Study of bifurcation diagrams of Selkov’s fractional dynamic system to describe self-oscillatory modes of microseisms

Cover Page

Cite item

Full Text

Abstract

The article studies the dynamic modes of the fractional Selkov system with variable heredity (memory). The effect of variable heredity means that heredity changes over time, i.e. the dependence of the current state of the system on the previous ones also depends on time. Variable heredity in the fractional Selkov system is described from the mathematical point of view using derivatives of fractional variables of the Gerasimov-Caputo type. The fractional dynamic Selkov system is studied using the Adams-Bashforth-Multon numerical method from the predictor-corrector family. Using the numerical algorithm, various bifurcation diagrams are constructed — dependences of the obtained numerical solution on various values of the parameters of the model equations. The Adams-Bashforth-Multon numerical algorithm and the construction of bifurcation diagrams were implemented in Python in the PyCharm 2024.1 environment. The study of bifurcation diagrams showed the presence of not only regular regimes: limit cycles and damped oscillations and chaotic oscillations, but also revealed a singularity — unlimited growth of the solution when changing the values of the orders of fractional derivatives in the model equation. Biffurcation diagrams may contain curve sections with and without spikes. Spikes may indicate relaxation oscillations or chaotic modes, the absence of spikes corresponds to damped oscillations or aperiodic modes.

Full Text

Введение

Динамические системы играют важную роль в различных областях знаний и зачастую бывает так, что одна и также динамическая система может описывать похожие процессы, но разной природы. Это свойство динамической системы иногда называют универсальностью. Не исключением является и динамическая система Селькова. Она часто встречается в биологии при исследовании гликолитических реакций, которые имеют автоколебательные режимы [1].

Далее в статье [2] было предложено использовать динамическую систему Селькова для описания автоколебательных режимов микросейсм MathType@MTEF@5@5@+= feaahGart1ev3aqatCvAUfeBSjuyZL2yd9gzLbvyNv2CaerbuLwBLn hiov2DGi1BTfMBaeXatLxBI9gBaerbd9wDYLwzYbItLDharqqtubsr 4rNCHbGeaGqiVu0Je9sqqrpepC0xbbL8F4rqqrFfpeea0xe9Lq=Jc9 vqaqpepm0xbba9pwe9Q8fs0=yqaqpepae9pg0FirpepeKkFr0xfr=x fr=xb9adbaqaaeGaciGaaiaabeqaamaabaabaaGcbaqefmuySLMyYL gaiuaajugGbabaaaaaaaaapeGaa8hfGaaa@3A95@  колебаний земной поверхности малой амплитуды, источником которых являются природные и техногенные процессы.

В работе [3] было проведено обобщение динамической системы на случай учета наследственности. Это свойство динамической системы сохранять память о своей эволюции, т.е. текущее состояние системы зависит от предыдущих ее состояний. С точки зрения математики наследственность можно описать в общем случае с помощью интегро-дифференциальных уравнений вольтеровского типа [4], а при определенных условиях с помощью производных дробных постоянных или переменных порядков, которые изучаются в рамках теории дробного исчисления [5, 6]. Поэтому мы далее динамическую систему Селькова с учетом наследственности будем называть дробной динамической системой Селькова.

Был проведен количественный и качественный анализ динамической системы Селькова с учетом наследственности, основные результаты которого были отражены не только в статье [3], но и в других работах автора [7, 9, 16].

В настоящей работе предлагается дальнейшее исследование дробной динамической системы Селькова, которое связано с построением бифуркационных диаграмм на основе полученного решения в зависимости от различных значений параметров системы.

Постановка задачи и методика ее решения

Рассмотрим следующую задачу:

0tα1txt=v1txt+w1tyt+h1tx2tyt,x0=x0,0tα2tyt=v2tw2tyth2tx2tyt,y0=y0. (1)

где x t ,y t C 1 0,T MathType@MTEF@5@5@+= feaahGart1ev3aaatCvAUfeBSjuyZL2yd9gzLbvyNv2CaerbuLwBLn hiov2DGi1BTfMBaeXatLxBI9gBaerbd9wDYLwzYbItLDharqqtubsr 4rNCHbGeaGGj0Jf9crFfpeea0xh9v8qiW7rqqrFfpeea0xe9Lq=Jc9 vqaqpepm0xbba9pwe9Q8fs0=yqaqpepae9pg0FirpepeKkFr0xfr=x fr=xb9adbaqaaeGaciGaaiaabeqaamaabaabaaGcbaGaamiEamaabm aabaGaamiDaaGaayjkaiaawMcaaiaaiYcacaWG5bWaaeWaaeaacaWG 0baacaGLOaGaayzkaaGaeyicI4Saam4qamaaCaaaleqabaGaaGymaa aakmaadmaabaGaaGimaiaaiYcacaWGubaacaGLBbGaayzxaaaaaa@4735@   MathType@MTEF@5@5@+= feaahGart1ev3aqatCvAUfeBSjuyZL2yd9gzLbvyNv2CaerbuLwBLn hiov2DGi1BTfMBaeXatLxBI9gBaerbd9wDYLwzYbItLDharqqtubsr 4rNCHbGeaGqiVu0Je9sqqrpepC0xbbL8F4rqqrFfpeea0xe9Lq=Jc9 vqaqpepm0xbba9pwe9Q8fs0=yqaqpepae9pg0FirpepeKkFr0xfr=x fr=xb9adbaqaaeGaciGaaiaabeqaamaabaabaaGcbaqefmuySLMyYL gaiuaajugGbabaaaaaaaaapeGaa8hfGaaa@3A95@  функции решения, v 1 t = θ 1 α 1 t MathType@MTEF@5@5@+= feaahGart1ev3aaatCvAUfeBSjuyZL2yd9gzLbvyNv2CaerbuLwBLn hiov2DGi1BTfMBaeXatLxBI9gBaerbd9wDYLwzYbItLDharqqtubsr 4rNCHbGeaGGj0Jf9crFfpeea0xh9v8qiW7rqqrFfpeea0xe9Lq=Jc9 vqaqpepm0xbba9pwe9Q8fs0=yqaqpepae9pg0FirpepeKkFr0xfr=x fr=xb9adbaqaaeGaciGaaiaabeqaamaabaabaaGcbaGaamODamaaBa aaleaacaaIXaaabeaakmaabmaabaGaamiDaaGaayjkaiaawMcaaiaa i2dacqaH4oqCdaahaaWcbeqaaiaaigdacqGHsislcqaHXoqydaWgaa qaaiaaigdaaeqaamaabmaabaGaamiDaaGaayjkaiaawMcaaaaaaaa@45C4@ , v 2 t = v 0 θ 1 α 2 t MathType@MTEF@5@5@+= feaahGart1ev3aaatCvAUfeBSjuyZL2yd9gzLbvyNv2CaerbuLwBLn hiov2DGi1BTfMBaeXatLxBI9gBaerbd9wDYLwzYbItLDharqqtubsr 4rNCHbGeaGGj0Jf9crFfpeea0xh9v8qiW7rqqrFfpeea0xe9Lq=Jc9 vqaqpepm0xbba9pwe9Q8fs0=yqaqpepae9pg0FirpepeKkFr0xfr=x fr=xb9adbaqaaeGaciGaaiaabeqaamaabaabaaGcbaGaamODamaaBa aaleaacaaIYaaabeaakmaabmaabaGaamiDaaGaayjkaiaawMcaaiaa i2dacaWG2bWaaSbaaSqaaiaaicdaaeqaaOGaeqiUde3aaWbaaSqabe aacaaIXaGaeyOeI0IaeqySde2aaSbaaeaacaaIYaaabeaadaqadaqa aiaadshaaiaawIcacaGLPaaaaaaaaa@47B1@ , w 1 t = w 0 θ 1 α 1 t , w 2 t = w 0 θ 1 α 2 t , h 1 t = h 0 θ 1 α 1 t , h 2 t = h 0 θ 1 α 2 t MathType@MTEF@5@5@+= feaahGart1ev3aaatCvAUfeBSjuyZL2yd9gzLbvyNv2CaerbuLwBLn hiov2DGi1BTfMBaeXatLxBI9gBaerbd9wDYLwzYbItLDharqqtubsr 4rNCHbGeaGGj0Jf9crFfpeea0xh9v8qiW7rqqrFfpeea0xe9Lq=Jc9 vqaqpepm0xbba9pwe9Q8fs0=yqaqpepae9pg0FirpepeKkFr0xfr=x fr=xb9adbaqaaeGaciGaaiaabeqaamaabaabaaGcbaGaam4DamaaBa aaleaacaaIXaaabeaakmaabmaabaGaamiDaaGaayjkaiaawMcaaiaa i2dacaWG3bWaaSbaaSqaaiaaicdaaeqaaOGaeqiUde3aaWbaaSqabe aacaaIXaGaeyOeI0IaeqySde2aaSbaaeaacaaIXaaabeaadaqadaqa aiaadshaaiaawIcacaGLPaaaaaGccaaISaGaam4DamaaBaaaleaaca aIYaaabeaakmaabmaabaGaamiDaaGaayjkaiaawMcaaiaai2dacaWG 3bWaaSbaaSqaaiaaicdaaeqaaOGaeqiUde3aaWbaaSqabeaacaaIXa GaeyOeI0IaeqySde2aaSbaaeaacaaIYaaabeaadaqadaqaaiaadsha aiaawIcacaGLPaaaaaGccaaISaGaamiAamaaBaaaleaacaaIXaaabe aakmaabmaabaGaamiDaaGaayjkaiaawMcaaiaai2dacaWGObWaaSba aSqaaiaaicdaaeqaaOGaeqiUde3aaWbaaSqabeaacaaIXaGaeyOeI0 IaeqySde2aaSbaaeaacaaIXaaabeaadaqadaqaaiaadshaaiaawIca caGLPaaaaaGccaaISaGaamiAamaaBaaaleaacaaIYaaabeaakmaabm aabaGaamiDaaGaayjkaiaawMcaaiaai2dacaWGObWaaSbaaSqaaiaa icdaaeqaaOGaeqiUde3aaWbaaSqabeaacaaIXaGaeyOeI0IaeqySde 2aaSbaaeaacaaIYaaabeaadaqadaqaaiaadshaaiaawIcacaGLPaaa aaaaaa@78B7@   MathType@MTEF@5@5@+= feaahGart1ev3aqatCvAUfeBSjuyZL2yd9gzLbvyNv2CaerbuLwBLn hiov2DGi1BTfMBaeXatLxBI9gBaerbd9wDYLwzYbItLDharqqtubsr 4rNCHbGeaGqiVu0Je9sqqrpepC0xbbL8F4rqqrFfpeea0xe9Lq=Jc9 vqaqpepm0xbba9pwe9Q8fs0=yqaqpepae9pg0FirpepeKkFr0xfr=x fr=xb9adbaqaaeGaciGaaiaabeqaamaabaabaaGcbaqefmuySLMyYL gaiuaajugGbabaaaaaaaaapeGaa8hfGaaa@3A95@  функции из класса C 0,T MathType@MTEF@5@5@+= feaahGart1ev3aaatCvAUfeBSjuyZL2yd9gzLbvyNv2CaerbuLwBLn hiov2DGi1BTfMBaeXatLxBI9gBaerbd9wDYLwzYbItLDharqqtubsr 4rNCHbGeaGGj0Jf9crFfpeea0xh9v8qiW7rqqrFfpeea0xe9Lq=Jc9 vqaqpepm0xbba9pwe9Q8fs0=yqaqpepae9pg0FirpepeKkFr0xfr=x fr=xb9adbaqaaeGaciGaaiaabeqaamaabaabaaGcbaGaam4qamaadm aabaGaaGimaiaaiYcacaWGubaacaGLBbGaayzxaaaaaa@3D0A@ , θ MathType@MTEF@5@5@+= feaahGart1ev3aaatCvAUfeBSjuyZL2yd9gzLbvyNv2CaerbuLwBLn hiov2DGi1BTfMBaeXatLxBI9gBaerbd9wDYLwzYbItLDharqqtubsr 4rNCHbGeaGGj0Jf9crFfpeea0xh9v8qiW7rqqrFfpeea0xe9Lq=Jc9 vqaqpepm0xbba9pwe9Q8fs0=yqaqpepae9pg0FirpepeKkFr0xfr=x fr=xb9adbaqaaeGaciGaaiaabeqaamaabaabaaGcbaGaeqiUdehaaa@39BD@   MathType@MTEF@5@5@+= feaahGart1ev3aqatCvAUfeBSjuyZL2yd9gzLbvyNv2CaerbuLwBLn hiov2DGi1BTfMBaeXatLxBI9gBaerbd9wDYLwzYbItLDharqqtubsr 4rNCHbGeaGqiVu0Je9sqqrpepC0xbbL8F4rqqrFfpeea0xe9Lq=Jc9 vqaqpepm0xbba9pwe9Q8fs0=yqaqpepae9pg0FirpepeKkFr0xfr=x fr=xb9adbaqaaeGaciGaaiaabeqaamaabaabaaGcbaqefmuySLMyYL gaiuaajugGbabaaaaaaaaapeGaa8hfGaaa@3A95@  параметр имеющий размерность времени, v 0 , w 0 , h 0 MathType@MTEF@5@5@+= feaahGart1ev3aaatCvAUfeBSjuyZL2yd9gzLbvyNv2CaerbuLwBLn hiov2DGi1BTfMBaeXatLxBI9gBaerbd9wDYLwzYbItLDharqqtubsr 4rNCHbGeaGGj0Jf9crFfpeea0xh9v8qiW7rqqrFfpeea0xe9Lq=Jc9 vqaqpepm0xbba9pwe9Q8fs0=yqaqpepae9pg0FirpepeKkFr0xfr=x fr=xb9adbaqaaeGaciGaaiaabeqaamaabaabaaGcbaGaamODamaaBa aaleaacaaIWaaabeaakiaaiYcacaWG3bWaaSbaaSqaaiaaicdaaeqa aOGaaGilaiaadIgadaWgaaWcbaGaaGimaaqabaaaaa@3F1D@   MathType@MTEF@5@5@+= feaahGart1ev3aqatCvAUfeBSjuyZL2yd9gzLbvyNv2CaerbuLwBLn hiov2DGi1BTfMBaeXatLxBI9gBaerbd9wDYLwzYbItLDharqqtubsr 4rNCHbGeaGqiVu0Je9sqqrpepC0xbbL8F4rqqrFfpeea0xe9Lq=Jc9 vqaqpepm0xbba9pwe9Q8fs0=yqaqpepae9pg0FirpepeKkFr0xfr=x fr=xb9adbaqaaeGaciGaaiaabeqaamaabaabaaGcbaqefmuySLMyYL gaiuaajugGbabaaaaaaaaapeGaa8hfGaaa@3A95@  заданные константы, t 0,T MathType@MTEF@5@5@+= feaahGart1ev3aaatCvAUfeBSjuyZL2yd9gzLbvyNv2CaerbuLwBLn hiov2DGi1BTfMBaeXatLxBI9gBaerbd9wDYLwzYbItLDharqqtubsr 4rNCHbGeaGGj0Jf9crFfpeea0xh9v8qiW7rqqrFfpeea0xe9Lq=Jc9 vqaqpepm0xbba9pwe9Q8fs0=yqaqpepae9pg0FirpepeKkFr0xfr=x fr=xb9adbaqaaeGaciGaaiaabeqaamaabaabaaGcbaGaamiDaiabgI GiopaadmaabaGaaGimaiaaiYcacaWGubaacaGLBbGaayzxaaaaaa@3EBF@   MathType@MTEF@5@5@+= feaahGart1ev3aqatCvAUfeBSjuyZL2yd9gzLbvyNv2CaerbuLwBLn hiov2DGi1BTfMBaeXatLxBI9gBaerbd9wDYLwzYbItLDharqqtubsr 4rNCHbGeaGqiVu0Je9sqqrpepC0xbbL8F4rqqrFfpeea0xe9Lq=Jc9 vqaqpepm0xbba9pwe9Q8fs0=yqaqpepae9pg0FirpepeKkFr0xfr=x fr=xb9adbaqaaeGaciGaaiaabeqaamaabaabaaGcbaqefmuySLMyYL gaiuaajugGbabaaaaaaaaapeGaa8hfGaaa@3A95@  текущее время процесса, T>0 MathType@MTEF@5@5@+= feaahGart1ev3aaatCvAUfeBSjuyZL2yd9gzLbvyNv2CaerbuLwBLn hiov2DGi1BTfMBaeXatLxBI9gBaerbd9wDYLwzYbItLDharqqtubsr 4rNCHbGeaGGj0Jf9crFfpeea0xh9v8qiW7rqqrFfpeea0xe9Lq=Jc9 vqaqpepm0xbba9pwe9Q8fs0=yqaqpepae9pg0FirpepeKkFr0xfr=x fr=xb9adbaqaaeGaciGaaiaabeqaamaabaabaaGcbaGaamivaiaai6 dacaaIWaaaaa@3A62@   MathType@MTEF@5@5@+= feaahGart1ev3aqatCvAUfeBSjuyZL2yd9gzLbvyNv2CaerbuLwBLn hiov2DGi1BTfMBaeXatLxBI9gBaerbd9wDYLwzYbItLDharqqtubsr 4rNCHbGeaGqiVu0Je9sqqrpepC0xbbL8F4rqqrFfpeea0xe9Lq=Jc9 vqaqpepm0xbba9pwe9Q8fs0=yqaqpepae9pg0FirpepeKkFr0xfr=x fr=xb9adbaqaaeGaciGaaiaabeqaamaabaabaaGcbaqefmuySLMyYL gaiuaajugGbabaaaaaaaaapeGaa8hfGaaa@3A95@  время моделирования; x 0 , y 0 MathType@MTEF@5@5@+= feaahGart1ev3aaatCvAUfeBSjuyZL2yd9gzLbvyNv2CaerbuLwBLn hiov2DGi1BTfMBaeXatLxBI9gBaerbd9wDYLwzYbItLDharqqtubsr 4rNCHbGeaGGj0Jf9crFfpeea0xh9v8qiW7rqqrFfpeea0xe9Lq=Jc9 vqaqpepm0xbba9pwe9Q8fs0=yqaqpepae9pg0FirpepeKkFr0xfr=x fr=xb9adbaqaaeGaciGaaiaabeqaamaabaabaaGcbaGaamiEamaaBa aaleaacaaIWaaabeaakiaaiYcacaWG5bWaaSbaaSqaaiaaicdaaeqa aaaa@3C8E@   MathType@MTEF@5@5@+= feaahGart1ev3aqatCvAUfeBSjuyZL2yd9gzLbvyNv2CaerbuLwBLn hiov2DGi1BTfMBaeXatLxBI9gBaerbd9wDYLwzYbItLDharqqtubsr 4rNCHbGeaGqiVu0Je9sqqrpepC0xbbL8F4rqqrFfpeea0xe9Lq=Jc9 vqaqpepm0xbba9pwe9Q8fs0=yqaqpepae9pg0FirpepeKkFr0xfr=x fr=xb9adbaqaaeGaciGaaiaabeqaamaabaabaaGcbaqefmuySLMyYL gaiuaajugGbabaaaaaaaaapeGaa8hfGaaa@3A95@  положительные константы, отвечающие за начальные условия; операторы дробных производных имееют вид:

0t α 1 t x(t)= 1 Γ(1 α 1 t ) 0 t x ˙ (τ)dτ (tτ) α 1 t , 0t α 2 t y(t)= 1 Γ(1 α 2 t ) 0 t y ˙ (τ)dτ (tτ) α 2 t , MathType@MTEF@5@5@+= feaahGart1ev3aaatCvAUfeBSjuyZL2yd9gzLbvyNv2CaerbuLwBLn hiov2DGi1BTfMBaeXatLxBI9gBaerbd9wDYLwzYbItLDharqqtubsr 4rNCHbGeaGGj0Jf9crFfpeea0xh9v8qiW7rqqrFfpeea0xe9Lq=Jc9 vqaqpepm0xbba9pwe9Q8fs0=yqaqpepae9pg0FirpepeKkFr0xfr=x fr=xb9adbaqaaeGaciGaaiaabeqaamaabaabaaGcbaGaeyOaIy7aa0 baaSqaaiaaicdacaWG0baabaGaeqySde2aaSbaaeaacaaIXaaabeaa daqadaqaaiaadshaaiaawIcacaGLPaaaaaGccaWG4bGaaGikaiaads hacaaIPaGaaGypamaalaaabaGaaGymaaqaaiabfo5ahjaaiIcacaaI XaGaeyOeI0IaeqySde2aaSbaaSqaaiaaigdaaeqaaOWaaeWaaeaaca WG0baacaGLOaGaayzkaaGaaGykaaaadaWdXbqabSqaaiaaicdaaeaa caWG0baaniabgUIiYdGcdaWcaaqaaiqadIhagaGaaiaaiIcacqaHep aDcaaIPaGaamizaiabes8a0bqaaiaaiIcacaWG0bGaeyOeI0IaeqiX dqNaaGykamaaCaaaleqabaGaeqySde2aaSbaaeaacaaIXaaabeaada qadaqaaiaadshaaiaawIcacaGLPaaaaaaaaOGaaGilaiabgkGi2oaa DaaaleaacaaIWaGaamiDaaqaaiabeg7aHnaaBaaabaGaaGOmaaqaba WaaeWaaeaacaWG0baacaGLOaGaayzkaaaaaOGaamyEaiaaiIcacaWG 0bGaaGykaiaai2dadaWcaaqaaiaaigdaaeaacqqHtoWrcaaIOaGaaG ymaiabgkHiTiabeg7aHnaaBaaaleaacaaIYaaabeaakmaabmaabaGa amiDaaGaayjkaiaawMcaaiaaiMcaaaWaa8qCaeqaleaacaaIWaaaba GaamiDaaqdcqGHRiI8aOWaaSaaaeaaceWG5bGbaiaacaaIOaGaeqiX dqNaaGykaiaadsgacqaHepaDaeaacaaIOaGaamiDaiabgkHiTiabes 8a0jaaiMcadaahaaWcbeqaaiabeg7aHnaaBaaabaGaaGOmaaqabaWa aeWaaeaacaWG0baacaGLOaGaayzkaaaaaaaakiaaiYcaaaa@91AC@

понимются в смысле Герасимова-Капуто [11, 18], порядки которых 0< α 1 t , α 2 t <1 MathType@MTEF@5@5@+= feaahGart1ev3aaatCvAUfeBSjuyZL2yd9gzLbvyNv2CaerbuLwBLn hiov2DGi1BTfMBaeXatLxBI9gBaerbd9wDYLwzYbItLDharqqtubsr 4rNCHbGeaGGj0Jf9crFfpeea0xh9v8qiW7rqqrFfpeea0xe9Lq=Jc9 vqaqpepm0xbba9pwe9Q8fs0=yqaqpepae9pg0FirpepeKkFr0xfr=x fr=xb9adbaqaaeGaciGaaiaabeqaamaabaabaaGcbaGaaGimaiaaiY dacqaHXoqydaWgaaWcbaGaaGymaaqabaGcdaqadaqaaiaadshaaiaa wIcacaGLPaaacaaISaGaeqySde2aaSbaaSqaaiaaikdaaeqaaOWaae WaaeaacaWG0baacaGLOaGaayzkaaGaaGipaiaaigdaaaa@45E3@  являются функциями из класса C 0,T MathType@MTEF@5@5@+= feaahGart1ev3aaatCvAUfeBSjuyZL2yd9gzLbvyNv2CaerbuLwBLn hiov2DGi1BTfMBaeXatLxBI9gBaerbd9wDYLwzYbItLDharqqtubsr 4rNCHbGeaGGj0Jf9crFfpeea0xh9v8qiW7rqqrFfpeea0xe9Lq=Jc9 vqaqpepm0xbba9pwe9Q8fs0=yqaqpepae9pg0FirpepeKkFr0xfr=x fr=xb9adbaqaaeGaciGaaiaabeqaamaabaabaaGcbaGaam4qamaadm aabaGaaGimaiaaiYcacaWGubaacaGLBbGaayzxaaaaaa@3D0A@ .

Замечание 1. Отметим, что информацию о производных дробного переменного порядка можно найти в обзорной статье [12].

В настоящей работе мы будем использовать численный алгоритм, основанный на семействе методов предиктор-корректор (метод Адамса-Башфорта-Мултона) [13-16].

x k+1 p = x 0 + τ α 1,k Γ α 1,k +1 j=0 k θ j,k+1 1 v 1,j x j + w 1,j y j + h 1,j x j 2 y j , y k+1 p = y 0 + τ α 2,k Γ α 2,k +1 j=0 k θ j,k+1 2 v 2,j w 2,j y j h 2,j x j 2 y j , θ j,k+1 i = kj+1 α i,k kj α i,k ,i=1,2. MathType@MTEF@5@5@+= feaahGart1ev3aaatCvAUfeBSjuyZL2yd9gzLbvyNv2CaerbuLwBLn hiov2DGi1BTfMBaeXatLxBI9gBaerbd9wDYLwzYbItLDharqqtubsr 4rNCHbGeaGGj0Jf9crFfpeea0xh9v8qiW7rqqrFfpeea0xe9Lq=Jc9 vqaqpepm0xbba9pwe9Q8fs0=yqaqpepae9pg0FirpepeKkFr0xfr=x fr=xb9adbaqaaeGaciGaaiaabeqaamaabaabaaGcbaWaaiqaaqaabe qaaiaadIhadaqhaaWcbaGaam4AaiabgUcaRiaaigdaaeaacaWGWbaa aOGaaGypaiaadIhadaWgaaWcbaGaaGimaaqabaGccqGHRaWkdaWcaa qaaiabes8a0naaCaaaleqabaGaeqySde2aaSbaaeaacaaIXaGaaGil aiaadUgaaeqaaaaaaOqaaiabfo5ahnaabmaabaGaeqySde2aaSbaaS qaaiaaigdacaaISaGaam4AaaqabaGccqGHRaWkcaaIXaaacaGLOaGa ayzkaaaaamaaqahabeWcbaGaamOAaiaai2dacaaIWaaabaGaam4Aaa qdcqGHris5aOGaeqiUde3aa0baaSqaaiaadQgacaaISaGaam4Aaiab gUcaRiaaigdaaeaacaaIXaaaaOWaaeWaaeaacqGHsislcaWG2bWaaS baaSqaaiaaigdacaaISaGaamOAaaqabaGccaWG4bWaaSbaaSqaaiaa dQgaaeqaaOGaey4kaSIaam4DamaaBaaaleaacaaIXaGaaGilaiaadQ gaaeqaaOGaamyEamaaBaaaleaacaWGQbaabeaakiabgUcaRiaadIga daWgaaWcbaGaaGymaiaaiYcacaWGQbaabeaakiaadIhadaqhaaWcba GaamOAaaqaaiaaikdaaaGccaWG5bWaaSbaaSqaaiaadQgaaeqaaaGc caGLOaGaayzkaaGaaGilaaqaaiaadMhadaqhaaWcbaGaam4AaiabgU caRiaaigdaaeaacaWGWbaaaOGaaGypaiaadMhadaWgaaWcbaGaaGim aaqabaGccqGHRaWkdaWcaaqaaiabes8a0naaCaaaleqabaGaeqySde 2aaSbaaeaacaaIYaGaaGilaiaadUgaaeqaaaaaaOqaaiabfo5ahnaa bmaabaGaeqySde2aaSbaaSqaaiaaikdacaaISaGaam4AaaqabaGccq GHRaWkcaaIXaaacaGLOaGaayzkaaaaamaaqahabeWcbaGaamOAaiaa i2dacaaIWaaabaGaam4AaaqdcqGHris5aOGaeqiUde3aa0baaSqaai aadQgacaaISaGaam4AaiabgUcaRiaaigdaaeaacaaIYaaaaOWaaeWa aeaacaWG2bWaaSbaaSqaaiaaikdacaaISaGaamOAaaqabaGccqGHsi slcaWG3bWaaSbaaSqaaiaaikdacaaISaGaamOAaaqabaGccaWG5bWa aSbaaSqaaiaadQgaaeqaaOGaeyOeI0IaamiAamaaBaaaleaacaaIYa GaaGilaiaadQgaaeqaaOGaamiEamaaDaaaleaacaWGQbaabaGaaGOm aaaakiaadMhadaWgaaWcbaGaamOAaaqabaaakiaawIcacaGLPaaaca aISaaabaGaeqiUde3aa0baaSqaaiaadQgacaaISaGaam4AaiabgUca RiaaigdaaeaacaWGPbaaaOGaaGypamaabmaabaGaam4AaiabgkHiTi aadQgacqGHRaWkcaaIXaaacaGLOaGaayzkaaWaaWbaaSqabeaacqaH XoqydaWgaaqaaiaadMgacaaISaGaam4AaaqabaaaaOGaeyOeI0Yaae WaaeaacaWGRbGaeyOeI0IaamOAaaGaayjkaiaawMcaamaaCaaaleqa baGaeqySde2aaSbaaeaacaWGPbGaaGilaiaadUgaaeqaaaaakiaaiY cacaWGPbGaaGypaiaaigdacaaISaGaaGOmaiaai6caaaGaay5Eaaaa aa@D0E8@  (2)

Для корректора (формула Адамса-Моултона) получим:

xk+1=x0+K1,kv1,k+1xk+1p+w1,k+1yk+1p+h1,k+1xk+1p2yk+1p++K1.kj=0kρj,k+11v1,jxj+w1,jyj+h1,jxj2yj,yk+1=y0+K2,kv2,k+1w2,k+1yk+1ph2,k+1xk+1p2yk+1p++K2,kj=0kρj,k+12v2,jw2,jyjh2,jxj2yj (3)

где K 1,k = τ α 1,k Γ α 1,k +2 , K 2,k = τ α 2,k Γ α 2,k +2 MathType@MTEF@5@5@+= feaahGart1ev3aaatCvAUfeBSjuyZL2yd9gzLbvyNv2CaerbuLwBLn hiov2DGi1BTfMBaeXatLxBI9gBaerbd9wDYLwzYbItLDharqqtubsr 4rNCHbGeaGGj0Jf9crFfpeea0xh9v8qiW7rqqrFfpeea0xe9Lq=Jc9 vqaqpepm0xbba9pwe9Q8fs0=yqaqpepae9pg0FirpepeKkFr0xfr=x fr=xb9adbaqaaeGaciGaaiaabeqaamaabaabaaGcbaGaam4samaaBa aaleaacaaIXaGaaGilaiaadUgaaeqaaOGaaGypamaalaaabaGaeqiX dq3aaWbaaSqabeaacqaHXoqydaWgaaqaaiaaigdacaaISaGaam4Aaa qabaaaaaGcbaGaeu4KdC0aaeWaaeaacqaHXoqydaWgaaWcbaGaaGym aiaaiYcacaWGRbaabeaakiabgUcaRiaaikdaaiaawIcacaGLPaaaaa GaaGilaiaadUeadaWgaaWcbaGaaGOmaiaaiYcacaWGRbaabeaakiaa i2dadaWcaaqaaiabes8a0naaCaaaleqabaGaeqySde2aaSbaaeaaca aIYaGaaGilaiaadUgaaeqaaaaaaOqaaiabfo5ahnaabmaabaGaeqyS de2aaSbaaSqaaiaaikdacaaISaGaam4AaaqabaGccqGHRaWkcaaIYa aacaGLOaGaayzkaaaaaaaa@5F00@ , а весовые коэффициенты в (3) определяются по формуле:

  ρj,k+1i=kαi,k+1kαi,kk+1αi,k,j=0,kj+2αi,k+1+kjαi,k+12kj+1αi,k+1,1jk,1,j=k+1,i=1,2.

Замечание 2. Исследование свойств метола Адамса-Башфорта-Мултона проводилось в статье автора [16].

Результаты моделирования

Численный алгоритм (2), (3) был реализован на языке программирования Python [17] в среде PyCharm 2024.1 с возможностью визуализации результатов моделирования [18].

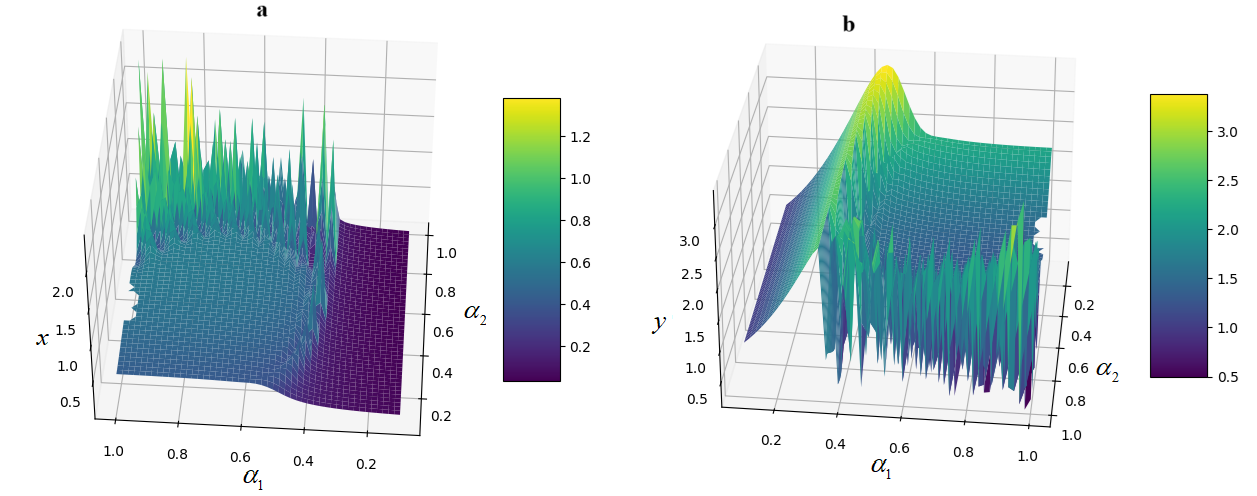
Пример 1. На рис.1 приведен график 3D поверхностей x α 1 , α 2 MathType@MTEF@5@5@+= feaahGart1ev3aaatCvAUfeBSjuyZL2yd9gzLbvyNv2CaerbuLwBLn hiov2DGi1BTfMBaeXatLxBI9gBaerbd9wDYLwzYbItLDharqqtubsr 4rNCHbGeaGGj0Jf9crFfpeea0xh9v8qiW7rqqrFfpeea0xe9Lq=Jc9 vqaqpepm0xbba9pwe9Q8fs0=yqaqpepae9pg0FirpepeKkFr0xfr=x fr=xb9adbaqaaeGaciGaaiaabeqaamaabaabaaGcbaGaamiEamaabm aabaGaeqySde2aaSbaaSqaaiaaigdaaeqaaOGaaGilaiabeg7aHnaa BaaaleaacaaIYaaabeaaaOGaayjkaiaawMcaaaaa@4064@  и y α 1 , α 2 MathType@MTEF@5@5@+= feaahGart1ev3aaatCvAUfeBSjuyZL2yd9gzLbvyNv2CaerbuLwBLn hiov2DGi1BTfMBaeXatLxBI9gBaerbd9wDYLwzYbItLDharqqtubsr 4rNCHbGeaGGj0Jf9crFfpeea0xh9v8qiW7rqqrFfpeea0xe9Lq=Jc9 vqaqpepm0xbba9pwe9Q8fs0=yqaqpepae9pg0FirpepeKkFr0xfr=x fr=xb9adbaqaaeGaciGaaiaabeqaamaabaabaaGcbaGaamyEamaabm aabaGaeqySde2aaSbaaSqaaiaaigdaaeqaaOGaaGilaiabeg7aHnaa BaaaleaacaaIYaaabeaaaOGaayjkaiaawMcaaaaa@4065@ , где α 1 , α 2 0.1,1 MathType@MTEF@5@5@+= feaahGart1ev3aaatCvAUfeBSjuyZL2yd9gzLbvyNv2CaerbuLwBLn hiov2DGi1BTfMBaeXatLxBI9gBaerbd9wDYLwzYbItLDharqqtubsr 4rNCHbGeaGGj0Jf9crFfpeea0xh9v8qiW7rqqrFfpeea0xe9Lq=Jc9 vqaqpepm0xbba9pwe9Q8fs0=yqaqpepae9pg0FirpepeKkFr0xfr=x fr=xb9adbaqaaeGaciGaaiaabeqaamaabaabaaGcbaGaeqySde2aaS baaSqaaiaaigdaaeqaaOGaaGilaiabeg7aHnaaBaaaleaacaaIYaaa beaakiabgIGiopaadmaabaGaaGimaiaai6cacaaIXaGaaGilaiaaig daaiaawUfacaGLDbaaaaa@44F2@ , v=0.6,w=0.03,h=1.3,θ=1, x 0 =0.1 MathType@MTEF@5@5@+= feaahGart1ev3aaatCvAUfeBSjuyZL2yd9gzLbvyNv2CaerbuLwBLn hiov2DGi1BTfMBaeXatLxBI9gBaerbd9wDYLwzYbItLDharqqtubsr 4rNCHbGeaGGj0Jf9crFfpeea0xh9v8qiW7rqqrFfpeea0xe9Lq=Jc9 vqaqpepm0xbba9pwe9Q8fs0=yqaqpepae9pg0FirpepeKkFr0xfr=x fr=xb9adbaqaaeGaciGaaiaabeqaamaabaabaaGcbaGaamODaiaai2 dacaaIWaGaaGOlaiaaiAdacaaISaGaam4Daiaai2dacaaIWaGaaGOl aiaaicdacaaIZaGaaGilaiaadIgacaaI9aGaaGymaiaai6cacaaIZa GaaGilaiabeI7aXjaai2dacaaIXaGaaGilaiaadIhadaWgaaWcbaGa aGimaaqabaGccaaI9aGaaGimaiaai6cacaaIXaaaaa@4F7C@ , y 0 =0.1,t 0,100 MathType@MTEF@5@5@+= feaahGart1ev3aaatCvAUfeBSjuyZL2yd9gzLbvyNv2CaerbuLwBLn hiov2DGi1BTfMBaeXatLxBI9gBaerbd9wDYLwzYbItLDharqqtubsr 4rNCHbGeaGGj0Jf9crFfpeea0xh9v8qiW7rqqrFfpeea0xe9Lq=Jc9 vqaqpepm0xbba9pwe9Q8fs0=yqaqpepae9pg0FirpepeKkFr0xfr=x fr=xb9adbaqaaeGaciGaaiaabeqaamaabaabaaGcbaGaamyEamaaBa aaleaacaaIWaaabeaakiaai2dacaaIWaGaaGOlaiaaigdacaaISaGa amiDaiabgIGiopaadmaabaGaaGimaiaaiYcacaaIXaGaaGimaiaaic daaiaawUfacaGLDbaaaaa@45AD@ , N=3000 MathType@MTEF@5@5@+= feaahGart1ev3aaatCvAUfeBSjuyZL2yd9gzLbvyNv2CaerbuLwBLn hiov2DGi1BTfMBaeXatLxBI9gBaerbd9wDYLwzYbItLDharqqtubsr 4rNCHbGeaGGj0Jf9crFfpeea0xh9v8qiW7rqqrFfpeea0xe9Lq=Jc9 vqaqpepm0xbba9pwe9Q8fs0=yqaqpepae9pg0FirpepeKkFr0xfr=x fr=xb9adbaqaaeGaciGaaiaabeqaamaabaabaaGcbaGaamOtaiaai2 dacaaIZaGaaGimaiaaicdacaaIWaaaaa@3C8C@ , α 1 , α 2 MathType@MTEF@5@5@+= feaahGart1ev3aaatCvAUfeBSjuyZL2yd9gzLbvyNv2CaerbuLwBLn hiov2DGi1BTfMBaeXatLxBI9gBaerbd9wDYLwzYbItLDharqqtubsr 4rNCHbGeaGGj0Jf9crFfpeea0xh9v8qiW7rqqrFfpeea0xe9Lq=Jc9 vqaqpepm0xbba9pwe9Q8fs0=yqaqpepae9pg0FirpepeKkFr0xfr=x fr=xb9adbaqaaeGaciGaaiaabeqaamaabaabaaGcbaGaeqySde2aaS baaSqaaiaaigdaaeqaaOGaaGilaiabeg7aHnaaBaaaleaacaaIYaaa beaaaaa@3DD4@   MathType@MTEF@5@5@+= feaahGart1ev3aqatCvAUfeBSjuyZL2yd9gzLbvyNv2CaerbuLwBLn hiov2DGi1BTfMBaeXatLxBI9gBaerbd9wDYLwzYbItLDharqqtubsr 4rNCHbGeaGqiVu0Je9sqqrpepC0xbbL8F4rqqrFfpeea0xe9Lq=Jc9 vqaqpepm0xbba9pwe9Q8fs0=yqaqpepae9pg0FirpepeKkFr0xfr=x fr=xb9adbaqaaeGaciGaaiaabeqaamaabaabaaGcbaqefmuySLMyYL gaiuaajugGbabaaaaaaaaapeGaa83eGaaa@3A94@  константы.

 

Рис. 1. Поверхности: a) x = x(α12); b) y = y(α12).

Figure 1. Surfaces: a) x = x(α12); b) y = y(α12).

 

На рис. 1. приведены бифуркационные диаграммы в виде поверхностей искомого решения x MathType@MTEF@5@5@+= feaahGart1ev3aaatCvAUfeBSjuyZL2yd9gzLbvyNv2CaerbuLwBLn hiov2DGi1BTfMBaeXatLxBI9gBaerbd9wDYLwzYbItLDharqqtubsr 4rNCHbGeaGGj0Jf9crFfpeea0xh9v8qiW7rqqrFfpeea0xe9Lq=Jc9 vqaqpepm0xbba9pwe9Q8fs0=yqaqpepae9pg0FirpepeKkFr0xfr=x fr=xb9adbaqaaeGaciGaaiaabeqaamaabaabaaGcbaGaamiEaaaa@3904@  и y MathType@MTEF@5@5@+= feaahGart1ev3aaatCvAUfeBSjuyZL2yd9gzLbvyNv2CaerbuLwBLn hiov2DGi1BTfMBaeXatLxBI9gBaerbd9wDYLwzYbItLDharqqtubsr 4rNCHbGeaGGj0Jf9crFfpeea0xh9v8qiW7rqqrFfpeea0xe9Lq=Jc9 vqaqpepm0xbba9pwe9Q8fs0=yqaqpepae9pg0FirpepeKkFr0xfr=x fr=xb9adbaqaaeGaciGaaiaabeqaamaabaabaaGcbaGaamyEaaaa@3905@  от значений порядков дробных производных α 1 MathType@MTEF@5@5@+= feaahGart1ev3aaatCvAUfeBSjuyZL2yd9gzLbvyNv2CaerbuLwBLn hiov2DGi1BTfMBaeXatLxBI9gBaerbd9wDYLwzYbItLDharqqtubsr 4rNCHbGeaGGj0Jf9crFfpeea0xh9v8qiW7rqqrFfpeea0xe9Lq=Jc9 vqaqpepm0xbba9pwe9Q8fs0=yqaqpepae9pg0FirpepeKkFr0xfr=x fr=xb9adbaqaaeGaciGaaiaabeqaamaabaabaaGcbaGaeqySde2aaS baaSqaaiaaigdaaeqaaaaa@3A8D@  и α 2 MathType@MTEF@5@5@+= feaahGart1ev3aaatCvAUfeBSjuyZL2yd9gzLbvyNv2CaerbuLwBLn hiov2DGi1BTfMBaeXatLxBI9gBaerbd9wDYLwzYbItLDharqqtubsr 4rNCHbGeaGGj0Jf9crFfpeea0xh9v8qiW7rqqrFfpeea0xe9Lq=Jc9 vqaqpepm0xbba9pwe9Q8fs0=yqaqpepae9pg0FirpepeKkFr0xfr=x fr=xb9adbaqaaeGaciGaaiaabeqaamaabaabaaGcbaGaeqySde2aaS baaSqaaiaaikdaaeqaaaaa@3A8E@ . Отметим, что на поверхностях рис.1a и рис. 1b есть области которые отвечают за регулярные режимы, например, затухающие колебания соответствуют областям без всплесков, в области всплесков могут формироваться предельные циклы, а также предхаотические или хаотические режимы. Кроме того, мы видим область рваные области, что, как мы покажем дальше, связано с сингулярностью.

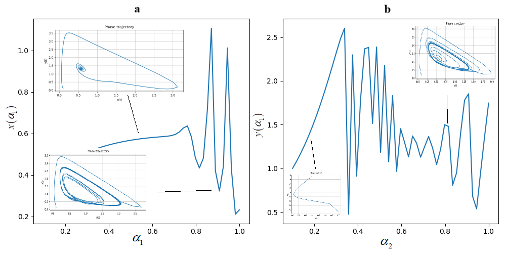
На рис. 2 дается бифуркационная диаграмма MathType@MTEF@5@5@+= feaahGart1ev3aqatCvAUfeBSjuyZL2yd9gzLbvyNv2CaerbuLwBLn hiov2DGi1BTfMBaeXatLxBI9gBaerbd9wDYLwzYbItLDharqqtubsr 4rNCHbGeaGqiVu0Je9sqqrpepC0xbbL8F4rqqrFfpeea0xe9Lq=Jc9 vqaqpepm0xbba9pwe9Q8fs0=yqaqpepae9pg0FirpepeKkFr0xfr=x fr=xb9adbaqaaeGaciGaaiaabeqaamaabaabaaGcbaqefmuySLMyYL gaiuaajugGbabaaaaaaaaapeGaa8hfGaaa@3A95@  сечение поверхности на рис. 1 при α 2 =1 MathType@MTEF@5@5@+= feaahGart1ev3aaatCvAUfeBSjuyZL2yd9gzLbvyNv2CaerbuLwBLn hiov2DGi1BTfMBaeXatLxBI9gBaerbd9wDYLwzYbItLDharqqtubsr 4rNCHbGeaGGj0Jf9crFfpeea0xh9v8qiW7rqqrFfpeea0xe9Lq=Jc9 vqaqpepm0xbba9pwe9Q8fs0=yqaqpepae9pg0FirpepeKkFr0xfr=x fr=xb9adbaqaaeGaciGaaiaabeqaamaabaabaaGcbaGaeqySde2aaS baaSqaaiaaikdaaeqaaOGaaGypaiaaigdaaaa@3C1A@  для решения x MathType@MTEF@5@5@+= feaahGart1ev3aaatCvAUfeBSjuyZL2yd9gzLbvyNv2CaerbuLwBLn hiov2DGi1BTfMBaeXatLxBI9gBaerbd9wDYLwzYbItLDharqqtubsr 4rNCHbGeaGGj0Jf9crFfpeea0xh9v8qiW7rqqrFfpeea0xe9Lq=Jc9 vqaqpepm0xbba9pwe9Q8fs0=yqaqpepae9pg0FirpepeKkFr0xfr=x fr=xb9adbaqaaeGaciGaaiaabeqaamaabaabaaGcbaGaamiEaaaa@3904@  (рис.2a) и при α 1 =1 MathType@MTEF@5@5@+= feaahGart1ev3aaatCvAUfeBSjuyZL2yd9gzLbvyNv2CaerbuLwBLn hiov2DGi1BTfMBaeXatLxBI9gBaerbd9wDYLwzYbItLDharqqtubsr 4rNCHbGeaGGj0Jf9crFfpeea0xh9v8qiW7rqqrFfpeea0xe9Lq=Jc9 vqaqpepm0xbba9pwe9Q8fs0=yqaqpepae9pg0FirpepeKkFr0xfr=x fr=xb9adbaqaaeGaciGaaiaabeqaamaabaabaaGcbaGaeqySde2aaS baaSqaaiaaigdaaeqaaOGaaGypaiaaigdaaaa@3C19@  для решения y MathType@MTEF@5@5@+= feaahGart1ev3aaatCvAUfeBSjuyZL2yd9gzLbvyNv2CaerbuLwBLn hiov2DGi1BTfMBaeXatLxBI9gBaerbd9wDYLwzYbItLDharqqtubsr 4rNCHbGeaGGj0Jf9crFfpeea0xh9v8qiW7rqqrFfpeea0xe9Lq=Jc9 vqaqpepm0xbba9pwe9Q8fs0=yqaqpepae9pg0FirpepeKkFr0xfr=x fr=xb9adbaqaaeGaciGaaiaabeqaamaabaabaaGcbaGaamyEaaaa@3905@  (рис. 2b). Мы видим на этих бифуркационных диаграммах, например, на рис.2a три режима, сначала идет затухающий режим вплоть до α 1 =0.6 MathType@MTEF@5@5@+= feaahGart1ev3aaatCvAUfeBSjuyZL2yd9gzLbvyNv2CaerbuLwBLn hiov2DGi1BTfMBaeXatLxBI9gBaerbd9wDYLwzYbItLDharqqtubsr 4rNCHbGeaGGj0Jf9crFfpeea0xh9v8qiW7rqqrFfpeea0xe9Lq=Jc9 vqaqpepm0xbba9pwe9Q8fs0=yqaqpepae9pg0FirpepeKkFr0xfr=x fr=xb9adbaqaaeGaciGaaiaabeqaamaabaabaaGcbaGaeqySde2aaS baaSqaaiaaigdaaeqaaOGaaGypaiaaicdacaaIUaGaaGOnaaaa@3D90@ , причем прерывистая линия вначале указывает на сингулярность. Далее идут всплески, которые указывают предельный цикл. Причем на рис.2a всплески с возрастающей амплитудой указываю на то, что орбита предельного цикла увеличивается. Это подтверждается фазовыми траекториями на врезках к рис.2a и рис.2b.

 

Рис. 2. Расчетные кривые a) x(α1), α2 = 1; b) y(α2), α1 = 1.

Figure 2. Calculated curves a) x(α1), α2 = 1; b) y(α2), α1 = 1.

 

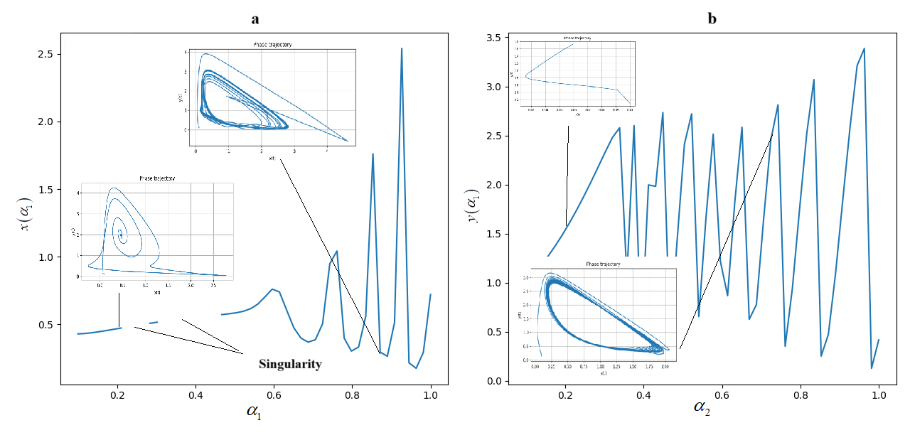
На рис. 3 приведены бифуркационные диаграммы, построенные при других значениях параметров с врезками фазовых траекторий для различных участков диаграмм. Здесь мы можем отметить, например, на рис. 3a всплески идут с уменьшающейся амплитудой, что указывает на уменьшении орбиты предельного цикла. Здесь сингулярности нет.

 

Рис. 3. Расчетные кривые a) x(α1), α2 = 0.8; b) y(α2), α1 = 0.8.

Figure 3. Calculated curves a) x(α1), α2 = 0.8; b) y(α2), α1 = 0.8.

 

На рис. 3b всплески идут сначала с возрастающей амплитудой, потом с убывающей и т.д. Однако если такое чередование будет непоследовательным или иметь хотический характер, то мы будет приходить к хаотическим или предхаотическим режимам.

Отметим, что на рис. 3b мы также видим апериодический режим MathType@MTEF@5@5@+= feaahGart1ev3aqatCvAUfeBSjuyZL2yd9gzLbvyNv2CaerbuLwBLn hiov2DGi1BTfMBaeXatLxBI9gBaerbd9wDYLwzYbItLDharqqtubsr 4rNCHbGeaGqiVu0Je9sqqrpepC0xbbL8F4rqqrFfpeea0xe9Lq=Jc9 vqaqpepm0xbba9pwe9Q8fs0=yqaqpepae9pg0FirpepeKkFr0xfr=x fr=xb9adbaqaaeGaciGaaiaabeqaamaabaabaaGcbaqefmuySLMyYL gaiuaajugGbabaaaaaaaaapeGaa83eGaaa@3A94@  режим при котором отсутствуют колебания, которому на бифуркационной диаграмме соответствует кривая без всплесков.

Рассмотрим теперь другой пример дробной динамической системы Селькова, когда α 1 t MathType@MTEF@5@5@+= feaahGart1ev3aaatCvAUfeBSjuyZL2yd9gzLbvyNv2CaerbuLwBLn hiov2DGi1BTfMBaeXatLxBI9gBaerbd9wDYLwzYbItLDharqqtubsr 4rNCHbGeaGGj0Jf9crFfpeea0xh9v8qiW7rqqrFfpeea0xe9Lq=Jc9 vqaqpepm0xbba9pwe9Q8fs0=yqaqpepae9pg0FirpepeKkFr0xfr=x fr=xb9adbaqaaeGaciGaaiaabeqaamaabaabaaGcbaGaeqySde2aaS baaSqaaiaaigdaaeqaaOWaaeWaaeaacaWG0baacaGLOaGaayzkaaaa aa@3D19@  и α 2 t MathType@MTEF@5@5@+= feaahGart1ev3aaatCvAUfeBSjuyZL2yd9gzLbvyNv2CaerbuLwBLn hiov2DGi1BTfMBaeXatLxBI9gBaerbd9wDYLwzYbItLDharqqtubsr 4rNCHbGeaGGj0Jf9crFfpeea0xh9v8qiW7rqqrFfpeea0xe9Lq=Jc9 vqaqpepm0xbba9pwe9Q8fs0=yqaqpepae9pg0FirpepeKkFr0xfr=x fr=xb9adbaqaaeGaciGaaiaabeqaamaabaabaaGcbaGaeqySde2aaS baaSqaaiaaikdaaeqaaOWaaeWaaeaacaWG0baacaGLOaGaayzkaaaa aa@3D1A@  являются функциями от t MathType@MTEF@5@5@+= feaahGart1ev3aaatCvAUfeBSjuyZL2yd9gzLbvyNv2CaerbuLwBLn hiov2DGi1BTfMBaeXatLxBI9gBaerbd9wDYLwzYbItLDharqqtubsr 4rNCHbGeaGGj0Jf9crFfpeea0xh9v8qiW7rqqrFfpeea0xe9Lq=Jc9 vqaqpepm0xbba9pwe9Q8fs0=yqaqpepae9pg0FirpepeKkFr0xfr=x fr=xb9adbaqaaeGaciGaaiaabeqaamaabaabaaGcbaGaamiDaaaa@3900@ .

Пример 2. Значения параметров выберем следующми: N=10000,t 0,1000 MathType@MTEF@5@5@+= feaahGart1ev3aaatCvAUfeBSjuyZL2yd9gzLbvyNv2CaerbuLwBLn hiov2DGi1BTfMBaeXatLxBI9gBaerbd9wDYLwzYbItLDharqqtubsr 4rNCHbGeaGGj0Jf9crFfpeea0xh9v8qiW7rqqrFfpeea0xe9Lq=Jc9 vqaqpepm0xbba9pwe9Q8fs0=yqaqpepae9pg0FirpepeKkFr0xfr=x fr=xb9adbaqaaeGaciGaaiaabeqaamaabaabaaGcbaGaamOtaiaai2 dacaaIXaGaaGimaiaaicdacaaIWaGaaGimaiaaiYcacaWG0bGaeyic I48aamWaaeaacaaIWaGaaGilaiaaigdacaaIWaGaaGimaiaaicdaai aawUfacaGLDbaaaaa@46C2@ , остальные параметры возьмем из Примера 1. Порядки дробных производных изменяются во времени t MathType@MTEF@5@5@+= feaahGart1ev3aaatCvAUfeBSjuyZL2yd9gzLbvyNv2CaerbuLwBLn hiov2DGi1BTfMBaeXatLxBI9gBaerbd9wDYLwzYbItLDharqqtubsr 4rNCHbGeaGGj0Jf9crFfpeea0xh9v8qiW7rqqrFfpeea0xe9Lq=Jc9 vqaqpepm0xbba9pwe9Q8fs0=yqaqpepae9pg0FirpepeKkFr0xfr=x fr=xb9adbaqaaeGaciGaaiaabeqaamaabaabaaGcbaGaamiDaaaa@3900@  по следующим законам:

α 1 t =0.8 1 100 cos 0.1πt , α 2 t =0.8 9 1000 sin 0.1πt . MathType@MTEF@5@5@+= feaahGart1ev3aaatCvAUfeBSjuyZL2yd9gzLbvyNv2CaerbuLwBLn hiov2DGi1BTfMBaeXatLxBI9gBaerbd9wDYLwzYbItLDharqqtubsr 4rNCHbGeaGGj0Jf9crFfpeea0xh9v8qiW7rqqrFfpeea0xe9Lq=Jc9 vqaqpepm0xbba9pwe9Q8fs0=yqaqpepae9pg0FirpepeKkFr0xfr=x fr=xb9adbaqaaeGaciGaaiaabeqaamaabaabaaGcbaGaeqySde2aaS baaSqaaiaaigdaaeqaaOWaaeWaaeaacaWG0baacaGLOaGaayzkaaGa aGypaiaaicdacaaIUaGaaGioaiabgkHiTmaalaaabaGaaGymaaqaai aaigdacaaIWaGaaGimaaaaciGGJbGaai4Baiaacohadaqadaqaaiaa icdacaaIUaGaaGymaiabec8aWjaadshaaiaawIcacaGLPaaacaaISa GaeqySde2aaSbaaSqaaiaaikdaaeqaaOWaaeWaaeaacaWG0baacaGL OaGaayzkaaGaaGypaiaaicdacaaIUaGaaGioaiabgkHiTmaalaaaba GaaGyoaaqaaiaaigdacaaIWaGaaGimaiaaicdaaaGaci4CaiaacMga caGGUbWaaeWaaeaacaaIWaGaaGOlaiaaigdacqaHapaCcaWG0baaca GLOaGaayzkaaGaaGOlaaaa@64A3@  (4)

Построим бифуркационные диаграммы в виде поверхностей для решений x α 1 , α 2 MathType@MTEF@5@5@+= feaahGart1ev3aaatCvAUfeBSjuyZL2yd9gzLbvyNv2CaerbuLwBLn hiov2DGi1BTfMBaeXatLxBI9gBaerbd9wDYLwzYbItLDharqqtubsr 4rNCHbGeaGGj0Jf9crFfpeea0xh9v8qiW7rqqrFfpeea0xe9Lq=Jc9 vqaqpepm0xbba9pwe9Q8fs0=yqaqpepae9pg0FirpepeKkFr0xfr=x fr=xb9adbaqaaeGaciGaaiaabeqaamaabaabaaGcbaGaamiEamaabm aabaGaeqySde2aaSbaaSqaaiaaigdaaeqaaOGaaGilaiabeg7aHnaa BaaaleaacaaIYaaabeaaaOGaayjkaiaawMcaaaaa@4064@  и y α 1 , α 2 MathType@MTEF@5@5@+= feaahGart1ev3aaatCvAUfeBSjuyZL2yd9gzLbvyNv2CaerbuLwBLn hiov2DGi1BTfMBaeXatLxBI9gBaerbd9wDYLwzYbItLDharqqtubsr 4rNCHbGeaGGj0Jf9crFfpeea0xh9v8qiW7rqqrFfpeea0xe9Lq=Jc9 vqaqpepm0xbba9pwe9Q8fs0=yqaqpepae9pg0FirpepeKkFr0xfr=x fr=xb9adbaqaaeGaciGaaiaabeqaamaabaabaaGcbaGaamyEamaabm aabaGaeqySde2aaSbaaSqaaiaaigdaaeqaaOGaaGilaiabeg7aHnaa BaaaleaacaaIYaaabeaaaOGaayjkaiaawMcaaaaa@4065@  (Рис. 4).

 

Рис. 4. 3D поверхности a) x(α12); b) y(α12).

Figure 4. 3D surfaces a) x(α12); b) y(α12).

 

Мы видим, что на рис. 4 поверхности представляют вполне регулярную фигуру цилиндрической формы.

На рис. 5 приведены расчетные кривые α 1 t MathType@MTEF@5@5@+= feaahGart1ev3aaatCvAUfeBSjuyZL2yd9gzLbvyNv2CaerbuLwBLn hiov2DGi1BTfMBaeXatLxBI9gBaerbd9wDYLwzYbItLDharqqtubsr 4rNCHbGeaGGj0Jf9crFfpeea0xh9v8qiW7rqqrFfpeea0xe9Lq=Jc9 vqaqpepm0xbba9pwe9Q8fs0=yqaqpepae9pg0FirpepeKkFr0xfr=x fr=xb9adbaqaaeGaciGaaiaabeqaamaabaabaaGcbaGaeqySde2aaS baaSqaaiaaigdaaeqaaOWaaeWaaeaacaWG0baacaGLOaGaayzkaaaa aa@3D19@  и α 2 t MathType@MTEF@5@5@+= feaahGart1ev3aaatCvAUfeBSjuyZL2yd9gzLbvyNv2CaerbuLwBLn hiov2DGi1BTfMBaeXatLxBI9gBaerbd9wDYLwzYbItLDharqqtubsr 4rNCHbGeaGGj0Jf9crFfpeea0xh9v8qiW7rqqrFfpeea0xe9Lq=Jc9 vqaqpepm0xbba9pwe9Q8fs0=yqaqpepae9pg0FirpepeKkFr0xfr=x fr=xb9adbaqaaeGaciGaaiaabeqaamaabaabaaGcbaGaeqySde2aaS baaSqaaiaaikdaaeqaaOWaaeWaaeaacaWG0baacaGLOaGaayzkaaaa aa@3D1A@  по формулам (4) (рис.5a,b). Сечения поверхности плоскостями x α 1 MathType@MTEF@5@5@+= feaahGart1ev3aaatCvAUfeBSjuyZL2yd9gzLbvyNv2CaerbuLwBLn hiov2DGi1BTfMBaeXatLxBI9gBaerbd9wDYLwzYbItLDharqqtubsr 4rNCHbGeaGGj0Jf9crFfpeea0xh9v8qiW7rqqrFfpeea0xe9Lq=Jc9 vqaqpepm0xbba9pwe9Q8fs0=yqaqpepae9pg0FirpepeKkFr0xfr=x fr=xb9adbaqaaeGaciGaaiaabeqaamaabaabaaGcbaGaamiEamaabm aabaGaeqySde2aaSbaaSqaaiaaigdaaeqaaaGccaGLOaGaayzkaaaa aa@3D1D@  и y α 2 MathType@MTEF@5@5@+= feaahGart1ev3aaatCvAUfeBSjuyZL2yd9gzLbvyNv2CaerbuLwBLn hiov2DGi1BTfMBaeXatLxBI9gBaerbd9wDYLwzYbItLDharqqtubsr 4rNCHbGeaGGj0Jf9crFfpeea0xh9v8qiW7rqqrFfpeea0xe9Lq=Jc9 vqaqpepm0xbba9pwe9Q8fs0=yqaqpepae9pg0FirpepeKkFr0xfr=x fr=xb9adbaqaaeGaciGaaiaabeqaamaabaabaaGcbaGaamyEamaabm aabaGaeqySde2aaSbaaSqaaiaaikdaaeqaaaGccaGLOaGaayzkaaaa aa@3D1F@  (рис. 5,c,d), также фазовая траектория (рис. 5e).

 

Рис. 5. Расчетные кривые a) α1 (t); b) α2 (t); c) x(α1); d) y(α2); e) y = y(x).

Figure 5. Calculated curves a) α1 (t); b) α2 (t); c) x(α1); d) y(α2); e) y = y(x).

 

В заключение приведем бифуркационные диаграммы других ключевых параметров дробной динамической системы Селькова (рис.6).

 

Рис. 6. Бифуркационные диаграммы зависимостей решения x и y от различных значений параметров модели.

Figure 6. Bifurcation diagrams of the dependences of the solution x and y on various values of the model parameters.

 

Здесь мы также видим на бифуркационных диаграммах (рис. 6), что есть "спокойные" участки, а есть участки со всплесками. Все это указывает на наличие различных динамических режимов.

Заключение

Исследованы различные бифуркационные диаграммы для дробной динамической системы Селькова в случае, когда θ=1 MathType@MTEF@5@5@+= feaahGart1ev3aaatCvAUfeBSjuyZL2yd9gzLbvyNv2CaerbuLwBLn hiov2DGi1BTfMBaeXatLxBI9gBaerbd9wDYLwzYbItLDharqqtubsr 4rNCHbGeaGGj0Jf9crFfpeea0xh9v8qiW7rqqrFfpeea0xe9Lq=Jc9 vqaqpepm0xbba9pwe9Q8fs0=yqaqpepae9pg0FirpepeKkFr0xfr=x fr=xb9adbaqaaeGaciGaaiaabeqaamaabaabaaGcbaGaeqiUdeNaaG ypaiaaigdaaaa@3B3F@ . Алгоритм построения бифуркационных диаграмм основан на численном алгоритме Адамса-Башфорта-Мултона (2), (3). Фазовые траектории и осциллограммы были получены с помощью программного комплекса ABMSelkovFracSim[16] написанного на языке программирования Python на в среде PyCharm 2014.1.

Показано, что расчетные кривые зависимостей решения дробной динамической системы Селькова от значений порядков дробных производных характеризуют изменение динамических режимов, т.е. являются бифуркационными диаграммами. Показано, наличие регулярных и хаотических режимов, а также наличие сингулярности.

Дальнейшее изучение бифуркационных диаграмм связано с построением карт динамических режимов [19, 20], а также в случае когда θ1 MathType@MTEF@5@5@+= feaahGart1ev3aaatCvAUfeBSjuyZL2yd9gzLbvyNv2CaerbuLwBLn hiov2DGi1BTfMBaeXatLxBI9gBaerbd9wDYLwzYbItLDharqqtubsr 4rNCHbGeaGGj0Jf9crFfpeea0xh9v8qiW7rqqrFfpeea0xe9Lq=Jc9 vqaqpepm0xbba9pwe9Q8fs0=yqaqpepae9pg0FirpepeKkFr0xfr=x fr=xb9adbaqaaeGaciGaaiaabeqaamaabaabaaGcbaGaeqiUdeNaey iyIKRaaGymaaaa@3C3F@ . Для этих целей необходимо привлекать более мощные вычислительные ресурсы, например, вычислительные серверы с возможностью использования процессоров CPU или GPU.

×

About the authors

Roman I. Parovik

Institute for Cosmophysical Research and Radio Propagation FEB RAS

Author for correspondence.
Email: parovik@ikir.ru
ORCID iD: 0000-0002-1576-1860
Russian Federation, 684034, v. Paratunka, Mirnaya st., 7

References

  1. Selkov E. E. Self-oscillations in glycolysis. I. A simple kinetic model. Eur. J. Biochem. 1968. no. 4. pp. 79–86.
  2. Makovetsky V.I., Dudchenko I.P., Zakupin A.S. Auto oscillation model of microseism’s sources. Geosist. Pereh. Zon. 2017. no. 4. pp. 37-46.(In Russian).
  3. Parovik R.I. Studies of the Fractional Selkov Dynamical System for Describing the Self-Oscillatory Regime of Microseisms. Mathematics. 2022. vol. 10. no. 22. 4208. doi: 10.3390/math10224208.
  4. Volterra V. Functional theory, integral and integro-differential equations. New York. Dover Publications, 2005. 288 p.
  5. Nakhushev A. M. Drobnoye ischisleniye i yego primeneniye [Fractional calculus and its applications]. Moscow. Fizmatlit. 2003. 272 p.(In Russian).
  6. Kilbas A.A., Srivastava H.M., Trujillo J.J. Theory and Applications of Fractional Differential Equations. Amsterdam. Elsevier. 2006. 523 p.
  7. Parovik R. I. Investigation of the Selkov fractional dynamical systems. Vestnik. KRAUNC. Fiz.-mat. nauki. 2022. vol. 41. no. 4. pp. 146-166. doi: 10.26117/2079-6641-2022-41-4-146-166 (In Russian).
  8. Parovik R. I. Selkov Dynamic System with Variable Heredity for Describing Microseismic Regimes. Solar-Terrestrial Relations and Physics of Earthquake Precursors: Proceedings of the XIII International Conference, Paratunka, Cham, Switzerland: Springer Nature Switzerland AG, 2023. P. 166-178. doi: 10.1007/978-3-031-50248-4_18.
  9. Parovik R. I. Qualitative analysis of Selkov’s fractional dynamical system with variable memory using a modified Test 0-1 algorithm. Vestnik KRAUNC. Fiz.-mat. nauki. 2023, vol. 45. no. 4, pp. 9-23. doi: 10.26117/2079-6641-2023-45-4-9-23 (In Russian.).
  10. Gerasimov A. N. Generalization of the laws of linear deformation and their application to problems of internal friction. Academy of Sciences of the SSR. Applied Mathematics and Mechanics, 1948. vol. 44, no. 6, pp. 62-78. (In Russian.).
  11. Caputo M. Linear models of dissipation whose Q is almost frequency independent - II. Geophysical Journal International, 1967. vol. 13, pp. 529-539.
  12. Patnaik S., Hollkamp J.P., Semperlotti F. Applications of variable-order fractional operators: A review. Proc. R. Soc. A R. Soc. Publ. 2020. vol. 476. 20190498. doi: 10.1098/rspa.2019.0498.
  13. Diethelm K., Ford N. J., Freed A. D. A predictor-corrector approach for the numerical solution of fractional differential equations. Nonlinear Dynamics. 2002. vol. 29. no.1-4. pp. 3-22. doi: 10.1023/A:1016592219341.
  14. Yang C., Liu F. A computationally effective predictor-corrector method for simulating fractional order dynamical control system. ANZIAM Journal. 2005. vol. 47. pp. 168-184. doi: 10.21914/anziamj.v47i0.1037.
  15. Garrappa R. Numerical solution of fractional differential equations: A survey and a software tutorial. Mathematics. 2018. vol. 6. no. 2. 016. doi: 10.3390/math6020016.
  16. Parovik R.I. ABMSelkovFracSim – software package for qualitative and quantitative analysis of the fractional dynamic system of Selkov. Certificate of state registration of the computer program No. 2024681529 RF. 2024 (in Russian).
  17. Shaw Z. A. Learn Python the Hard Way. Addison-Wesley Professional. 2024. 306 p.
  18. Van Horn, B. M., II; Nguyen, Q. Hands-On Application Development with PyCharm: Build Applications like a Pro with the Ultimate Python Development Tool; Packt Publishing Ltd.: Birmingham, UK, 2023.
  19. Bao B. et al. Memristor-induced mode transitions and extreme multistability in a mapbased neuron model. Nonlinear Dynamics. 2023. vol. 111. issue. 4. pp. 3765-3779. doi: 10.1007/s11071-022-07981-8.
  20. Colbrook M. J. et al. Beyond expectations: residual dynamic mode decomposition and variance for stochastic dynamical systems. Nonlinear Dynamics. 2024. vol. 112. no. 3. pp. 2037-2061. doi: 10.1007/s11071-023-09135-w.

Supplementary files

Supplementary Files
Action
1. JATS XML
2. Figure 1. Surfaces: a) x = x(α1,α2); b) y = y(α1,α2).

Download (293KB)
3. Figure 2. Calculated curves a) x(α1) ,α2 = 1; b) y(α2) ,α1 = 1.

Download (123KB)
4. Figure 3. Calculated curves a) x(α1) ,α2 = 0.8; b) y(α2) ,α1 = 0.8.

Download (97KB)
5. Figure 4. 3D surfaces a) x(α1,α2); b) y(α1,α2).

Download (329KB)
6. Figure 5. Calculated curves a) α1 (t); b) α2 (t); c) x(α1); d) y(α2); e) y = y(x).

Download (87KB)
7. Figure 6. Bifurcation diagrams of the dependences of the solution x and y on various values of the model parameters.

Download (78KB)

Согласие на обработку персональных данных с помощью сервиса «Яндекс.Метрика»

1. Я (далее – «Пользователь» или «Субъект персональных данных»), осуществляя использование сайта https://journals.rcsi.science/ (далее – «Сайт»), подтверждая свою полную дееспособность даю согласие на обработку персональных данных с использованием средств автоматизации Оператору - федеральному государственному бюджетному учреждению «Российский центр научной информации» (РЦНИ), далее – «Оператор», расположенному по адресу: 119991, г. Москва, Ленинский просп., д.32А, со следующими условиями.

2. Категории обрабатываемых данных: файлы «cookies» (куки-файлы). Файлы «cookie» – это небольшой текстовый файл, который веб-сервер может хранить в браузере Пользователя. Данные файлы веб-сервер загружает на устройство Пользователя при посещении им Сайта. При каждом следующем посещении Пользователем Сайта «cookie» файлы отправляются на Сайт Оператора. Данные файлы позволяют Сайту распознавать устройство Пользователя. Содержимое такого файла может как относиться, так и не относиться к персональным данным, в зависимости от того, содержит ли такой файл персональные данные или содержит обезличенные технические данные.

3. Цель обработки персональных данных: анализ пользовательской активности с помощью сервиса «Яндекс.Метрика».

4. Категории субъектов персональных данных: все Пользователи Сайта, которые дали согласие на обработку файлов «cookie».

5. Способы обработки: сбор, запись, систематизация, накопление, хранение, уточнение (обновление, изменение), извлечение, использование, передача (доступ, предоставление), блокирование, удаление, уничтожение персональных данных.

6. Срок обработки и хранения: до получения от Субъекта персональных данных требования о прекращении обработки/отзыва согласия.

7. Способ отзыва: заявление об отзыве в письменном виде путём его направления на адрес электронной почты Оператора: info@rcsi.science или путем письменного обращения по юридическому адресу: 119991, г. Москва, Ленинский просп., д.32А

8. Субъект персональных данных вправе запретить своему оборудованию прием этих данных или ограничить прием этих данных. При отказе от получения таких данных или при ограничении приема данных некоторые функции Сайта могут работать некорректно. Субъект персональных данных обязуется сам настроить свое оборудование таким способом, чтобы оно обеспечивало адекватный его желаниям режим работы и уровень защиты данных файлов «cookie», Оператор не предоставляет технологических и правовых консультаций на темы подобного характера.

9. Порядок уничтожения персональных данных при достижении цели их обработки или при наступлении иных законных оснований определяется Оператором в соответствии с законодательством Российской Федерации.

10. Я согласен/согласна квалифицировать в качестве своей простой электронной подписи под настоящим Согласием и под Политикой обработки персональных данных выполнение мною следующего действия на сайте: https://journals.rcsi.science/ нажатие мною на интерфейсе с текстом: «Сайт использует сервис «Яндекс.Метрика» (который использует файлы «cookie») на элемент с текстом «Принять и продолжить».