Features of the Process of Galvanic Deposition of Metals into the Ion Track Membranes’ Pores
- Authors: Zagorskiy D.L.1, Doludenko I.M.1, Khairetdinova D.R.1,2
-
Affiliations:
- Federal Scientific Research Center “Crystallography and Photonics” of Russian Academy of Sciences
- National University of Science and Technology “MISIS”
- Issue: Vol 13, No 2 (2023)
- Pages: 137-149
- Section: Articles
- URL: https://bakhtiniada.ru/2218-1172/article/view/138002
- DOI: https://doi.org/10.31857/S2218117223020074
- EDN: https://elibrary.ru/HZWKSY
- ID: 138002
Cite item
Full Text
Abstract
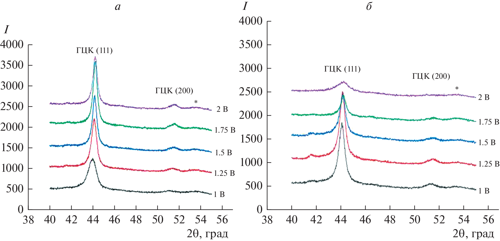
The paper considers some aspects of obtaining metal nanowires by matrix synthesis based on track membranes. In the first part of the paper, the main ideas of the method are considered and a review of the literature on the synthesis of nanowires of various types of single component (from one metal) and multicomponent—from two or more metals is given. In the second part of the review, variants of obtaining homogeneous structures of so-called alloyed nanowires and heterogeneous structures of so-called layered nanowires are considered. Several specific features of the electrodeposition method during the process in a limited volume of membrane pores are considered. In the second part of the work, the experimental results obtained by the authors in the study of electrodeposition of nanowires made of an iron–nickel alloy are considered. The so-called abnormal electrodeposition of iron was detected. The dependence of the integral element composition of the obtained nanowires on the pore diameter and on the growth voltage is discussed. Data on the nature of the distribution of elements along the length of nanowires are obtained. The unevenness of the composition is determined by the conditions of production (in particular, the different diffusion mobility of ions in narrow pore channels) and also depends on the voltage and diameter of the pore channels. Based on the X-ray diffraction data, the type of lattice (hcc) is determined and the nature of the change in the lattice parameter is shown, presumably associated with the difference in the ionic radii of metals.
About the authors
D. L. Zagorskiy
Federal Scientific Research Center “Crystallography and Photonics” of Russian Academy of Sciences
Email: doludenko.i@yandex.ru
Russia, 119333, Moscow
I. M. Doludenko
Federal Scientific Research Center “Crystallography and Photonics” of Russian Academy of Sciences
Author for correspondence.
Email: doludenko.i@yandex.ru
Russia, 119333, Moscow
D. R. Khairetdinova
Federal Scientific Research Center “Crystallography and Photonics” of Russian Academy of Sciences; National University of Science and Technology “MISIS”
Email: doludenko.i@yandex.ru
Russia, 119333, Moscow; Russia, 119049, Moscow
References
- Дюррани С.А., Балл Р.К. Твердотельные ядерные детекторы: Пер. с англ. М.: Энергоатомиздат, 1990. 264 с.
- Флеров Г.Н. // Вестник АН СССР. 1984. № 4. С. 35.
- Брок Т. Мембранная фильтрация: Пер. с англ. М.: Мир, 1987. 464 с.
- Апель П.Ю., Дмитриев С.Н. Мембраны. 2004. № 3(23). С. 32.
- Possin G.E. // Rev. Sci. Instrum. 1970. V. 41. № 5. P. 772.
- Kawai S., Ueda R.J. // Electrochem. Soc. 1975. V. 112. № 1. P. 32.
- Chakavarti S.K., Vetter J. // Nucl. Instrum. Methods. Phys. Res. B. 1991. V. 62. № 1. P. 109.
- Vetter J., Spohr R. // Nucl. Instrum. Methods. Phys. Res. B. 1993. V. 79. № 1–4. P. 691.
- Martin S. // Science. 1994. V. 268. № 5193. P. 1961.
- Masuda H., Fukuda K. // Science. 1995. V. 268. № 5216. P. 1466.
- Елисеев А., Лукашин А. Функциональные наноматериалы. М.: Физматлит, 2010. 456 с.
- Анищик В.М. Наноматериалы и нанотехнологии. Минск: Изд-во БГУ, 2008. 375 с.
- Toimil-Molares M.E. Beilstein J. Nanotechnology. 2012. V. 3. P. 860.
- Иванов А.А., Орлов В.А. // Физика твердого тела. 2011. Т. 83. № 12. С. 2318.
- Lupu N. Electrodeposited Nanowires and Their Applications. Intech, 2010. 236 p.
- Akapiev G.N., Dmitriev S.N., Erler B., Shirkova V.V., Shultz A., Pietsch H. // Nucl. Instrum. Methods. Phys. Res. B. 2003. V. 208. P. 133.
- Schulz A., Akapiev G.N., Shirkova V.V., Rosler H., Dmitriev S.N. // Nucl. Instrum. Methods. Phys. Res. B. 2005. V. 236. № 1–4. P. 254.
- Панов Д.В., Бычков В.Ю., Тюленин Ю.П., Загорский Д.Л., Каневский В.М., Волчков И.С. // Поверхность. Рентгеновские, синхротронные и нейтронные исследования. 2021. № 12. С. 12.
- Maurer F., Dangwal A., Lysenkov D., Muller G., Toimil–Molares M.E., Trautmann C., Brotz J., Fuess H. // Nucl. Instrum. Methods. Phys. Res. B. 2006. V. 245. № 1. P. 337.
- Dangwal A., Pandey C.S., Muller G., Karim S., Cornelius T.W., Trautmann C. // Appl. Phys. Lett. 2008. V. 92. № 6. P. 063115
- Zagorskiy D.L., Bedin S.A., Oleinikov V.A., Polyakov N.B., Rybalko O.G., Mchedlishvili B.V. // Radiation Meas. 2009. V. 44. № 9–10. P. 1123.
- Oleinikov V.A., Zagorski D.L., Bedin S.A., Volosnikov A.A., Emelyanov P.A., Kozmin Y.P., Mchedlishvili B.V. // Radiation Meas. 2008. V. 43. P. S365.
- Kozhina E.P., Bedin S.A., Nechaeva N.L., Podoynitsyn S.N., tarakanov V.P., Andreev S.N., Grigoriev Y.V., Naumov A.V. // Appl. Sci. 2021. V. 11. № 4. P. 1375.
- Вонсовский С.В. Магнетизм. М.: Наука, 1971. 786 с.
- Piraux L. Appl. Sci. 2020. V. 10. № 1832. P. 1.
- Коротков В.В., Кудрявцев В.Н., Загорский Д.Л., Бедин С.А. // Гальванотехника и обработка поверхности. 2011. Т. 19. № 4. С. 23.
- Коротков В.В., Кудрявцев В.Н., Кругликов С.С., Загорский Д.Л., Сульянов С.Н., Бедин С.А. // Гальванотехника и обработка поверхности. 2015. Т. 23. № 1. С. 24.
- Кругликов С.С., Загорский Д.Л., Колесников В.А., Долуденко И.М., Бедин С.А. // Теоретические основы химической технологии. 2021. Т. 55. № 4. С. 1.
- Vazquez M. Magnetic Nano- and Microwires: Design, Synthesis, Properties and Applications. Elsevier: Woodhead Publishing, 2015. 815 p.
- Давыдов А.А., Волгин В.М. // Электрохимия. 2016. Т. 52. № 9б. С. 905.
- Mansouri N., Benbrahim-Cherief N., Chainet E., Charlot F., Encinas T., Boudinar S., Benfedda B., Hamadou L., Kadri A. // J. Magn. Magn. Mater. 2020. V. 493. № 1. P. 165 746.
- Загорский Д.Л., Долуденко И.М., Каневский В.М., Гилимьянова А.Р., Менушенков В.П., Савченко Е.С. // Известия РАН. Серия физическая. 2021. Т. 85. № 8. С. 1090.
- Fert A., Piraux L. // J. Magn. Magn. Mater. 1999. V. 200. № 1–3. P. 338.
- Mourachkine A., Yazyev O.V., Ducati C., Ansermet J.-Ph. // NANO Letters. 2008. V. 8. № 11. P. 3683.
- Lee C., Oh Y., Yoon I.S., Kim S.H., Ju B.K., Hong J.M. // Nature—Scientific Reports. 2018. V. 8. P. 2763.
- Ripka P., Grim V., Mirzaei M., Hrakova D., Uhrig J., Emmerich F., Thielemann Ch., Hejtmanek J., Kaman O., Tesar R. // Sensors. 2021. V. 21. № 3. P. 1.
- Cui Y., Wei Q., Park H., Lieber C.M. // Science. 2001. V. 293. № 5533. P. 1289.
- Гуляев Ю.В., Чигарев С.Г., Панас А.И., Вилков Е.А., Максимов Н.А., Загорский Д.Л., Шаталов А.С. // Письма в Журн. Технической физики. 2019. Т. 45. № 6. С. 27.
- Жигалина О.М., Хмеленин Д.Н., Иванов И.М., Долуденко И.М., Загорский Д.Л. Кристаллография. 2021. Т. 66. № 6. С. 959.
- Zagorskiy D., Doludenko I., Zhigalina O., Khmelenin D., Kanevskiy V. // Membranes. 2022. V. 12(2) P. 195.
- Долуденко И.М. // Перспективные материалы. 2021. № 8. С. 74.
Supplementary files







