Anthropogenic Influence on the Microclimate and Glaciation of the Kungur Ice Cave during the Period of Maximum Tourist Load
- Authors: Kazantseva A.S.1,2, Krasikov A.V.1
-
Affiliations:
- Mining Institute of the Ural Branch of the Russian Academy of Sciences
- Perm State University
- Issue: Vol 63, No 4 (2023)
- Pages: 612-624
- Section: Ground ices and icings
- URL: https://bakhtiniada.ru/2076-6734/article/view/162338
- DOI: https://doi.org/10.31857/S2076673423040087
- EDN: https://elibrary.ru/HBXDPP
- ID: 162338
Cite item
Full Text
Abstract
Received January 25, 2023; revised July 6, 2023; accepted October 2, 2023
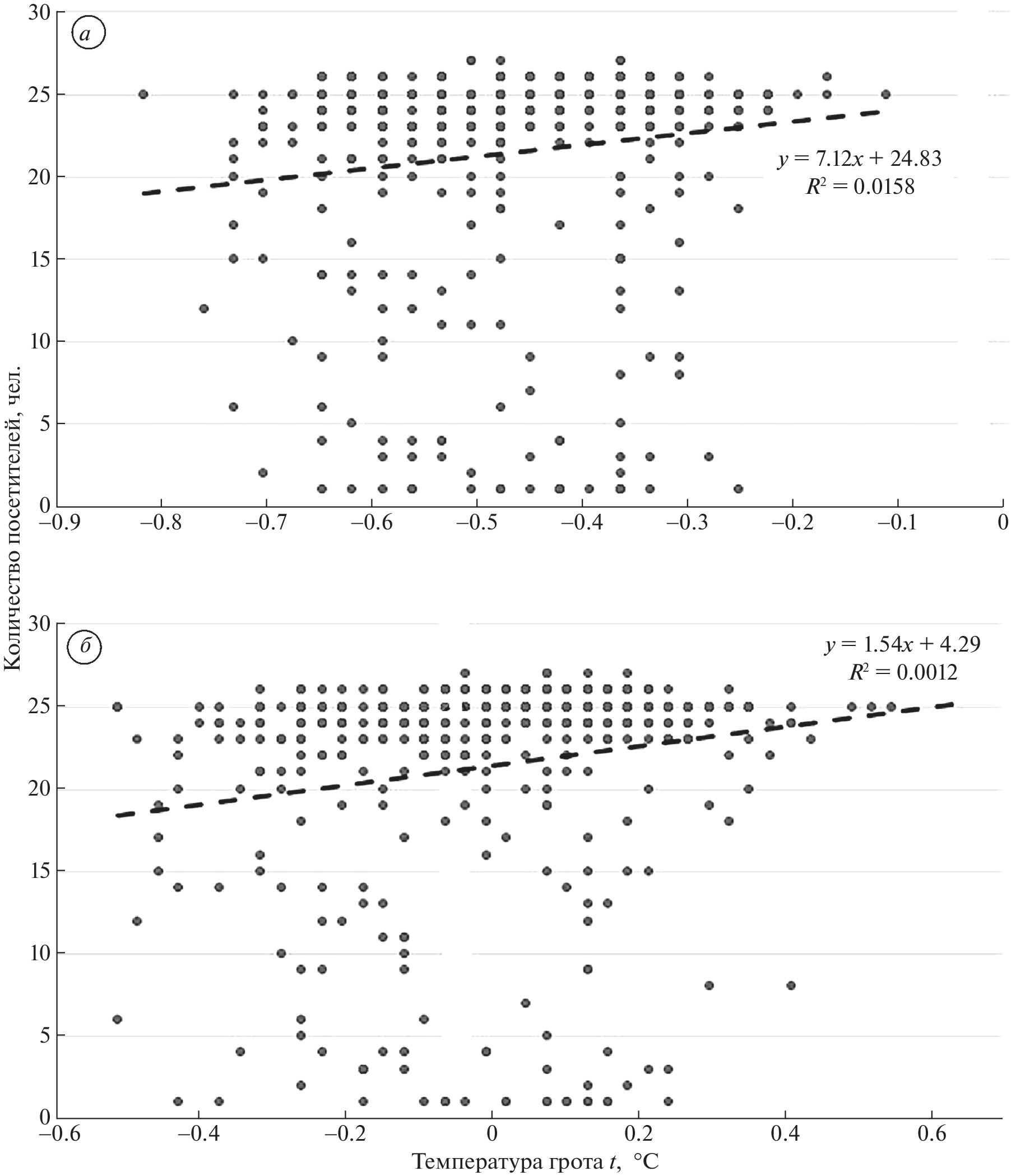
The Kungur Ice Cave is visited by thousands of tourists every year, so the question of anthropogenic influence on changing its state is acute. Snow and ice formations are the main attraction of the cave. From the moment of discovery and improvement of the cave, the thickness of glaciation began to depend not only on natural, but also on technical and anthropogenic conditions. First, this is a change in the temperature of the outside air, the annual rise of underground and surface waters (the Sylva River), the construction of inlet and outlet tunnels, artificial ventilation, and the number of tourists. To assess the impact of the flow of tourists on the microclimatic characteristics of the Cave, the staff of the Kungur Stationary Laboratory conducted research during the period of maximum anthropogenic load in the summer of 2022. The data analyzed in this article made it possible to clarify that the existing tourist load has an insignificant impact on the microclimate of the Cave. After the passage of each group of tourists, the air temperature in the grottoes slightly increases (by a maximum of 0.1–0.2°C) but is restored during the daytime within 4–12 minutes, and at night the temperature regime is completely restored. The maximum tourist load per day is 825–925 people or more, depending on the operating mode of the Cave. Thus, the visiting regulations and the allowed throughput of the cave are currently chosen correctly. The number of tourists is not so large as to limit the visit to the Cave to protect the ice formations, especially since the first-year ice is renewed every winter.
About the authors
A. S. Kazantseva
Mining Institute of the Ural Branch of the Russian Academy of Sciences; Perm State University
Author for correspondence.
Email: kazanalena@bk.ru
Russia, Perm; Russia, Perm
A. V. Krasikov
Mining Institute of the Ural Branch of the Russian Academy of Sciences
Email: kazanalena@bk.ru
Russia, Perm
References
- Andreychuk V.N., Dorofeev E.P. Anthropogenic factor and Kungur cave. Kungurskaya ledyanaya peshchera. Kungur Ice Cave. 1995. № 1: 85–99 [In Russian].
- Anisimova N.V. Thermometry as a method of functional diagnostics. Izvestiya PGPU. Fiziologiya i gigiena cheloveka. News of the PGPU. Physiology and hygiene of a person. 2007, 5 (9): 36–38 [In Russian].
- Dublyansky V.N. Entertaining speleology. Chelyabinsk: Izdatel’stvo Ural LTD. Ural Publishing House LTD, 2000: 528 [In Russian].
- Dublyanskaya G.N., Dublyansky V.N., Kadebskaya O.I., Kadebsky Yu.V., Kataev V.N., Lavrov I.A., Lavrova N.V., Mavlyudov B.R., Maksimovich N.G., Moloshtanova N.E., Nazarova U.V., Nikiforova I.A., Pankov N.N., Pyatunin M.S., Thin K.O., Shuvalov V.M., Kungurskaya Ledyanaya peshchera: opyt rezhimnyh nablyudenij. Kungurskaya Ice Cave: the experience of regime observations. Ekaterinburg: Ural Branch of the Russian Academy of Sciences, 2005: 385 [In Russian].
- Kadebskaya O.I. Microclimate changes and pollution of karst waters in the Kungur Ice Cave. Problemy kompleksnogo monitoringa na mestorozhdeniyah poleznyh iskopaemyh. Sbornik dokladov. Problems of integrated monitoring at mineral deposits. Collection of reports. Perm: Mining Institute of the Ural Branch of the Russian Academy of Sciences, 2002: 2019–2022 [In Russian].
- Kadebskaya O.I. The influence of tourist and excursion activities on the thermal balance of the Kungur Ice Cave. Strategiya i processy osvoeniya georesursov. Strategy and processes of development of geo resources. Perm: Mining Institute of the Ural Branch of the Russian Academy of Sciences, 2004: 56–58 [In Russian].
- Kadebskaya O.I. Environmental management within the specially protected natural area of the regional destination “Ice Mountain and Kungur Ice Cave”. Geografi-cheskij vestnik. Geographical Bulletin. 2008, 2 (8): 214–221 [In Russian].
- Kadebskaya O.I., Dublyansky V.N. Po Kungurskoj Ledyanoj peshchere. On the Kungur Ice Cave. 2004: 91 [In Russian].
- Kazantseva A.S., Kadebskaya O.I. Dynamics of glaciation in the Kungur Ice Cave. Geograficheskij vestnik. Geographical Bulletin. 2017, 4 (43): 5–11 [In Russian].
- Kazantseva A.S., Krasikov A.V. Seasonal variations of the gas composition of the air in the Kungur Ice Cave. Gornoe ekho. Vest. Gornogo in-ta UrO RAN. Mountain echo. Perm: Bulletin of the Mining Institute of the Ural Branch of the Russian Academy of Sciences, 2017: 2 (67). 33–37 [In Russian].
- Koshkin M.D., Plotnikova K.R., Kotilevets I.D. About some features of patient temperature monitoring. Aktual’nye voprosy razvitiya sovremennoj cifrovoj sredy. Topical issues of the development of the modern digital environment. Volgograd: Sirius Publishing House, 2021: 105–111 [In Russian].
- Krasikov A.V. Clarification of morphometric indicators of grottos and galleries of the Kungur ice Cave based on the results of topographic and geodetic works. Izvestiya vuzov. Gornyj zhurnal. News of the Higher Institutions. Mining Journ. 2022, 4: 76–89 [In Russian].
- Kazantseva A.S., Krasikov A.V. Factors affecting the dynamics of CO2 content within the underground space (on the example of the Kungur Ice Cave). Bulletin of the Institute of Geology, Komi Scientific Center, Ural Branch of the Russian Academy of Sciences. Syktyvkar: Vestnik Instituta geologii Komi NTS UrO RAN. 2019, 9: 3–9 [In Russian].
- Lobanov YU.E. Negative temperature anomalies and morphology of caves in carbonate massifs. Akkumulyatsiya zimnego kholoda v gornykh porodakh i ego ispol’zovanie v narodnom khozyajstve. Accumulation of winter cold in rocks and its use in the national economy. Perm, 1981: 28–30 [In Russian].
- Lukin V.S. Observations of the air regime of karst massifs on the example of the Kungur Ice Cave. Trudy In-ta geologii UFAN SSSR. Sverdlovsk: Proc. of the Institute of Geology of the UFAN of the USSR. 1962, 62: 107–119 [In Russian].
- Lyakhnitskij Yu.S., Chujko M.A. Comprehensive research of the Kapova Cave. Peshhery. Caves. 1999, 25–26: 21–37 [In Russian].
- Lyakhnitskij, Yu.S., Yushko A.A., Minnikov O.A., Cher-vyatsova O.YA. The results of comprehensive studies of the Kapova Cave (Shulgan-Tash) and the problem of its conservation. Speleologiya i spelestologiya: sbornik materialov konferencii. Speleology and spelestology: a collection of conference materials. 2010, 1: 13–17 [In Russian].
- Mavlyudov B.R., Kuderina T.M., Grabenko E.A., Medvedev A.A., Ehkba Ya.A. Climate of the New Athos Cave. Voprosy geografii. Speleologiya i karstovedenie. Questions of geography. Speleology and karst studies. 2018, 147: 218–243 [In Russian].
- Sikarishvili K.D. Study of the microclimate of the New Athos cave. Peshchery Gruzii. Caves of Georgia. 1978, 7: 17–25 [In Russian].
- Shсhekhovskij E.A., Kustikova M.A. Characterization of the Tanechkina (Staraya Ladoga) cave as a wintering place for bats Moskovskij ehkonomicheskij zhurnal. Moscow Economic Journ. 2020, 6: 1–24 [In Russian].
Supplementary files







