Электрохимическое поведение модифицированных полианилином катионообменных гетерогенных мембран в растворах, содержащих одно- и двухвалентные катионы
- Авторы: Бровкина М.А.1, Кутенко Н.А.1, Лоза Н.В.1
-
Учреждения:
- Кубанский государственный университет
- Выпуск: Том 13, № 3 (2023)
- Страницы: 205-220
- Раздел: Статьи
- URL: https://bakhtiniada.ru/2218-1172/article/view/138006
- DOI: https://doi.org/10.31857/S2218117223030033
- EDN: https://elibrary.ru/DUAWRY
- ID: 138006
Цитировать
Полный текст
Аннотация
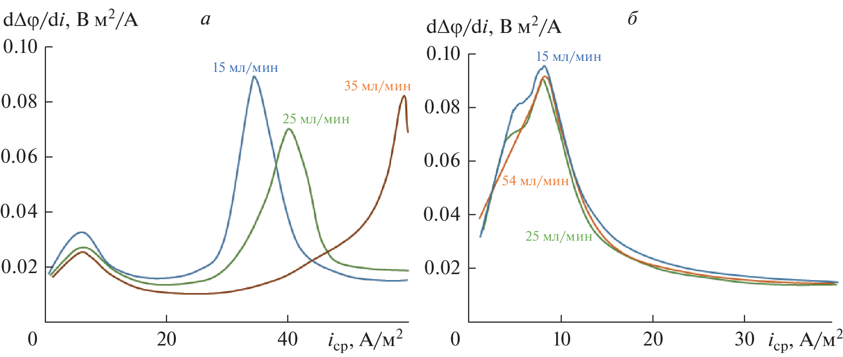
В работе получена серия композитных ионообменных мембран на основе гетерогенной катионообменной мембраны МК-40 и полианилина в условиях электродиффузии мономера и окислителя. Процесс синтеза полианилина на поверхности мембраны сопровождался регистрацией хронопотенциограмм и pH раствора, выходящего из камеры обессоливания. Методами вольтамперометрии и хронопотенциометрии исследованы исходная катионобменная мембрана МК-40 и полученные композиты на ее основе в растворах NaCl, CaCl2 и MgCl2 в той же проточной электродиализной ячейке, в которой были получены образцы. Для расчета чисел переноса противоионов в мембране в растворах CaCl2 и MgCl2 хронопотенциометрическим методом была рассчитана кажущаяся доля проводящей поверхности в растворе NaCl на основе экспериментальных данных по потенциометрическим числам переноса противоионов в мембране. Выявлены условия синтеза полианилина на поверхности гетерогенной мембраны МК-40, приводящие к получению образцов с селективностью к однозарядным ионам.
Об авторах
М. А. Бровкина
Кубанский государственный университет
Автор, ответственный за переписку.
Email: andreeva_marina_90@bk.ru
Россия, 350040, Краснодар, ул. Ставропольская, 149
Н. А. Кутенко
Кубанский государственный университет
Email: andreeva_marina_90@bk.ru
Россия, 350040, Краснодар, ул. Ставропольская, 149
Н. В. Лоза
Кубанский государственный университет
Email: andreeva_marina_90@bk.ru
Россия, 350040, Краснодар, ул. Ставропольская, 149
Список литературы
- Yaqub M., Nguyen M.N., Lee W. // Sci. Total Environ. 2022. V. 844. P. 157 081.
- Mir N., Bicer Y. // J. Environ. Manage. 2021. V. 289. P. 112 496.
- Stillwell A.S., Webber M.E. // Water. 2016. V. 8. P. 601.
- Al-Amshawee S., Yunus M.Y.B.M., Azoddein A.A.M., Hassell D.G., Dakhil I.H., Hasan H.A. // Chem. Eng. J. 2020. V. 380. P. 122231.
- Ezugbe E.O., Rathilal S. // Membranes. 2020. V. 10. P. 89.
- Oren Y., Korngold E., Daltrophe N., Messalem R., Volkman Y., Aronov L., Weismann M., Bouriakov N., Glueckstern P., Gilrona J. // Desalination. 2010. V. 261. P. 321.
- Zhang Y., Ghyselbrecht K., Vanherpe R., Meesschaert B., Pinoy L., Van der Bruggen B. // J. Environ. Manage. 2012. V. 107. P. 28.
- Subramani A., Jacangelo J.G. // Sep. Pur. Tech. 2014. V. 122. P. 472.
- Jiang C., Wang Y., Zhang Z., Xu T. // J. Membr. Sci. 2014. V. 450. P. 323.
- Ge L., Wu B., Yu D., Mondal A.N., Hou L., Afsar N.U., Li Q., Xu T., Miao J., Xu T. // Chin. J. Chem. Eng. 2017. V. 25. P. 1606.
- Sata T. // J. Polym. Sci. Polym. Chem. Ed. 1978. V. 16. P. 1063.
- Ying J., Lin Y., Zhang Y., Jin Y., Matsuyama H., Yu J. // Chem. Eng. J. 2022. V. 446. P. 137076.
- Pan J., Zhao L., Yu X., Dong J., Liu L., Zhao X., Liu L. // Chin. Chem. Lett. 2022. V. 33. P. 2757.
- Pang X., Tao Y., Xu Y., Pan J., Shen J., Gao C. // J. Membr. Sci. 2020. V. 595. P. 117544.
- Vaselbehagh M., Karkhanechi H., Takagi R., Matsuyama H. // J. Membr. Sci. 2015. V. 490. P. 301.
- Pang X., Yu X., He Y., Dong S., Zhao X., Pan J., Runnan, Zh., Liu L. // Sep. Pur. Tech. 2021. V. 270. P. 118768.
- Compana V., Riande E., Fernandez-Carretero F.J., Berezina N.P., Sytcheva A.A.-R. // J. Membr. Sci. 2008. V. 318. P. 255.
- Kumar M., Khan M.A., Othman Z.A.A., Siddiqui M.R. // Desalination. 2013. V. 325. P. 95.
- Farrokhzad H., Darvishmanesh S., Genduso G., Van Gerven T., Van der Bruggen B. // Electrochim. Acta. 2015. V. 158. P. 64.
- Luo T., Abdu S., Wessling M. // J. Membr. Sci. 2018. V. 555. P. 429.
- Stránská E. // Desalin. Water Treat. 2015. V. 56. P. 3220.
- Кононенко Н.А., Демина О.А., Лоза Н.В., Долгополов С.В., Тимофеев С.В. // Электрохимия. 2021. Т. 57. № 5. С. 283–300. [англоязычная версия: Kononenko N.A., Demina O.A., Loza N.V., Dolgopolov S.V., Timofeev S.V. // Rus. J. Electrochem. 2021. V. 57. P. 505.]
- Barros K.S., Martí-Calatayud M.C., Scarazzato T., Bernardes A.M., Espinosa D.C.R., Pérez-Herranz V. // Adv. Colloid. Interfac. 2021. V. 293. P. 102439.
- Choi J.-H., Moon S.-H. // J. Membr. Sci. 2001. V. 191. P. 255.
- Mareev S.A., Nichka V.S., Butylskii D.Y., Urtenov M.K., Pismenskaya N.D., Apel P.Y., Nikonenko V.V. // J. Phys. Chem. C. 2016. V. 120. P. 13113.
- Заболоцкий В.И., Березина Н.П., Никоненко В.В., Шапошник В.А., Цхай А.А. // Информационно-аналитический журн. “Мембраны”. 1999. № 4. С. 6.
- Andreeva M., Loza N., Kutenko N., Kononenko N. // J. Solid State Electrochem. 2020. V. 24. P. 101.
- Loza N.V., Falina I.V., Kononenko N.A., Kudashova D.S. // Synth. Metals. 2020. V. 261. P. 116292.
- Robinson R.A., Stocks R.H. Electrolyte Solutions. N.Y.: Dover Publ., 2002. 608 p.
- Martí-Calatayud M.C., García-Gabaldón M., Pérez-Herranz V. // J. Membr. Sci. 2013. V. 443. P. 181.
- Berezina N.P., Kubaisy A.A., Timofeev S.V., Karpenko L. // J. Solid State Electrochem. 2007. V. 11. P. 378.
- Rubinstein I., Zaltzman B. // Phys. Rev. Lett. 2015. V. 114. P. 114502.
- Rubinstein I., Zaltzman B. // Phys. Rev. Fluids 2. 2017. P. 093702.
- Никоненко В.В., Мареев С.А., Письменская Н.Д., Узденова А.М., Коваленко А.В., Уртенов М.Х., Пурсели Ж. // Электрохимия. 2017. Т. 53. С. 1266. [англоязычная версия: Nikonenko V.V., Mareev S.A., Pis’menskaya N.D., Kovalenko A.V., Urtenov M.K., Uzdenova A.M., Pourcelly G. // Rus. J. Electrochem. 2017. V. 53. P. 1122].
- Zyryanova S., Mareev S., Gil V., Korzhova E., Pismenskaya N., Sarapulova V., Rybalkina O., Boyko E., Larchet Ch., D. Lasaad, Nikonenko V. // Int. J. Mol. Sci. 2020. V. 21. P. 973.
- Andreeva M.A., Gil V.V., Pismenskay N.D., Nikonenko V.V., Dammak L., Larchet C., Grande D., Kononenko N.A. // J. Membr. Sci. 2017. V. 540. P. 183.
- Campione A., Gurreri L., Ciofalo M., Micale G., Tamburini A., Cipollina A. // Desalination. 2018. V. 434. P. 121.
- Письменская Н.Д., Никоненко В.В., Белова Е.И., Лопаткова Г.Ю., Систа Ф., Пурсели Ж., Ларше К. // Электрохимия. 2007. Т. 43. С. 325. [англоязычная версия: Pismenskaya N.D., Nikonenko V.V., Belova E.I., Lopatkova G.Yu., Sistat Ph., Pourcelly G., Larshe K. // Rus. J. Electrochem. 2007. V. 43. P. 307.]
- Pang X., Tao Y., Xu Y., Pan J., Shen J., Gao C. // J. Membr. Sci. 2020. V. 595. P. 117544.
- Zabolotskii V.I., Shel’deshov N.V., Gnusin N.P. // Russ. Chem. Rev. 1988. V. 57. P. 801.
- Kharkats Yu.I. // Elektrokhimiya. 1985. V. 21. P. 974.
- Sillen L.G., Martell A.E. Stability Constants of Metal-ion Complexes. L.: Chem. Society, 1964.
- Демина О.А., Фалина И.В., Кононенко Н.А., Заболоцкий В.И. // Коллоидный журн. 2020. Т. 82. С. 148. [англоязычная версия: Demina O.A., Falina I.V., Kononenko N.A., Zabolotskiy V.I. // Colloid J. 2020. V. 82. P. 108.]
Дополнительные файлы














