Properties of Polysulphones Synthetized for Forming of Porous Hollow-Fiber Membranes
- Authors: Borisov I.L.1, Matveev D.N.1, Anokhina T.S.1, Shakhmurzova K.T.2, Zhansitov A.A.2, Slonov A.L.2, Kurdanova Z.I.2, Khashirova S.Y.1,2, Volkov V.V.1
-
Affiliations:
- Topchiev Institute of Petrochemical Synthesis, RAS
- Kabardino-Balkarian State University named after H.M. Berbekov
- Issue: Vol 13, No 3 (2023)
- Pages: 248-256
- Section: Articles
- URL: https://bakhtiniada.ru/2218-1172/article/view/138012
- DOI: https://doi.org/10.31857/S2218117223030021
- EDN: https://elibrary.ru/DTXGUD
- ID: 138012
Cite item
Full Text
Abstract
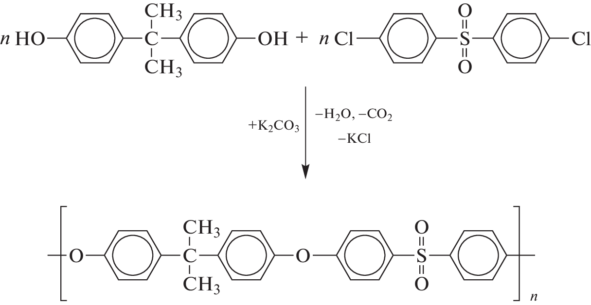
For the first time, for the problem of hollow fiber membranes spinning, polysulfones in a wide range of molecular weights (42 000–184 000 g/mol) were synthesized in such aprotic dipolar solvents as dimethylacetamide, N-methyl-2-pyrollidone, and dimethyl sulfoxide. The dependence of the thermal and mechanical properties of polysulfones on molecular weight characteristics has been studied. A comparison of the mechanical properties of the synthesized PSF, commercial PSF Ultrason S 6010 (BASF, Germany) and PSF-150 (JSC Institute of Plastics, Russia) showed that the synthesized polymers are not inferior to commercial analogues. Some synthesized polymers surpass commercial PSF in terms of elasticity and strength modulus. Based on the study of the spinning solutions dynamic viscosity, promising PSF samples were selected for the formation of porous hollow fiber supports. It was found that hollow-fiber porous support from a PSF sample with a molecular weight of 110 000 g/mol have a high nitrogen permeability of 47.5 m3/m2 · h · bar. Such supports are promising for casting highly permeable composite membranes with a thin selective layer.
About the authors
I. L. Borisov
Topchiev Institute of Petrochemical Synthesis, RAS
Author for correspondence.
Email: boril@ips.ac.ru
Russia, 119991, Moscow, Leninsky prospect, 29
D. N. Matveev
Topchiev Institute of Petrochemical Synthesis, RAS
Email: boril@ips.ac.ru
Russia, 119991, Moscow, Leninsky prospect, 29
T. S. Anokhina
Topchiev Institute of Petrochemical Synthesis, RAS
Email: boril@ips.ac.ru
Russia, 119991, Moscow, Leninsky prospect, 29
K. T. Shakhmurzova
Kabardino-Balkarian State University named after H.M. Berbekov
Email: boril@ips.ac.ru
Russia, 360004, Nalchik, Chernyshevsky st., 173
A. A. Zhansitov
Kabardino-Balkarian State University named after H.M. Berbekov
Email: boril@ips.ac.ru
Russia, 360004, Nalchik, Chernyshevsky st., 173
A. L. Slonov
Kabardino-Balkarian State University named after H.M. Berbekov
Email: boril@ips.ac.ru
Russia, 360004, Nalchik, Chernyshevsky st., 173
Zh. I. Kurdanova
Kabardino-Balkarian State University named after H.M. Berbekov
Email: boril@ips.ac.ru
Russia, 360004, Nalchik, Chernyshevsky st., 173
S. Yu. Khashirova
Topchiev Institute of Petrochemical Synthesis, RAS; Kabardino-Balkarian State University named after H.M. Berbekov
Email: boril@ips.ac.ru
Russia, 119991, Moscow, Leninsky prospect, 29; Russia, 360004, Nalchik, Chernyshevsky st., 173
V. V. Volkov
Topchiev Institute of Petrochemical Synthesis, RAS
Email: boril@ips.ac.ru
Russia, 119991, Moscow, Leninsky prospect, 29
References
- Zularisam A.W., Ismail A.F., Salim M.R., Sakinah M., Hiroaki O. // J. Membrane Science. 2007. V. 299. № 1–2. P. 97–113.
- Makdissy G., Croué J.P., Amy G., Buisson H. // Water Science and Technology: Water Supply. 2004. V. 4. № 4. P. 205–212.
- Kang Y., Obaid M., Jang J., Ham M.H., Kim I.S. // Chemosphere. 2018. V. 207. P. 581–589.
- Koga Y., Fujieda H., Meguro H., Ueno Y., Aoki T., Miwa K., Kainoh M. // Artificial organs. 2018. V. 42. № 9. P. E246–E258.
- Plisko T.V., Bildyukevich A.V., Zhao L., Huang W., Volkov V.V., Huang Z. // Fibers. 2021. V. 9. P. 28.
- Sengur-Tasdemir R., Urper-Bayram G.M., Turken T., Ates-Genceli E., Tarabara V.V., Koyuncu I. // J. Water Process Engineering. 2021. V. 42. P. 102100.
- Lim Y.-G., Bak C., Kim Y.-D. // Chemical Engineering J. 2022. V. 433. P. 134616.
- Mansur S., Othman M.H.D., Abidin M.N.Z., Ismail A.F., Abdul Kadir S.H.S., Goh P.S., Hasbullah H., Ng B.C., Abdullah M.S., Mustafar R. // J. Environmental Chemical Engineering. 2021. V. 9. № 5. P. 106141.
- Peechmani P., Othman M.H.D., Kamaludin R., Puteh M.H., Jaafar J., Rahman M.A., Ismail A.F., Abdul Kadir S.H.S., Illias R.M., Gallagher J., Djuli S.M. // J. Environmental Chemical Engineering. 2021. V. 9. № 5. P. 105873.
- Borisov I., Vasilevsky V., Matveev D., Ovcharova A., Volkov A., Volkov V. // Fibers 2019. V. 7. № 12. P. 110. 11.
- Borisov I., Ovcharova A., Bakhtin D., Bazhenov S., Volkov A., Ibragimov R., Gallyamov R., Bondarenko G., Mozhchil R., Bildyukevich A., Volkov V. // Fibers. 2017. V. 5. № 1. P. 6.
- Матвеев Д.Н., Кутузов К.А., Василевский В.П. // Мембраны и мембранные технологии. 2020. Т. 10. № 6. С. 373–379. (англоязычная версия: Matveev D.N., Kutuzov K.A., Vasilevsky V.P. // Membranes and Membrane Technologies. 2020. V. 2. № 6. P. 351–356.)
- Бильдюкевич А.В., Усоский В.В. // Мембраны и мембранные технологии. 2014. Т. 4. № 4. С. 247. (англоязычная версия: Bildyukevich A.V., Usosky V.V. // Petroleum Chemistry. 2014. V. 54. № 8. P. 652–658.)
- Курданова Ж.И. // Дис. к-та хим. Наук: 02.00.06. 2017. 126. c.
- Коршак В.В., Виноградова С.В. // М.: Наука. 1972. 445. с.
- Шапошникова В.В. // Дис. д-ра хим. наук: 02.00.06. 2013. 376 с.
- Калугина Е.В. // Дис. д-ра хим. наук: 02.00.06. 2003. 342 с.
- Xie Q., Zhang S., Hong Z., Ma H., Liu C., Shao W. // Industrial & Engineering Chemistry Research. 2018. V. 57. № 48. P. 16464–16475.
- Thuyavan, Y., Anantharaman N., Arthanareeswaran G., Ismail A.F. // J. Chemical Technology & Biotechnology. 2016. V. 91. № 10. P. 2568–2581.
- Бильдюкевич А.В., Плиско Т.В., Усоский В.В. // Мембраны и Мембранные Технологии. 2016. Т. 6. № 2. С.113–137. (англоязычная версия: Bildyuke-vich A.V., Plisko T.V., Usosky V.V. Petroleum Chemistry. 2016. V. 56. № 5. P. 379–400.)
- Matveev D., Borisov I., Vasilevsky V., Karpacheva G., Volkov V. // Membranes. 2022. V. 12. № 12. P. 1257.
- Grushevenko E.A., Borisov I.L., Bakhtin D.S., Bondarenko G.N., Levin I.S., Volkov A.V. // Reactive and Functional Polymers. 2019. V. 134. P. 156–165.
- Grushevenko E.A., Borisov I.L., Knyazeva A.A., Volkov V.V., Volkov A.V. // Separation and Purification Technology. 2020. V. 241. P. 116696.
Supplementary files







