.S. // Chem. Eng. J. 2017. V. 316. P. 609.
- Dunn R.F., El-Halwagi M.M. // Waste Manage. 1994. V. 14. P. 103.
- Liu Y., Feng X., Lawless D. // J. Membr. Sci. 2006. V. 271. P. 114.
- Luengas A., Barona A., Hort C., Gallastegui G., Platel V., Elias A. // Reviews in Environmental Science and Bio/Technology. 2015. V. 14. P. 499.
- Heymes F., Manno-Demoustier P., Charbit F., Fanlo J. L., Moulin P. // Chemical Engineering Journal. 2006. V. 115. P. 225.
- Belaissaoui B., Le Moullec Y., Favre E. // Energy. 2016. V. 95. P. 291.
- Zhen H., Jang S. M., Teo W. K., Li K. // Journal of applied polymer science. 2006. V. 99. P. 2497.
- Dumont E., Darracq G., Couvert A., Couriol C., Amrane A., Thomas D., Andrès Y., Le Cloirec P. // Chem. Eng. J. 2011. V. 168. P. 241.
- Heymes F., Manno-Demoustier P., Charbit F., Fanlo J.L., Moulin P. // Chem. Eng. J. 2016. V. 115. P. 225.
- Khan F.I., Ghoshal A. Kr // J. Loss. Prevent. Proc. 2000. V. 13. P. 527.
- Dwivedi P., Gaur V., Sharma A., Verma N. // Sep. Purif. Technol. 2004. V. 39. P. 23.
- Kamal M.S., Razzak S.A., Hossain M.M. // Atmos. Environ. 2016. V. 140. P. 117.
- Gan G., Fan S., Li X., Zhang Z., Hao Z. // Journal of Environmental Sciences. 2023. V. 123. P. 96.
- Zhang W., Cheng H., Niu Q., Fu M., Huang H., Ye D. // Environmental science & technology. 2019. V. 53. P. 7632.
- Bhatnagar A., Hogland W., Marques M., Sillanpää M. // Chemical Engineering Journal. 2013. V. 219. P. 499.
- Wang L., Li J., Gan G., Fan S., Chen X., Liang F., Wei L., Zhang Z., Hao Z., Li X. // Industrial & Engineering Chemistry Research. 2020. V. 59. P. 19793.
- Villacañas F., Pereira M.F.R., Órfão J.J., Figueiredo J.L. // Journal of colloid and interface science. 2006. V. 293. P.128.
- Lashaki M.J., Atkinson J.D., Hashisho Z., Phillips J.H., Anderson J.E., Nichols M. // Journal of hazardous materials. 2016. V. 317. P. 284.
- Zhu L., Li X., Feng X., Li X., Xu X. // Journal of Porous Materials. 2016. V. 23. P. 957.
- Dou B., Hu Q., Li J., Qiao S., Hao Z. // Journal of hazardous materials. 2011. V. 186. P. 1615.
- Bradley R.H., Smith M.W., Andreu A., Falco M. // Applied Surface Science. 2011. V. 257. P. 2912.
- Oh K.J., Park D.W., Kim S.S., Park S.W. // Korean Journal of Chemical Engineering. 2010. V. 27. P. 632.
- Peinemann K.V., Ohlrogge K. Separation of organic vapors from air with membranes // Membrane Processes in Separation and Purification. Springer, Dordrecht, 1994. P. 357–372.
- Ohlrogge K., Peinemann K.-V., Wind J., Behling R.- D. // Separation Science and Technology. 1990. V. 25. P. 1375.
- Li Y.E., Duchateau D.L. Process and System for Selective Abatement of Reactive Gases and Recovery of Perfluoro Compound Gases. U.S. Patent 5759237, 1998.
- Chung I.J., Lee K.R., Hwang S.T. // J. Membr. Sci. 1995. V. 105. P. 177.
- Tseng H.-H., Lau W.J., Al-Ghouti M.A., An L. 60 Years of the Loeb-Sourirajan. Membrane, Principles, New Materials, Modelling, Characterization, and Applications. Elsevier, 2022.
- Ogieglo W., Rahimi K., Rauer S.B., Ghanem B., Ma X., Pinnau I., Wessling M // The Journal of Physical Chemistry B. 2017. V. 121. P. 7210–7220.
- Baker R. W., Low B. T. // Macromolecules. 2014. V. 47. P. 6999.
- Nitsche V., Ohlrogge K., Stürken K. // Chemical Engineering & Technology. 1998. V. 21. P. 925.
- Rebollar-Pérez G., Carretier E., Lesage N., Moulin P. // Journal of Industrial and Engineering Chemistry. 2012. V. 18. P. 1339.
- Yampolskii Y., Starannikova L., Belov N., Bermeshev M., Gringolts M., Finkelshtein E. // Journal of membrane science. 2014. V. 453. P. 532.
- Grushevenko E.A., Borisov I.L., Knyazeva A.A., Volkov V.V., Volkov A.V. // Separation and Purification Technology. 2020. V. 241. P. 116696.
- Ямпольский Ю.П. // Успехи химии. 2007. Т. 76. С. 66.
- Bernardo P., Drioli E., Golemme G. // Ind. Eng. Chem. Res. 2009. V. 48. P. 4638.
- Galizia M., De Angelis M.G., Finkelshtein E., Yampolskii Y.P., Sarti G.C. // Journal of membrane science. 2011. V. 385. P. 141.
- Merkel T.C., Bondar V., Nagai K., Freeman B.D. // Journal of Polymer Science Part B: Polymer Physics. 2000. V. 38. P. 273.
- Ricci J., Bennin T., Ediger M. D. // Macromolecules. 2018. V. 51. P. 7785.
- Yampolskii Y. // Polymer Reviews. 2017. V. 57. P. 200.
- Liu L., Chakma A., Feng X. // Chemical engineering science. 2006. V. 61. P. 6142.
- Liu L., Chakma A., Feng X. // Journal of membrane science. 2006. V. 279. P. 645.
- Xu R., Wang B., Cai Y. // Scientific Reports. 2022. V. 12. P. 1025.
- Kimmerle K., Bell C.M., Gudernatsch W., Chmiel H. // Journal of Membrane Science. 1988. V. 36. P. 477.
- Lin D., Ding Z., Liu L., Ma R. // Chemical Engineering Research and Design. 2012. V. 90. P. 2023.
- Zhmakin V.V., Teplyakov V.V. // Separation and Purification Technology. 2017. V. 186. P. 145.
- Khan F.I., Ghoshal A.K. // Journal of loss prevention in the process industries. 2000. V. 13. P. 527.
- Gales L., Mendes A., Costa C. // Journal of Membrane Science. 2002. V. 197. P. 211.
- Lue S.J., Chen W.W., Wang, S.F. // Separation Science and Technology. 2009. V. 44. P. 3412.
- Yang W., Zhou H., Zong C., Li Y., Jin W. // Separation and Purification Technology. 2018. V. 200. P. 273.
- Raharjo R.D., Freeman B.D., Paul D.R., Sarti G.C., Sanders E.S. // Journal of Membrane Science. 2007. V. 306. P. 75.
- Stern S.A., Shah V.M., Hardy B.J. //Journal of polymer science part B: Polymer physics. 1987. V. 25. P. 1263.
- Berean K., Ou J.Z., Nour M., Latham K., McSweeney C., Paull D., Halim A., Kentish S., Doherty C. M., Hill A. J., Kalantar-zadeh K. N. // Sep. Purif. Technol. 2014. V. 122. P. 96.
- Zhan X., Li J., Huang J., Chen C. // Appl. Microbiol. Biotechnol. 2010. V. 160. P. 632.
- Gu J., Bai Y., Zhang L., Deng L., Zhang C., Sun Y., Chen H. // Int. J. Polym. Sci. 2013. V. 2013. P. 529474.
- Rao H. X., Liu F. N., Zhang Z. Y. // J. Membr. Sci. 2007. V. 303. № 1–2. P. 132.
- Borisov I.L., Grushevenko E.A., Volkov A.V. // Membranes and Membrane Technologies, 2020. V. 2. P. 318.
- Lue S.J., Tsai C.L., Lee D.-T., Mahesh K.P.O., Hua M.Y., Hu C.-C., Jean Y.C., Lee K.-R., Lai J.Y. // Journal of Membrane Science. 2010. V. 349. P. 321.
- Zhao X., Chen Y., Ding Q., Xiao T., Yang X. // Ind. Eng. Chem. Res. 2023. V.62. P. 13974.
- Shen B., Zhao S., Yang X., Carta M., Zhou H., Jin W. // Sep. Purif. Technol. 2022. V.280. P. 119974.
- Şahin F., Topuz B., Kalıpçılar H. // J. Membr. Sci. 2020. V. 598. P. 117792.
- Borisov I.L., Grushevenko E.A., Anokhina T.S., Bakhtin D.S., Levin I.S., Bondarenko G.N., Volkov V.V., Volkov A.V. // Materials Today Chemistry. 2021. V. 22. P. 100598
- Грушевенко Е.А., Борисов И.Л., Бахтин Д.С., Легков С.А., Бондаренко Г.Н., Волков А.В. // Мембраны и мембранные технологии. 2017. Т. 7. С. 117
- Grushevenko E., Rokhmanka T., Sokolov S., Basko A., Borisov I., Pochivalov K., Volkov A. // Polymers. 2023. V. 15. P. 4436.
- Petrusová Z., Machanová K., Stanovský P., Izák P. // Separation and Purification Technology. 2019. V. 217. P. 95.
- Baker R.W. // Ind. Eng. Chem. Res. 2002. V. 41. P.1393.
- AKomaladewi A.A I.A.S., Aryanti P.T.P., Subagia I.D., Wenten I.G. // Journal of Physics: Conf. Series. 2019. V. 1217. P. 012046.
- Li Y.-E., Paganessi J.E., Vassallo D., Fleming G.K. US Patent № 6312502, 2001.
- Rebollar-Perez G., Carretier E., Lesage N., Moulin P. // Membranes. 2011. V. 1. P. 80.
Supplementary files






