Technical and economic analysis of the use of mobile charging stations for electric vehicles in the Republic of Tajikistan
- Authors: Abdullo M.A.1
-
Affiliations:
- Tajik Technical University named after academician M.S. Osimi
- Issue: No 5 (2024)
- Pages: 51-63
- Section: Transport
- URL: https://bakhtiniada.ru/2077-7175/article/view/278091
- DOI: https://doi.org/10.25198/2077-7175-2024-5-51
- ID: 278091
Cite item
Full Text
Abstract
The global electric vehicle market is increasing. The main motivation for switching to this innovative type of vehicle is, first of all, reducing the impact on the environment, reducing operating costs, the possibility of using new technologies in transport, etc. Of course, the development of electric vehicles, like other industries, has its problems. The paper examines the methodology for determining the optimal options for charging infrastructure for electric vehicles, as the main factor influencing the widespread use of electric cars. The purpose of the study is to determine the optimal option for mobile charging stations (MCS) for the conditions of Tajikistan based on a comparative analysis of key indicators: cost, weight and resource. To conduct a study to determine the optimal option for mobile charging stations, a comparative analysis method was used. For the conditions of Tajikistan, to determine the optimal option for mobile charging stations (MCS), a corresponding comparative analysis was carried out in terms of such indicators as cost, weight, and resource. It was revealed that the MCS based on autonomous generators with an internal combustion engine (ICE) is superior to other options in all respects. However, we should not forget that the greatest harm is caused to the environment by such an MCS, and it requires a constant supply of fuel. The best option is to combine lithium-ion batteries with an autonomous generator and a solar battery or wind power plant. Considering that the multi-station system is often located in one place, at the first stage it was proposed to create a multi-station station with an autonomous generator, lead-acid batteries, or a hybrid version. In the future, it is necessary to gradually switch to the joint use of hybrid installations based on lithium-ion batteries in combination with an internal combustion engine, solar panels, or a wind-electric installation. The practical significance of the study is to create a stable and cost-effective infrastructure for charging electric vehicles, including based on alternative energy sources, in Tajikistan, which contributes to increased mobility, economic development and environmental sustainability of the region. The development of electric vehicle infrastructure will stimulate the growth of the electric vehicle market, which in turn will contribute to the development of related economic sectors. Similar installations can be used in other industries, such as tourism, power supply to remote villages, and geological exploration.
Full Text
Введение
В последние годы мировые продажи электромобилей развиваются стремительными темпами. В своём прогнозе на апрель 2024 года Международное энергетическое агентство заявляет, что мировые продажи электромобилей останутся высокими в 2024 году, достигнув примерно 17 миллионов к концу года [14]. В первом квартале продажи выросли примерно на 25% по сравнению с аналогичным периодом 2023 года. Количество электромобилей, проданных по всему миру за первые три месяца 2024 года, примерно равно количеству автомобилей, проданных за весь 2020 год 1.
Несмотря на стремительное развитие, очевидно, что интерес к электромобилям существовал ещё до появления первого автомобиля. Учитывая вышесказанное, проблемы первых электромобилей, такие как инфраструктура зарядки, остаются актуальными и сегодня.
При анализе развития инфраструктуры электромобилей становится очевидным, что распределение зарядных станций значительно различается по всей стране. Основная часть электроэнергетической инфраструктуры сосредоточена в столице и административных центрах регионов.
Такая ситуация подчёркивает необходимость уменьшения разрыва в доступе к зарядной инфраструктуре, особенно вдоль основных дорог и в сельской местности, где плотность населения ниже. Недостаток доступа к зарядной инфраструктуре означает, что электромобили не смогут широко распространиться до тех пор, пока не будет достигнут баланс между спросом и предложением.
На данную ситуацию следует посмотреть с двух разных точек зрения: потребительской и коммерческой. С точки зрения потребителя личного автомобиля, владельцы электромобилей часто предпочитают заряжать свои автомобили дома, что делает вопрос неравенства доступа к инфраструктуре менее актуальным для них. В большинстве случаев типичные владельцы не совершают длительные поездки, которые требуют значительного количества энергии от аккумулятора.
С коммерческой точки зрения, ситуация более сложная, особенно для электромобилей, предназначенных для перевозки пассажиров на дальние расстояния, таких как маршруты Душанбе – Хорог или Душанбе – Худжанд. В настоящее время существующие пробелы в инфраструктуре между регионами и в сельской местности могут стать серьёзным препятствием для коммерческих операторов, особенно если требуется быстрая зарядка автомобилей.
Стремительное развитие электротранспорта создаёт как новые возможности, так и уникальные задачи для каждой страны. Чтобы адаптировать экономику к текущим вызовам времени, каждое государство разрабатывает и внедряет соответствующие нормативно-правовые и нормативно-технические меры, включая программы и стратегии развития электротранспорта. Министерство транспорта Республики Таджикистан, совместно со специалистами из профильных министерств и Таджикского технического университета имени академика М. С. Осими, разработало проект «Программа развития электротранспорта в Республике Таджикистан на 2023–2028 годы», который был утверждён Правительством Республики Таджикистан (далее – Программа) 2.
Программа направлена на повышение конкурентоспособности национальной экономики, адаптацию к изменению климата, защиту окружающей среды, улучшение экологической ситуации и достижение целей устойчивого развития. Она также направлена на обеспечение всеобщего доступа к дешевым, надежным, стабильным и современным источникам энергии, а также на переход к рациональным формам потребления и производства. Программа включает следующие меры по развитию специальной инфраструктуры электротранспорта:
- развитие нормативно-правовой базы для специальной инфраструктуры электротранспорта;
- определение тестовых площадок и дорог республиканского значения для создания специальной инфраструктуры для электротранспорта;
- определение основных направлений развития сетей зарядных станций и поэтапное их расширение;
- разработка механизма финансирования части затрат на создание специальной инфраструктуры;
- организация зарядной инфраструктуры большой мощности (более 22 кВт) – не менее 40 единиц, с возможностью зарядки до 80% за 20–30 минут;
- организация зарядной инфраструктуры средней мощности (до 22 кВт) – не менее 850 единиц, с возможностью зарядки до 80% за 2–10 часов.
Согласно программе, к концу 2025 года в республике должно быть создано не менее 908 точек продажи (зарядки) электроэнергии для электромобилей, в том числе 866 точек мощностью до 22 кВт и 43 точки мощностью более 22 кВт. Распределение точек продажи (зарядки) электроэнергии для электромобилей в зависимости от регионов страны представлено на схеме (см. рисунок 1).
Рисунок 1. Создание специальной зарядной инфраструктуры электроэнергии для электромобилей на первом этапе реализации программы
Источник: составлено автором
Карту расположения зарядной инфраструктуры следует рассматривать с учетом количества электромобилей, интенсивности движения и доступной мощности электрической энергии. На практике часто строят зарядные пункты по методу «необходимого количества», то есть без учета имеющейся мощности электрических подстанций. Это может привести к значительному увеличению потребления электроэнергии при массовом подключении электромобилей в крупных городах, что в итоге может вызвать сбои в работе электрической сети. Целесообразно создавать зарядные станции с относительно небольшой мощностью рядом с многофункциональными объектами, такими как торговые центры и автостоянки.
Для предотвращения возможных нарушений работы электросети городов и других населенных пунктов необходимо строить мощные зарядные станции за пределами основных въездов в города и населенные пункты, а также вблизи автомобильных дорог возле учреждений обслуживания, используя отдельные подстанции. Цель исследования заключается в определении оптимальных мобильных зарядных станций для условий Таджикистана на основе сравнительного анализа по ключевым параметрам: стоимость, масса и ресурс.
Материалы и методы
В данной работе рассматривается методика определения оптимальных вариантов зарядной инфраструктуры для электромобилей. Зарядная инфраструктура играет ключевую роль в использовании электромобилей, поскольку время зарядки и доступность зарядных станций непосредственно влияют на удобство использования электромобилей и общую привлекательность этого вида транспорта.
В развитии рынка электромобилей одним из основных препятствий является недостаток соответствующей зарядной инфраструктуры. Особенно сложной проблемой является размещение зарядных станций в горных районах, включая нашу страну, где значительные расстояния разделяют населенные пункты. В настоящее время большинство электромобилей ввозятся в республику из Китая через Мургабский район (см. рисунок 2). Часть из них доставляется в Душанбе и другие регионы специальными транспортными средствами для легковых автомобилей, а остальные водители сами доставляют на своих машинах по трассе Мургаб-Хорог-Куляб.
Рисунок 2. Основной маршрут ввоза электромобилей (своим ходом) в Республику Таджикистан
Источник: составлено автором на основе карт автодорог Таджикистана
Весной и осенью электромобили часто заряжаются в центре Мургабского района, что достаточно для поездки до Хорога (321 км). После зарядки в Хороге электромобили обычно достигают Дарвазского района (245 км) без дополнительной зарядки, иногда доходя до Куляба. Современные электромобили оснащены литий-ионными аккумуляторами, которые имеют серьезный недостаток – быстрое снижение емкости при эксплуатации в условиях температур ниже +10 °С и выше +25 °С. Эту проблему можно решить путем контроля температуры аккумуляторов, однако это увеличивает затраты на электроэнергию и стоимость транспортировки.
В холодный сезон пользователи электромобилей на горных дорогах, включая трассу Мургаб-Хорог-Куляб и другие аналогичные маршруты, сталкиваются с проблемой быстрой разрядки аккумуляторов из-за недостатка зарядной инфраструктуры большой мощности для быстрой зарядки до 80% за 20–30 минут.
Зарядная инфраструктура играет ключевую роль в распределении и успешной интеграции электромобилей в транспортную систему [2–3; 5–16; 18–19]. Однако для создания эффективной и надежной инфраструктуры необходимо решить следующие проблемы:
- недостаточное количество зарядных станций;
- неравномерное распределение зарядных станций;
- совместимость и стандарты;
- мощность зарядных станций;
- загрузка и очереди;
- надежность и обслуживание;
- стоимость установки и эксплуатации;
- стабильность и надежность энергетической сети;
- информирование и образование пользователей.
Решение вышеперечисленных проблем требует комплексного подхода, включающего нормативно-правовое и нормативно-техническое регулирование, инвестиции в инфраструктуру, тесное сотрудничество между производителями электромобилей, операторами зарядных станций и энергетическими компаниями.
Одним из вариантов решения проблемы зарядной инфраструктуры являются мобильные зарядные станции (МЗС) [1; 4–7; 9–11; 13–19]. Мобильные зарядные станции, предоставляя услуги зарядки без ограничений по местоположению, могут сыграть важную роль в реализации «Программы развития электротранспорта в Республике Таджикистан на 2023–2028 годы», ускоряя развитие электротранспорта в стране.
МЗС обычно состоит из накопителя энергии (аккумуляторов), системы преобразования энергии, системы управления и соединительного устройства. Часто производители предлагают его в виде модуля. Система управления, в свою очередь, состоит из следующих частей [19]:
- система управления;
- противоаварийная система;
- система пожаротушения;
- система учета энергопотребления;
- система SCADA, включающая автоматизацию управления, мониторинга и электронную защиту.
Для обеспечения независимой работы МЗС он часто сопрягается с источником энергии (двигатель внутреннего сгорания, микро-гидроэлектростанция, ветровые и солнечные электростанции и т. п.).
Стартап EP Tender из Парижа считает, что проблему можно решить простым способом – использованием прицепа с аккумуляторной батареей. Компания планирует создать пункты проката аккумуляторов в различных точках на всех основных маршрутах. Планируется подключить капсулу к электромобилю, добавив к основной батарее электромобиля 60 кВтч энергии, обеспечивая достаточно энергии для достижения следующей точки назначения или остановки (рисунок 3). Основная проблема заключается в том, что большинство электромобилей не предназначены для эксплуатации с прицепом 3, 4.
Рисунок 3. МЗС от компании EP Tender
Источник: заимствовано автором из общедоступных ресурсов интернета 5
Изначально компания «ЭП Тендер» устанавливала небольшие генераторы, работающие от двигателя внутреннего сгорания (ДВС). В настоящее время компания полностью отказалась от использования ДВС и оснащает прицеп только аккумуляторами [15].
Российские предприниматели Леонид Неганов и Дмитрий Кукушкин основали компанию Volt2Go, в которой возникла идея создать автономную мобильную зарядную станцию, которая будет заряжать электромобили там, где и когда это необходимо. Водители электромобилей могут забронировать время для зарядки через мобильное приложение в удобном для них месте в окрестностях Москвы (рисунок 4). При выборе точного местоположения будет учитываться потребность пользователей в зарядке ближе к центру города днем и в пригороде ночью 6.
Рисунок 4. МЗС от компании Volt2Go
Источник: заимствовано автором из общедоступных ресурсов интернета 7
Ученые из Университета Флориды предложили новую идею зарядки электромобилей, названную «одноранговая (P2C2) система зарядки электромобилей». Эта система позволяет электромобилям заряжаться без остановки. Для этого необходимо иметь электромобиль с мощными аккумуляторами или мобильную зарядную станцию. По специальной технологии при приближении к заряжающемуся электромобилю с помощью специальных магнитных разъемов крепятся телескопические рычаги, заряжающие аккумуляторы электромобиля (рисунок 5). Также рассматривается возможность беспроводной зарядки [13].
Рисунок 5. P2C2 обеспечивает заряд электромобиля с помощью МЗС на ходу (а). Физический принцип осуществления зарядки электромобилей на ходу (б)
Источник: заимствовано из работы [13]
Для обеспечения независимой работы мобильных зарядных станций с аккумуляторами необходим источник энергии для зарядки. Анализ мирового опыта использования МЗС показывает, что для Республики Таджикистан приемлемыми формами МЗС являются следующие (см. рисунок 6):
- МЗС на базе автономных генераторов с двигателями внутреннего сгорания;
- МЗС на базе автономных генераторов с двигателями внутреннего сгорания и аккумуляторами;
- МЗС на основе «зеленой» энергетики и аккумуляторов;
- МЗС на базе аккумуляторов.
Рисунок 6. Виды источников энергии для зарядки МЗС на базе аккумуляторных батарей
Источник: составлено автором
Каждая из этих форм предлагает различные решения для обеспечения энергии МЗС в различных условиях и ситуациях эксплуатации в Таджикистане.
Свинцово-кислотные и литий-ионные аккумуляторы обладают своими уникальными характеристиками, что делает выбор между ними важным исходя из множества факторов. Важно учитывать такие аспекты как первоначальная стоимость, срок службы, масса, объем, температурная чувствительность, простота и стоимость обслуживания, а также доступность и другие параметры.
Литий-ионные аккумуляторы выделяются благодаря их высокой плотности энергии, доступности и снижению стоимости производства. По данным BloombergNEF, цена литий-ионных аккумуляторов снизилась на 14% в 2023 году по сравнению с предыдущим годом и уменьшилась более чем в шесть раз за последние 10 лет (см. рисунок 7). Это снижение цены способствовало увеличению спроса на аккумуляторы как для электромобилей, так и для стационарных накопителей энергии, который вырос на 53% по сравнению с предыдущим годом, достигнув в среднем 950 гигаватт-часов в 2023 году.
Рисунок 7. Средняя стоимость литий-ионных аккумуляторов, 2013–2023 гг.
Источник: заимствовано автором из общедоступных ресурсов интернета 8
Современные литий-ионные аккумуляторы для электромобилей обладают номинальной емкостью около 40 киловатт-час и массой около 200 килограммов. В случае использования свинцово-кислотных аккумуляторов с такой же номинальной емкостью, их масса составит не менее 800 килограмм, что значительно превышает массу литий-ионных аккумуляторов. Кроме того, свинцово-кислотные аккумуляторы занимают больший объем, что также требует дополнительных затрат энергии на их транспортировку и обслуживание.
Как видно из таблицы 1, средняя плотность энергии литий-ионного аккумулятора в 4 раза выше, чем у свинцово-кислотного аккумулятора.
Таблица 1. Сравнительные показатели аккумуляторов
Индикатор | Свинцово-кислотный аккумулятор (СКА) | Литий-ионный аккумулятор (ЛИА) |
Средняя массовая плотность энергии 9, Вт*ч/кг | 30–70 | 50–260 |
Необходимость регулярного обслуживания | Да | Нет |
Удельная первоначальная стоимость ($/кВт*ч) | 65 10 | 139 11 |
Срок службы, цикл (цикл) | 1200 до 30% разряда 12 | 2000 до 80% разряда |
Допустимый разряд | 30% | 80% |
Напряжение одного элемента, В | 2 | 3.7 |
Источник: разработано автором на основе общедоступных ресурсов интернета
Результаты
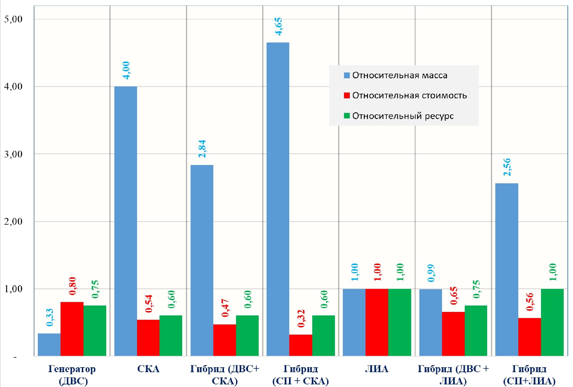
Чтобы определить оптимальный вариант МЗС для горных условий Таджикистана, был проведен соответствующий сравнительный анализ по таким показателям, как стоимость, масса и ресурс. Результаты предварительного сравнительного анализа различных вариантов МЗС относительно МЗС с литий-ионными батареями представлены на графике (рисунок 8).
Рисунок 8. Сравнительные показатели различных вариантов МЗС
Источник: составлено автором
Из диаграммы видно, что в настоящее время в условиях нашей страны МЗС на базе автономных генераторов с ДВС превосходит другие варианты по всем параметрам. Однако не следует забывать, что такая МЗС наносит наибольший вред окружающей среде и требует постоянного запаса топлива. С точки зрения стоимости, наилучшим вариантом является комбинированный (гибридный) свинцово-кислотный аккумулятор с солнечной батареей, однако с точки зрения массы преимущество таких аккумуляторов снижается. Оптимальным решением является совместное использование литий-ионных аккумуляторов с автономным генератором или солнечной батареей [17]. С учетом снижения стоимости и быстрого распространения литий-ионных аккумуляторов перед исследователями возникают новые задачи по разработке и эксплуатации МЗС.
Заключение
Был проведен краткий анализ литературы по текущему состоянию разработки мобильных зарядных станций (МЗС). Обсуждаются различные аспекты исследований МЗС, включая их преимущества для электромобилей, особенно в горных условиях Республики Таджикистан. Сделан вывод о необходимости дальнейших исследований в этой области, включая оптимальную координацию между различными методами зарядки, смягчение воздействия на электросети и влияние МЗС на развитие рынка электромобилей.
Поскольку мобильные зарядные станции часто эксплуатируются в стационарном режиме, на первом этапе целесообразно создать МЗС с автономным генератором, свинцово-кислотными (жидкими) или гибридным вариантом (автономный генератор + свинцово-кислотный аккумулятор). Постепенно следует переходить к совместному использованию литий-ионного аккумулятора с двигателем внутреннего сгорания или солнечной батареей.
1 The world’s electric car fleet continues to grow strongly, with 2024 sales set to reach 17 accessed // News IEA. URL: https://www.iea.org/news/the worlds electric car fleet continues to grow strongly with 2024 sales set to reach 17 million (accessed: 29.04.2024).
2 Программа развития электротранспорта в Республике Таджикистан на 2023–2028 годы (утверждена постановлением Правительства РТ от 31 октября 2022 года за № 532). URL: https://technopark.tj/ru/pages/161 (дата обращения: 02.04.2024).
3 Product // EP Tender. URL: https://eptender.com/en/product/ (accessed: 09.04.2024).
4 Повербанк для электромобиля: как увеличить запас хода с помощью прицепа аккумулятора знает EP Tender – Ecotechnica. URL: https://ecotechnica.com.ua/transport/poverbank dlya elektromobilya kak uvelichit zapas khoda s pomoshchyu pritsepa akkumulyatora (дата обращения: 09.04.2024).
5 Product // EP Tender. URL: https://eptender.com/en/product/ (accessed: 09.04.2024).
6 Electric Vehicle charging that comes to you // Victron Energy. URL: https://www.victronenergy.com/blog/2021/12/17/electric vehicle charging that comes to you/ (accessed: 10.04.2024).
7 Electric Vehicle charging that comes to you // Victron Energy. – URL: https://www.victronenergy.com/blog/2021/12/17/electric-vehicle-charging-that-comes-to-you/ (accessed: 04.04.2024).
8 Lithium-Ion Battery Pack Prices Hit Record Low of $139/kWh | BloombergNEF. – URL: https://about.bnef.com/blog/lithium-ion-battery-pack-prices-hit-record-low-of-139-kwh/ (accessed: 14.04.2024).
9 Analysis of the difference between lead-acid batteries and lithium batteries. // LinkedIn. – URL: https://www.linkedin.com/pulse/analysis-difference-between-lead-acid/ (accessed: 16.04.2024).
Что такое плотность энергии батареи? // Ever Exceed. – URL: https://ru.everexceed.com/blog/what-is-battery-energy-density-_b231/ (дата обращения: 15.04.2024).
10 A Comparison of Lead Acid to Lithium-ion in Stationary Storage Applications // AltEnergyMag. – URL: https://www.altenergymag.com/content.php?post_type=1884/ (accessed: 06.04.2024).
11 Lithium-Ion Battery Pack Prices Hit Record Low of $139/kWh // BloombergNEF. – URL: https://about.bnef.com/blog/lithium-ion-battery-pack-prices-hit-record-low-of-139-kwh/ (accessed: 05.04.2024).
12 Сколько циклов заряд-разряд выдержит автомобильный аккумулятор? // Магазин автомобильных аккумуляторов – TopStar. – URL: https://topstar.in.ua/stati-novosti-obzory/zariad-razriad-akkumuliatora/ (дата обращения: 02.05.2024).
About the authors
Mamadamon A. Abdullo
Tajik Technical University named after academician M.S. Osimi
Author for correspondence.
Email: mamadamonabdullo@gmail.com
ORCID iD: 0000-0002-6253-5946
Scopus Author ID: 57474772300
ResearcherId: U-1123-2017
Candidate of Technical Sciences, Associate Professor of the Department of «Operation of Road Transport»
Tajikistan, DushanbeReferences
- Safin, A. R., et al. (2023) [Analysis of technical level of developments in the field of mobile charging units for electric transport]. Izvestiya vysshee obrazovaniya vysshee obrazovaniya, PROBLEMY ENERGETIKI [Proceedings of Higher Educational Institutions. ENERGY PROBLEMS]. Vol. 25(3), pp. 55–64. (In Russ.).
- Gorbunova, A. D., Anisimov, I. A. (2019) [Scientific substantiation of the location of charging stations for electric vehicles]. Progressivnye tekhnologii v transportnykh sistemakh : Sbornik materialov XIV Mezhdunarodnoi nauchno-prakticheskoi konferentsii, Orenburg, 20–22.11.2019. [Progressive technologies in transport systems: Proceedings of the XIV International Scientific and Practical Conference, Orenburg, November 20-22, 2019/Orenburg State University], pp. 158–162. (In Russ.).
- Gorbunova, A. D., Anisimov, I. A. (2020) [Formation of the Requirement Flow for Restoring the Charge of the Electric Car Power Battery When Using the City Charging Infrastructure]. Intellekt. Innovacii. Investicii [Intellect. Innovations. Investments]. Vol.4, pp. 113–124. – https://doi.org/10.25198/2077-7175-2020-4-113. (In Russ.).
- Safin, A. R., et al. (2021) [Study of design features of mobile electric transport charge units for development of conceptual design documentation]. Vestnik Kazanskogo gosudarstvennogo energeticheskogo universiteta [Bulletin of Kazan State Power Engineering University]. Vol. 13(3 (51)), pp. 15–24. (In Russ.).
- Petrov, T. I., et al. (2022) [Modeling of operation of mobile charging equipment for charging electric vehicles in order to confirm compliance with the groups of climatic and mechanical performance]. Vestnik MGTU [Bulletin of MSTU]. Vol. 25(4), pp. 365–377. (In Russ.).
- Mukhanova, P. P. (2022) [Hardware-software complex for control and diagnostics of mobile charging stations of high power with simulation of electric vehicles’ operating modes]. Dispetcherizatsiia i upravlenie v elektroenergetike. Materialy XVII Vserossiiskoi otkrytoi molodezhnoi nauchno-prakticheskoi konferentsii, [Dispetcherization and management in electronenergy. Materials of XVII All-Russian open youth scientific-practical conference]. Kazan, pp. 191–194. (In Russ.).
- Orlov, A. A., Nesterenko, G. A. (2023) [Mobile charging stations]. Aktualnye voprosy energetiki. Materialy Vserossiiskoi nauchno-prakticheskoi konferentsii s mezhdunarodnym uchastiem [Materials of the All-Russian scientific and practical conference with international participation]. Omsk, pp. 33–35. (In Russ.).
- Saginov, Iu. L., Pishchikova, O. V. (2024) [Electromobility: old barriers and new drivers]. EKONOMIKA [ECONOMICS]. Vol. 14(3), pp. 827–842. (In Russ.).
- Sazonov, S. L., Siao, Ch. (2018) [China’s experience in developing battery technology and charging station infrastructure for electric vehicles]. Transport na alternativnom toplive [Transportation on alternative fuel]. Vol. 63(3), pp. 39–51. (In Russ.).
- Tyagunov, M. G., Shurkalov, P. S. (2015) [Efficiency Use of Plants Based on Renewable Energy Sources for Charging Electric Vehicles in Russia]. Mezhdunarodnyy nauchnyy zhurnal Al’ternativnaya energetika i ekologiya [International scientific journal Alternative Energy and Ecology]. Vol. 10-11, pp. 107–117. – https://doi.org/10.15518/isjaee.2015.10-11.011. – EDN: UCRCNF. (In Russ.).
- Afshar, S., et al. (2020) A literature review on mobile charging station technology for electric vehicles In 2020 IEEE transportation electrification conference & expo (ITEC), pp. 1184–1190. (In Eng.).
- Arhun, S. (2018) Projects and models of solar charging stations for electric cars. Bulletin of Kharkov National Automobile and Highway University. No. 80, pp. 45. – https://doi.org/10.30977/BUL.2219-5548.2018.80.0.45. (In Eng.).
- Chakraborty, P., et al. (2020) P2c2: Peer-to-peer car charging. In 2020 IEEE 91st Vehicular Technology Conference (VTC2020-Spring), pp. 1–5. – https://doi.org/10/1109/VTC2020-Spring48590.2020.9128955. (In Eng.).
- International Energy Agency (2024) Global EV Outlook 2024: Moving towards increased affordability. Available at: https://iea.blob.core.windows.net/assets/a9e3544b-0b12-4e15-b407-65f5c8ce1b5f/GlobalEVOutlook2024.pdf (In Eng.).
- Hooftman, N., et al. (2018) In-life range modularity for electric vehicles: The environmental impact of a range-extender trailer system. Applied Sciences (Switzerland). Vol. 8. No. 7, pp. 1016. – https://doi.org/10.3390/app8071016. (In Eng.).
- Ibragimov, B., Rashidov, A. (2022) Opportunities for the development of electric vehicles in the republic of Uzbekistan and features of their maintenance. Science and Innovation. Vol. 1. No. 8, pp. 24–32. (In Uzbek.).
- Jeon, S., Choi, D. H. (2021) Optimal energy management framework for truck-mounted mobile charging stations considering power distribution system operating conditions. Sensors. Vol. 21. No. 8, pp. 2798. – https://doi.org/10.3390/s21082798. (In Eng.).
- Safin, A. R., et al. (2022) Study of design features of mobile charging units for electric transport for development of sketch design documentation. Power engineering: research, equipment, technology. Vol. 23. No. 5, pp. 100–114. – https://doi.org/10.30724/1998-9903-2021-23-5-100-114. (In Eng.).
- Sales, L. E., et al. (2020) Probabilistic Analysis based on Steady-state Voltage Level Compliance Indicators for LV Distribution Networks with High PV and EV Penetration. 2020 IEEE PES Transmission & Distribution Conference and Exhibition-Latin America (T&D LA). pp. 1–6. – https://doi.org/10/1109/TDLA47668.2020.9326191. (In Eng.).
Supplementary files










