Variability of the Pechora Sea Ice Area and Its Correlation With the Barents Sea Surface Temperature According to Satellite Observations and Reanalysis
- Authors: Lvova E.V.1, Zabolotskikh E.V.1
-
Affiliations:
- Russian State Hydrometeorological University
- Issue: Vol 63, No 4 (2023)
- Pages: 625-638
- Section: Sea, river and lake ices
- URL: https://bakhtiniada.ru/2076-6734/article/view/162341
- DOI: https://doi.org/10.31857/S2076673423040105
- EDN: https://elibrary.ru/YHBVFQ
- ID: 162341
Cite item
Full Text
Abstract
Received June 28, 2023; revised September 6, 2023; accepted October 2, 2023
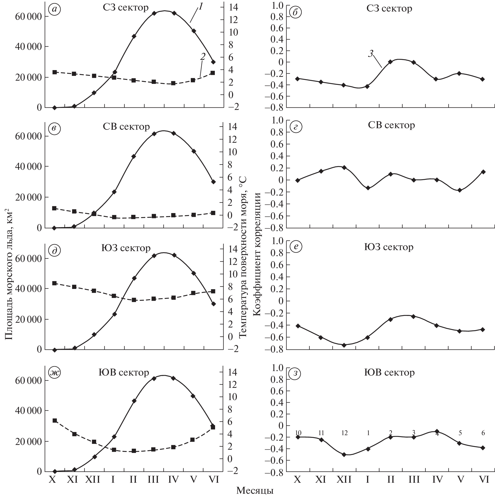
Variability of the Pechora Sea ice cover and the Barents Sea surface temperature during the season from October to June in 2002–2022 (except the season of 2011/2012) was studied on the basis of satellite observations and reanalysis ERA5. Influence of the sea surface temperature on the ice cover was also analyzed but without considering the other hydrometeorological parameters. Areas of the sea ice cover characteristics were calculated using data on the sea ice closeness obtained from the Advanced Microwave Scanning Radiometer 2 measurements. To analyze the variability of sea surface temperature, we used the average daily data of the European Centre for Medium-Range Weather Forecasts ERA5 reanalysis obtained by averaging hourly data. To study the spatial and temporal variability of sea ice cover and sea surface temperature, fields of daily averaged parameters were mapped. These maps and values of areas of the sea ice cover were analyzed. This made possible to reveal regularities of development of the sea ice processes in the Pechora Sea, to calculate the general trend of the sea ice area change over the considered period of time, and to divide the Barents Sea into four sectors with significantly different average values of the sea surface temperature: southwestern, northwestern, southeastern, northeastern ones. The seasonal and interannual variabilities of the Pechora Sea ice cover and the Barents Sea surface temperature were analyzed. To study the effect of sea surface temperature in different sectors of the Barents Sea on the sea ice area, the method of statistical analysis (Pearson’s linear correlation) was used for the monthly average data and the data, averaged over the sea ice season (from October to June) with different time lags. Significant correlation coefficients were obtained only for a two-month lag. With such a lag, high values of the inverse correlation coefficients were revealed between the sea surface temperature in the southwestern (up to –0.8) and northwestern (up to –0.6) sectors of the Barents Sea and sea ice area of the Pechora Sea, while in other sectors the correlation was significantly smaller or even below the significance level.
Keywords
About the authors
E. V. Lvova
Russian State Hydrometeorological University
Author for correspondence.
Email: Lvova317@gmail.com
Russia, St. Petersburg
E. V. Zabolotskikh
Russian State Hydrometeorological University
Email: Lvova317@gmail.com
Russia, St. Petersburg
References
- Gidrometeorologiya i gidrohimiya morej SSSR. T. 1. Barentcevo more. Hydrometeorology and hydrochemistry of the USSR seas. V. 1. Barents Sea. Leningrad: Hydrometeoisdat, 1990: 280 p. [In Russian].
- Zabolotskikh E.V., Balashova E.A. Sea Ice Dynamics in the Pechora Sea in Winter 2019/2020. Fundamentalnaya i Prikladnaya Gidrofizika. Fundamental and applied hydrophysics. 2021, 14 (1): 97–105 [In Russian]. https://doi.org/10.7868/S207366732101010X
- Zubakin G.K., Suhih N.A., Ivanov N.E., Nesterov A.V., Gudoshnikov Yu.P. Variability and conjugation of current velocity, drift of ice and wind in the Pechora Sea in 2001–2003. Trudy Mezhdunarodnoj konferencii i vystavki po osvoeniyu nefti i gaza Rossijskoj Arktiki i kontinental’nogo shel’fa RAO/CIS Offsho. Proceedings of the International Conference and Exhibition on Oil and Gas Development of the Russian Arctic and the Continental Shelf RAO/CIS Offshore. Saint-Petersburg, 2015: 610–615 [In Russian].
- Ivanov V.V., Alekseev V.A., Repina I.A. Increasing impact of Atlantic waters on the ice cover of the Arctic Ocean. Turbulentnost’, dinamika atmosfery i klimata: Trudy mezhdunarodnoj konferencii pamyati akademika A.M. Obuhova. Turbulence, Atmospheric and Climate Dynamics: Proceedings of the International Conference in Memory of Academician A.M. Obukhov, 2014: 267–273 [In Russian].
- Kotlyakov V.M. Sea ice. Morskoj lyod. Bol’shaya rossijskaya enciklopediya. Great Russian Encyclopedia. 2012, 21: 172 [In Russian].
- Pechorskoe more. Sistemnye issledovaniya (gidrofizika, gidrologiya, optika, biologiya, himiya, geologiya, ekologiya, socioekonomicheskie problemy). Pechora Sea. System research (hydrophysics, hydrology, optics, biology, chemistry, geology, ecology, socio-economic problems). Moscow: “Sea”, 2003: 486 p. [In Russian].
- Ryabchenko S.V., Drachkova L.N., Evdokimova I.O., Zarubina L.A., Popkova S.V. Tematicheskij otchyot № 2 po ledovym usloviyam Pechorskogo morya. Thematic report No. 2 on the ice conditions of the Pechora Sea. Arkhangelsk: Northern Arctic Federal University, 2020: 40 p. [In Russian].
- Fedorov V.M., Grebennikov P.B., Frolov D.M. Assessment of the role of the insolation factor in changes in the area of sea ice in the Russian Arctic. Earth’s Сryosphere. 2020. 14 (3): 38–50 [In Russian]. https://doi.org/10.21782/KZ1560-7496-2020-3(38-50)
- Frolov I.E., Gudkovich Z.M., Karklin V.P., Kovalyov E.G., Smolyanickij V.M. Nauchnye issledovaniya v Arktike. Scientific research in the Arctic. Saint Petersburg: “Science”, 2007: 135 p. [In Russian].
- Shalina E.V. Regional features of changes in the ice situation in the seas of the Russian Arctic and along the Northern Sea Route according to satellite observations. Sovremennye problemy distancionnogo zondirovaniya Zemli iz kosmosa. Modern problems of remote sensing of the Earth from space. 2021, 18 (5): 201–213 [In Russian].
- Аrthun M., Eldevik T., Smedsrud L. H., Skagseth Ø., Ingvaldsen R.B. Quantifying the Influence of Atlantic Heat on Barents Sea Ice Variability and Retreat. Journ. of Climate. 2012, 25 (13): 4736–4743. https://doi.org/10.1175/JCLI-D-11-00466.1
- Beer E., Eisenman I., Wagner T.J.W. Polar amplification due to enhanced heat flux across the halocline. Geophys. Research Letters. 2020, 47 (4). https://doi.org//10.1029/2019GL086706
- Bintanja R., Graversen R., Hazeleger W. Arctic winter warming amplified by the thermal inversion and consequent low infrared cooling to space. Nature Geoscience. 2011, 4: 758–761. https://doi.org/10.1038/ngeo1285
- Comiso J.C. Global Surface Temperature Trends and Arctic Amplification. AGU Fall Meeting Abstracts. 2016. Copernicus Climate Change Service. Retrieved from: https://climate.copernicus.eu/ (Last access: 15 July 2023)
- Dai A., Luo D., Song M., Jiping L. Arctic amplification is caused by sea-ice loss under increasing CO2. Nature Communactions. 2019, 10 (121). https://doi.org/10.1038/s41467-018-07954-9
- Herbaut C., Houssais M., Close S., Blaizot A. Two wind-driven modes of winter sea ice variability in the Barents Sea. Deep Sea Research. 2015, 106: 97–115. https://doi.org/10.1016/j.dsr.2015.10.005
- Hersbach H., Bell B., Berrisford P., Biavati G., Horányi A., Muñoz Sabater J., Nicolas J., Peubey C., Radu R., Rozum I., Schepers D., Simmons A., Soci C., Dee D., Thépaut J.-N. ERA5 hourly data on single levels from 1940 to present. Copernicus Climate Change Service (C3S) Climate Data Store (CDS). 2023. https://doi.org./10.24381/cds.adbb2d47
- Landrum L., Holland M.M. Extremes become routine in an emerging new Arctic. Nature Climatology Change. 2020, 10: 1108–1115. https://doi.org/10.1038/s41558-020-0892-z
- Lind S., Ingvaldsen R.B. Variability and impacts of Atlantic Water entering the Barents Sea from the north. Deep Sea Research. 2012, 62: 70–88. https://doi.org/10.1016/j.dsr.2011.12.007
- Lundhaug M. ERS SAR studies of sea ice signatures in the Pechora Sea and Kara Sea region. Canadian Journ. of Remote Sensing. 2002, 28 (2): 114–127. https://doi.org/10.5589/m02-022
- Maslanik J., Stroeve J., Fowler C., Emery W. Distribution and trends in Arctic sea ice age through spring 2011. Geophys. Research Letters. 2011: 38. https://doi.org/10.1029/2011GL047735
- Meleshko V.P., Pavlova T., Bobylev L.P., Golubkin P. Current and Projected Sea Ice in the Arctic in the Twenty-First Century. Sea Ice in the Arctic: Past, Present and Future. Springer Nature. 2020: 399–463. https://doi.org/10.1007/978-3-030-21301-5
- Ogorodov S.A., Kamalov A.M., Zubakin G.K., Gudoshnikov Yu.P. The role of sea ice in coastal and bottom dynamics in the Pechora Sea. Geo-Marine Letters. 2005, 25 (2): 146–152. https://doi.org/10.1007/s00367-004-0196-8
- Pavlova O., Pavlov V., Gerland S. The impact of winds and sea surface temperatures on the Barents Sea ice extent, a statistical approach. Journ. of Marine Systems. 2014, 130: 248–255. https://doi.org/10.1016/j.jmarsys.2013.02.011.
- Schlichtholz P., Houssais M.-N. Forcing of oceanic heat anomalies by air-sea interactions in the Nordic Seas area. Geophys. Research. 2011, 116. https://doi.org./10.1029/2009JC005944
- Skagseth Ø., Eldevik T., Аrthun M. Reduced efficiency of the Barents Sea cooling machine. Nature Climate Change. 2020, 10: 661–666. https://doi.org/0.1038/s41558-020-0772-6.
- Skjoldal H.R., Fuglestad J.L., Benestad R., Ivanov V., Jørgensen L.L., Kovacs K.M., Nilssen F., Tchernova J. Ecosystems of the Barents Sea Region. Governing Arctic Seas: Regional Lessons from the Bering Strait and Barents Sea. Switzerland: Springer Nature. 2019: 119–142. https://doi.org/10.1007/978-3-030-25674-66
- Sorteberg A., Kvingedal B. Atmospheric Forcing on the Barents Sea Winter Ice Extent. Climate. 2006, 19: 4772–4784. https://doi.org/10.1175/JCLI3885.1.
- Stroeve J., Notz D. Changing state of Arctic sea ice across all seasons // Environmental Research Letters. 2018, 13 (10). https://doi.org./10.1088/1748-9326/aade56
- Tschudi M.A., Meier W.N., Stewart J.S. An enhancement to sea ice motion and age products at the National Snow and Ice Data Center (NSIDC). The Cryosphere. 2020, 14 (5): 1519–1536. https://doi.org/10.5194/tc-14-1519-2020, 2020
Supplementary files








