Electrochemical Properties and Specific Selectivity of Ion-Exchange Membranes in Borate-Nitrate Electrolyte Solutions
- Authors: Zabolotsky V.I.1, Romanyuk N.A.1, Loza S.A.1
-
Affiliations:
- Kuban State University
- Issue: Vol 13, No 1 (2023)
- Pages: 3-14
- Section: Articles
- URL: https://bakhtiniada.ru/2218-1172/article/view/137985
- DOI: https://doi.org/10.31857/S221811722301008X
- EDN: https://elibrary.ru/HJHAPQ
- ID: 137985
Cite item
Full Text
Abstract
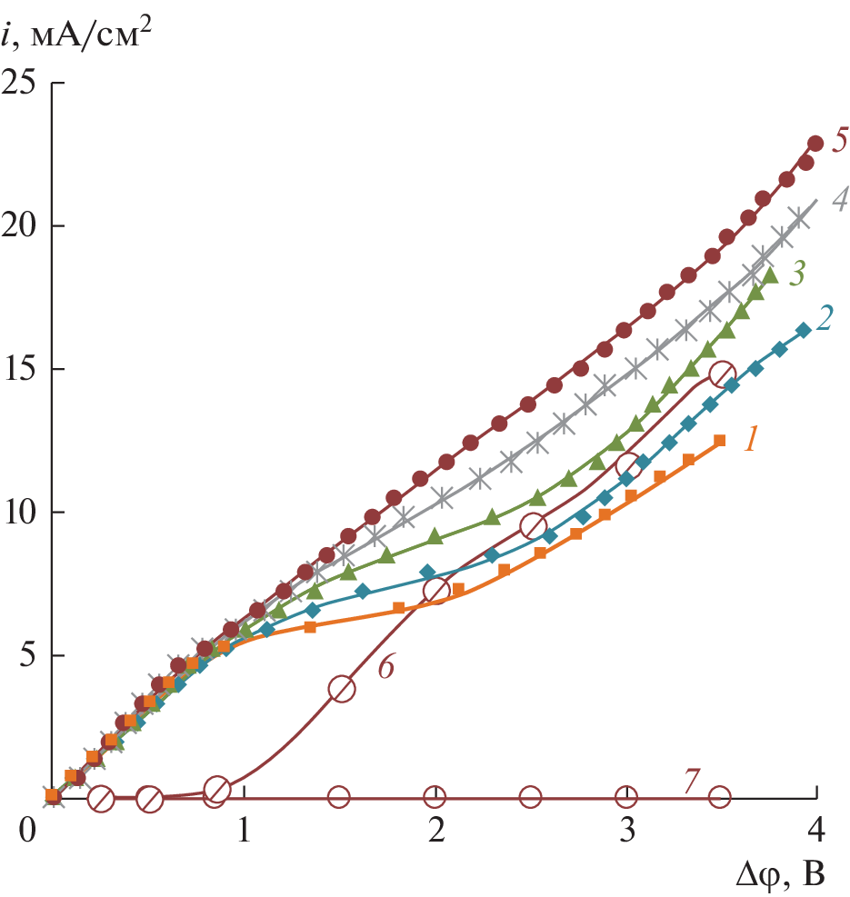
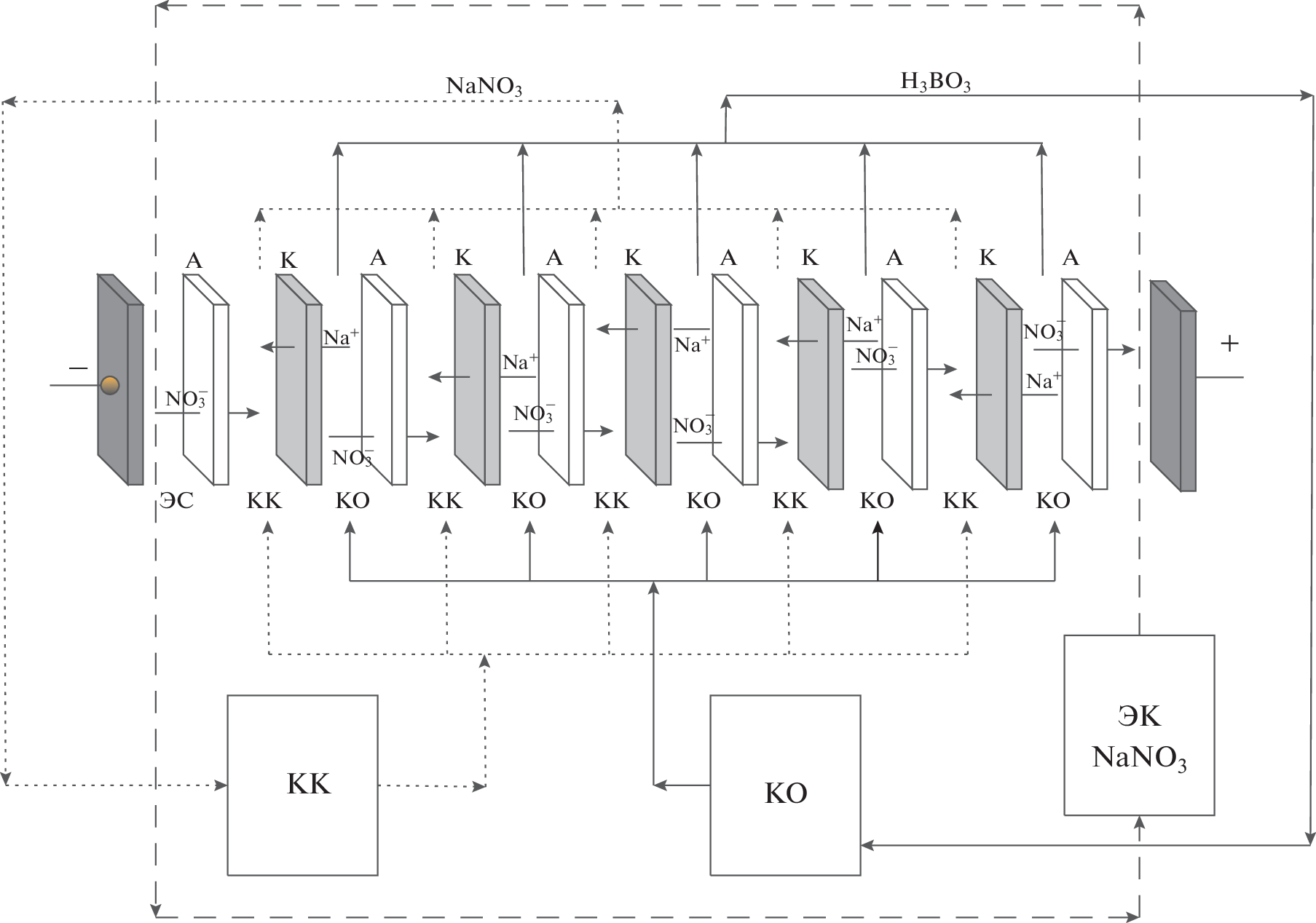
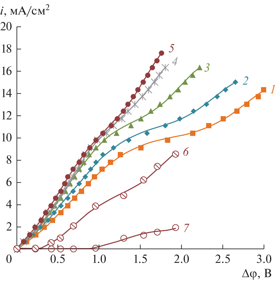
Electrochemical characteristics of heterogeneous cation- and anion-exchange Ralex membranes and the mechanism of transfer of ions of salt, boric acid and its anions through membranes at different pH values were investigated by the method of rotating membrane disk (RMD). It is shown that boric acid is transported mainly through an anion exchange membrane. At pH 9.5, the limiting stage of anion transfer through the anion exchange membrane is the reaction of tetrahydroxyborate \({\text{B}}\left( {{\text{OH}}} \right)_{4}^{ - }\) anion formation. The study of the electrodialysis separation of a solution of sodium nitrate and boric acid showed that the electrodialysis method makes it possible to effectively separate the components of the mixture, while the value of the specific selectivity coefficient \({{P}_{{{{\text{B}} \mathord{\left/
{\vphantom {{\text{B}} {{\text{NaN}}{{{\text{O}}}_{{\text{3}}}}}}} \right.} {{\text{NaN}}{{{\text{O}}}_{{\text{3}}}}}}}}}\) = (0.02–0.06), depending on the voltage on the electrodialyzer.
Keywords
About the authors
V. I. Zabolotsky
Kuban State University
Author for correspondence.
Email: vizab@chem.kubsu.ru
Russia, Krasnodar
N. A. Romanyuk
Kuban State University
Author for correspondence.
Email: romanyuknazar@mail.ru
Russia, Krasnodar
S. A. Loza
Kuban State University
Email: romanyuknazar@mail.ru
Russia, Krasnodar
References
- Intharapat P., Nakason C., Kongnoo A. // Polymer Degradation and Stability. 2016. V. 128. P. 217.
- Ullah S., Ahmad F., Shariff A.M. et al. // Progress in Organic Coatings. 2017. V. 109. P. 70.
- Soltani M., Shetab-Boushehri S.F., Mohammadi H. et al. // J. Medical Hypotheses and Ideas. 2013. V. 7. P. 21.
- Hsu C.F., Lin S.Y., Peir J.J. et al. // Applied Radiation and Isotopes. 2011. V. 69. P. 1782.
- Hernandez-Patlan D., Solis-Cruz B., Adhikari B. et al. // Research in Veterinary Sci. 2019. V. 123. P. 7.
- Lopalco A., Lopedota A.A., Laquintana V. et al. // J. Pharm. Sci. 2020. V. 109. P. 2375.
- Wu Z., Liu Y., Deng C. et al. // J. Energy Storage. 2020. V. 27. № 101076.
- Badawy W.A., El-Egamy S.S. // J. Power Sources. 1995. V. 55 P. 11.
- Campari E.G., Bianchi M., Tomesani L. // Energy Procedia. 2017. V. 126. P. 541.
- Myerscough P.B. Eds., Nuclear physics and basic technology, Nuclear Power Generation, Elsevier, 1992. 110 p.
- Vaghetto R., Childs M., Kee E. et al. // Progress in Nuclear Energy. 2016. V. 91. P. 302.
- Chen X., Chen T., Li J. et al. // J. Memb. Sci. 2019. V. 579. P. 294.
- Дмитриев С.А., Лифанов Ф.А., Савкин А.Е., Лащенов С.М. // Атомная энергия. 2000. Т. 89. С. 365. (англоязычная версия: Dmitriev S.A., Lifanov F.A., Savkin A.E., Laschenov S.M. Rus. J. Atomic Energy. V. 9. P.365.).
- Wolska J., Bryjak M. // Desalination. 2013. V. 310. P. 18–24.
- Hussain A., Sharma R., Minier-Matar J. et al. // J. Wat. Proc. Engin. 2019. V. 32. № 100906.
- Arias M.F.Ch., Bru L.V., Rico D.P., Galvañ P.V. // Desalination. 2011. V. 278. P. 244.
- Kalaitzidou K., Tzika A.M., Simeonidis K., Mitrakas M. // Materials Today: Proceedings. 2018. V. 5. P. 27599.
- Ryosuke A., Yoshihiro F., Shintaro K. et al. Пат. Republic of Korea. № KR20140031195A, заявл. 16.02.2013; опубл. 12.03.2014.
- Guihua D. Пат. China. № CN101003375A, заявл. 19. 01.2007; опубл. 25.07.2005.
- Valdez S., Orce A., Flores H., Mattenella L. // In. J.Mineral Processing. 2014. V. 133. P. 23.
- Bártová Ŝ., Kůs P., Skala M., Vonková K. // Nuclear Engineering and Design. 2016. V. 300. P. 107.
- Bornemissza E., Kis E., Kubo S. et al. Пат. German Democratic Republic. № DD 259274A1, заявл. 13.05.1985; опубл. 17.08.1988.
- Иваненко В.И., Седнева Т.А., Локшин Э.П., Корнейков Р.И. Пат. РФ № 2652978, заявл. 12.04.2017; опубл. 04.05.2018.
- Emeléus H.J., Sharpe A.G. Eds., In Advances in Inorganic Chemistry and Radiochemistry. N.Y.: Academic Press, 1982. 372 p.
- Edwards J.O., Morrison G.C., Ross V.F., Schultz J.W. // J. American Chemical Society. 1955. V. 77. P. 266.
- Zhou Y., Fang C., Fang Y., Zhu F. // Spectrochimica Acta – Part A: Molecular and Biomolecular Spectroscopy. 2011. V. 83. P. 82–87.
- Melnyk L., Goncharuk V., Butnyk I. et al. // Desalination. 2005. V. 185. P. 147.
- Białek R., Mitko K., Dydo P., Turek, M. // Desalination. 2014. V. 342. P. 29.
- Dydo P., Turek M. // Desalination. 2014. V. 342. P. 35.
- Mel’nik L.A., Butnik I.A., Goncharuk V.V. // J. Water Chem. Technol. 2008. V. 30. P. 167.
- Dydo P. // J. Memb. Sci. 2012. V. 407–408. P. 202.
- Dydo P. // Desalination. 2013. V. 310. P. 43.
- Goli E., Hiemstra T., Van Riemsdijk W.H. et al. // Anal. Chem. 2010. V. 82. P. 8438.
- Melnik L., Vysotskaja O., Kornilovich B. // Desalination. 1999. V. 124. P. 125.
- Kabay N., Arar O., Acar F. et al. // Desalination. 2008. V. 223. P. 63.
- Yazicigil Z., Oztekin Y. // Desalination. 2006. V. 190. P. 71.
- Ayyildiz H.F., Kara H. // Desalination. 2005. V. 180. P. 99.
- Turek M., Bandura B., Dydo P. // Desalination. 2008. V. 223. P. 119.
- Product data sheet Ralex® Membrane СMH PES: https://www.mega.cz/files/datasheet/MEGA-RALEX-CMH-PES-en.pdf. Дата обращения: 07.09.2022.
- Product data sheet Ralex® Membrane AMH PES: https://www.mega.cz/files/datasheet/MEGA-RALEX-AMH-PES-en.pdf. Дата обращения: 07.09.2022.
- Заболоцкий В.И., Шарафан М.В., Шельдешов Н.В., Ловцов Е.Г. // Электрохимия. 2008. Т. 44. С. 155. (англоязычная версия: Zabolotskii V.I., Sharafan M.V., Shel’deshov N.V., Lovtsov E.G. // Russ. J. Electrochem. 2008. V. 44. P. 141.)
- Шарафан М.В., Заболоцкий В.И., Бугаков В.В. // Электрохимия. 2009. Т. 45. С. 1252. (англоязычная версия: Sharafan M.V., Zabolotskii V.I., Bugakov V.V. // Russ. J. Electrochem. 2009. V. 45. P. 1162.)
- Левич В.Г. Физико-химическая гидродинамика. М.: Физматгиз, 1959. 700 с. (англоязычная версия: Levich V.G., Physico- chemical hydrodynamics. Moscow: Fizmatgiz, 1959. 700 p.)
- ГОСТ 14021.1-78. Ферробор. Методы определения бора.
- Ковалев Н.В., Карпенко Т.В., Шельдешов Н.В., Заболоцкий В.И. // Электрохимия. 2021. Т. 57. С. 96. (англоязычная версия: Kovalev N.V., Karpenko T.V., Sheldeshov N.V., Zabolotsky V.I. // Russ. J Electrochem. 2021. V. 57. P. 122.)
- Simons R. // Electrochim. Acta. 1984. V. 29. P. 151.
- Загородных Л.А., Бобрешова О.В., Кулинцов П.И., Аристов И.В. // Электрохимия. 2006. Т. 42. С. 68. (англоязычная версия: Zagorodnykh L.A., Bobreshova O.V., Kulintsov P.I., Aristov I.V. // Russ. J. Electrochem. 2006. V. 42. P. 59.)
- Загородных Л.А., Бобрешова О.В., Кулинцов П.И., Аристов И.В. // Электрохимия. 2005. Т. 41. С. 310. (англоязычная версия: Zagorodnykh L.A., Bobreshova O.V., Kulintsov P.I., Aristov I.V. // Russ. J. Electrochem. 2005. V. 41. P. 275.)
Supplementary files














