Oil Deasphalting Using PAN Membranes with Small Pore Size
- Authors: Yushkin A.A.1, Balynin A.V.1, Nebesskaya A.P.1, Efimov M.N.1, Muratov D.G.1, Karpacheva G.P.1
-
Affiliations:
- Topchiev Institute of Petrochemical Synthesis, RAS (TIPS RAS)
- Issue: Vol 13, No 6 (2023)
- Pages: 521-534
- Section: Articles
- URL: https://bakhtiniada.ru/2218-1172/article/view/231916
- DOI: https://doi.org/10.31857/S2218117223060093
- EDN: https://elibrary.ru/GKYDLV
- ID: 231916
Cite item
Full Text
Abstract
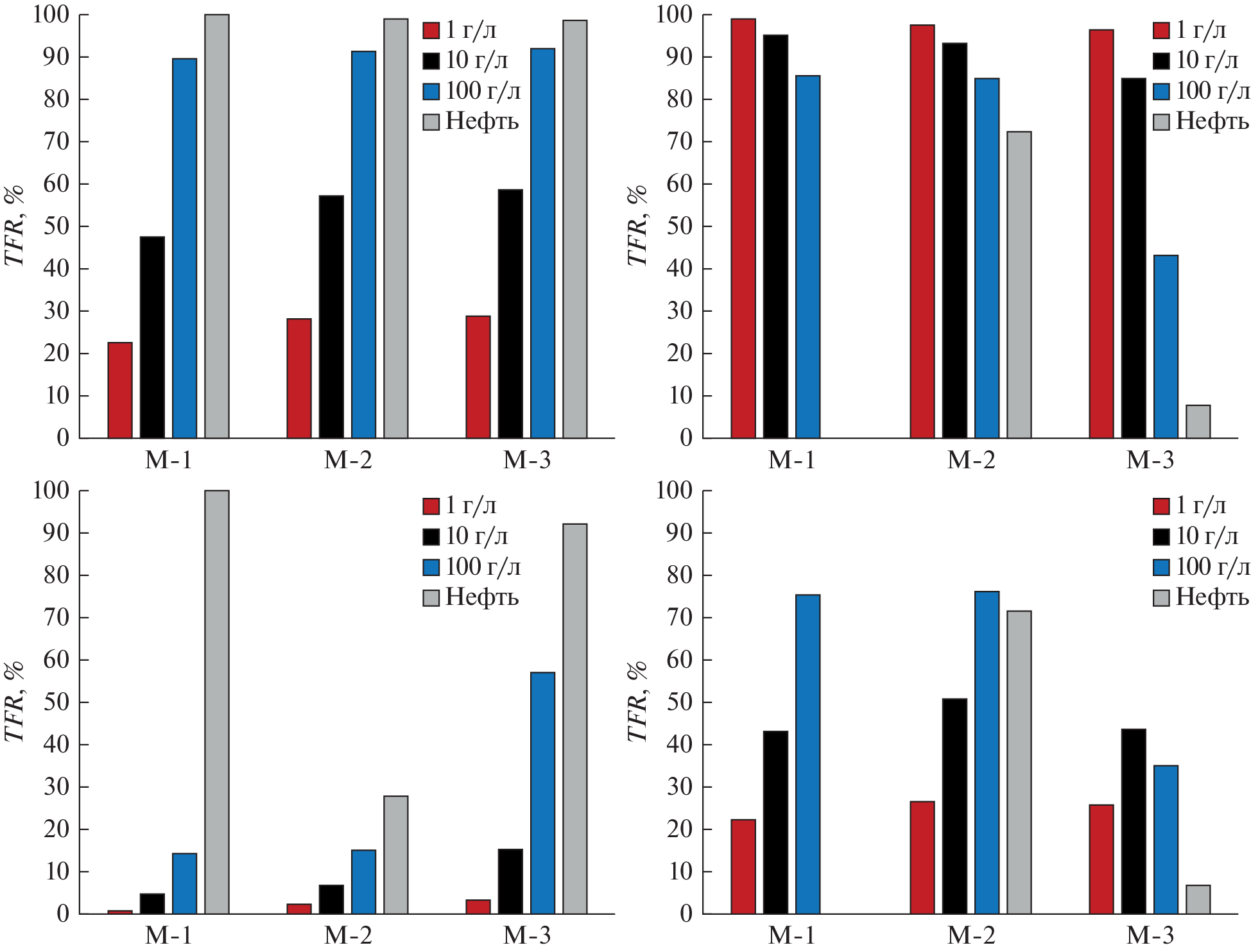
With the development of oil fields, the proportion of the highest molecular weight component, asphaltenes, increases in the composition of the extracted raw materials. The tendency of asphaltenes to aggregate causes a number of problems, which makes the problem of oil deasphalting relevant. In this work, studies were carried out on the separation of the asphaltene fraction from oil using PAN membranes. In order to reduce the pore size of membranes obtained by the phase inversion method, an additional component, acetone, was introduced into the spinning solution. The permeability of the resulting membranes for water is 37.6 ± 1.7 L/(m2 h atm), and for toluene, 25.3 ± 1.8 L/(m2 h atm), and the pore size is 4.6±0.5 nm. When filtering oil solutions diluted with toluene (1 g/L), the retention capacity of membranes for asphaltenes was 73 ± 4% and more than 95% if the oil content in the solution was more than 10 g/L. A study was made of the parameters of membrane clogging during the filtration of oil solutions in toluene. It is noted that when passing from toluene to oil solutions, the permeability of membranes decreases by 10 times. At the same time, the decrease in permeability is reversible, and when the oil solution was replaced with a pure solvent, the membrane restored up to 99% of its permeability.
Keywords
About the authors
A. A. Yushkin
Topchiev Institute of Petrochemical Synthesis, RAS (TIPS RAS)
Author for correspondence.
Email: Halex@ips.ac.ru
Russia, Moscow
A. V. Balynin
Topchiev Institute of Petrochemical Synthesis, RAS (TIPS RAS)
Email: Halex@ips.ac.ru
Russia, Moscow
A. P. Nebesskaya
Topchiev Institute of Petrochemical Synthesis, RAS (TIPS RAS)
Email: Halex@ips.ac.ru
Russia, Moscow
M. N. Efimov
Topchiev Institute of Petrochemical Synthesis, RAS (TIPS RAS)
Email: Halex@ips.ac.ru
Russia, Moscow
D. G. Muratov
Topchiev Institute of Petrochemical Synthesis, RAS (TIPS RAS)
Email: Halex@ips.ac.ru
Russia, Moscow
G. P. Karpacheva
Topchiev Institute of Petrochemical Synthesis, RAS (TIPS RAS)
Email: Halex@ips.ac.ru
Russia, Moscow
References
- Ганеева Ю.М., Юсупова Т.Н., Романов Г.В. // Успехи химии. 2011. Т. 80. № 10. С. 1034.
- Rogel E., Roye M., Vien J., Miao T. // Energy & Fuels. 2015. V. 29. № 4. P. 2143.
- Zuo P., Qu S., Shen W. // J. Energy Chemistry. 2019. V. 34. P. 186.
- Dechaine G.P., Gray M.R. // Energy & Fuels. 2010. V. 24. № 5. P. 2795.
- Farooq U., Patil A., Panjwani B., Simonsen G. // Energy & Fuels. 2021. V. 35. № 23. P. 19191.
- Alimohammadi S., Zendehboudi S., James L.A. // Fuel. 2019. V. 252. P. 753.
- Magomedov R.N., Pripakhaylo A.V., Maryutina T.A., Shamsullin A.I., Ainullov T.S. // Russian J. Applied Chemistry. 2019. V. 92. P. 1634.
- Хайрудинов И.Р., Ахметов М.М., Теляшев Э.Г. // Российский химический журн. 2006. Т. 50. № 1. С. 25.
- Mullins O.C., Seifert D.J., Zuo J.Y., Zeybek M. // Energy Fuels. 2012. V. 27. P. 1752.
- Maqbool T., Srikiratiwong P., Fogler H.S. // Energy & fuels. 2011. V. 25. № 2. P. 694.
- Jarrell T.M., Jin C., Riedeman J.S., Owen B.C., Tan X., Scherer A., Tykwinski R.R., Gray M.R., Slater P., Kenttämaa H.I. // Fuel. 2014. V. 133. P. 106.
- Tanaka R., Hunt J.E., Winans R.E., Thiyagarajan P., Sato S., Takanohashi T. // Energy & fuels. 2003. V. 17. № 1. P. 127.
- Rueda-Velasquez R.I., Freund H., Qian K., Olmstead W.N., Gray M.R. // Energy & fuels. 2013. V. 27. № 4. P. 1817.
- Han L., Zhang R., Bi J., Cheng L. // J. Analytical and Applied Pyrolysis. 2011. V. 91. № 2. P. 281.
- Султанов Ф.М., Хайрутдинов И.Р. // Мир нефтепродуктов. 2006. № 2. С. 15.
- Karambeigi M.A., Kharrat R. // Petroleum science and technology. 2014. V. 32. P. 1213.
- Behbahani T.J., Miranbeigi A.A., Sharifi K. // Heфтexимия. 2017. T. 57. № 5. C. 551.
- Marczewski A.W., Szymula M. // Colloids and Surfaces A: Physicochemical and Engineering Aspects. 2002. V. 208. P. 259.
- Abdallah W.A., Taylor S.D. // Nuclear Instruments and Methods in Physics Research Section B. 2007. V. 258. P. 213.
- Franco C., Patiño E., Benjumea P., Ruiz M.A., Cortés F.B. // Fuel. 2013. V. 105. P. 408.
- Ramirez-Corredores M.M. The science and technology of unconventional oils: finding refining opportunities. Academic press, 2017. P. 41.
- Duong A., Chattopadhyaya G., Kwok W., Smith K. // Fuel. 1997. V. 76. № 9. P. 821.
- Ashtari M., Ashrafizadeh S.N., Bayat M. // J. Petroleum Science and Engineering. 2012. V. 82. P. 44.
- Ashtari M., Bayat M., Sattarin M. // Energy Fuels. 2011. V. 25. № 1. P. 300.
- Chisca S. Musteata V.E., Zhang W., Vasylevskyi S., Falca G., Abou-Hamad E., Emwas A.-H., Altunkaya M., Nunes S.P. // Science. 2022. V. 376. № 6597. P. 1105.
- Barbier J., Marques J., Caumette G., Merdrignac I., Bouyssiere B., Lobinski R., Lienemann C.P. // Fuel Processing Technology. 2014. V. 119. P. 185.
- Marques J., Merdrignac I., Baudot A., Barré L., Guillaume D., Espinat D., Brunet S. // Oil & Gas Science and Technology-Revue de l’IFP. 2008. V. 63. № 1. P. 139.
- Ching M.J.T.M., Pomerantz A.E., Andrews A.B., Dryden P., Schroeder R., Mullins O.C., Harrison C. // Energy & Fuels. 2010. V. 24. № 9. P. 5028.
- Юшкин А.А., Балынин А.В., Нехаев А.И., Волков А.В. // Мембраны и мембранные технологии. 2021. Т. 11. № 2. С. 155.
- Yushkin A., Basko A., Balynin A., Efimov M., Lebedeva T., Ilyasova A., Pochivalov K., Volkov A. // Polymers. 2022. V. 14. P. 4603.
- Юшкин А.А., Балынин А.В., Ефимов М.Н., Муратов Д.Г., Карпачева Г.П., Волков А.В. // Мембраны и мембранные технологии. 2022. Т. 12. № 4. С. 286.
- Юшкин А.А., Балынин А.В., Небесская А.П., Ефимов М.Н., Бахтин Д.С., Баскаков С.А., Канатьева А.Ю. // Мембраны и мембранные технологии. 2023. Т. 13. № 4. С. 331.
Supplementary files











