Дизайн, синтез и оценка биологической активности гидроксамовых производных сорафениба
- Авторы: Клеймёнова А.А.1, Абрамов И.А.1, Ткачев Я.В.1, Галеева П.С.1, Клеймёнова В.А.2, Закирова Н.Ф.1, Кочетков С.Н.1, Козлов М.В.1
-
Учреждения:
- Институт молекулярной биологии им. В.А. Энгельгардта РАН
- Первый Московский государственный медицинский университет им. И.М. Сеченова Минздрава России (Сеченовский университет)
- Выпуск: Том 17, № 3 (2025)
- Страницы: 56-66
- Раздел: Экспериментальные статьи
- URL: https://bakhtiniada.ru/2075-8251/article/view/348465
- DOI: https://doi.org/10.32607/actanaturae.27566
- ID: 348465
Цитировать
Аннотация
Получены гидроксамовые производные ингибитора тирозиновых протеинкиназ сорафениба, в структуру которого были введены элементы фармакофора ингибиторов цинкзависимых гистондеацетилаз. Показано, что подавление пролиферации опухолевых клеток полученными гибридными ингибиторами критически зависит от структуры «деацетилазной» компоненты.
Полный текст
СПИСОК СОКРАЩЕНИЙ
PTKs – тирозиновые протеинкиназы; HDACs – цинкзависимые гистондеацетилазы; В-RAF – сигнальная тирозинкиназа; SRF – сорафениб; DMSO-d6 – дейтерированный диметилсульфоксид; IC50 – концентрация, вызывающая 50% снижение количества клеток; АМС – 7-амино-4-метилкумарин.
ВВЕДЕНИЕ
Гепатоцеллюлярная карцинома (ГЦК) – одна из самых трудноизлечимых гетерогенных форм рака [1]. В качестве препарата первой линии для лечения поздних неоперабельных стадий заболевания хорошо зарекомендовал себя сорафениб (SRF, рис. 1) – мультипотентный ингибитор тирозиновых протеинкиназ (PTKs): сигнальной RAF, рецепторных тирозинкиназ VEGFR и PDGFR и некоторых других [2]. Однако длительное применение сорафениба неэффективно из-за приобретенной или наследственной резистентности у части трансформированных гепатоцитов [3].
Рис. 1. Структура сорафениба (SRF) и вориностата (SAHA) с выделенными элементами фармакофора: кеп (cap) – синий, соединительный элемент (CU) – коричневый, линкер (linker) – зеленый, цинк-связывающая группа (ZBG) – красный
Совместное применение сорафениба с мультипотентными ингибиторами цинкзависимых гистондеацетилаз (HDACs) является перспективным направлением лечения ГЦК, так как многие ингибиторы HDACs демонстрируют не только антипролиферативную активность сами по себе, но и синергичное действие в комбинации с сорафенибом [4]. Так, например, сочетание сорафениба с вориностатом (SAHA, рис. 1) эффективно инициирует апоптоз в клетках гепатомы [5], а комбинация с вальпроевой кислотой (VPA) сильно замедляет возникновение устойчивости [6]. По сравнению с сочетанным применением двух препаратов мономолекулярные гибриды имеют более предсказуемые фармакокинетические и фармакодинамические параметры, включая метаболизм и биодоступность. Кроме того, их применение гарантирует одновременную активацию нескольких противоопухолевых механизмов в опухолевом очаге в необходимом оптимальном соотношении [7]. Таким образом, создание гибридных ингибиторов PTKs/HDACs представляется весьма перспективным и актуальным направлением исследований.
В фармакофоре ингибиторов гистондеацетилаз (HDACi) в совокупности выделяют четыре элемента: (а) цинк-связывающую группу (ZBG); (б) линкер (linker), занимающий «лизиновый канал» активного центра, который ведет к каталитическому иону цинка; (в) соединительный элемент (connecting unit, CU) и (г) ароматический/гетероциклический фрагмент (cap), отвечающий за распознавание поверхности активного центра фермента у входа в «лизиновый канал» [8]. Нами синтезированы новые гибридные ингибиторы – гидроксамовые производные сорафениба, в структуру которого введены элементы фармакофора ингибиторов цинкзависимых гистондеацетилаз. Изучена антипролиферативная активность полученных соединений, а также класс-селективность ингибирования HDACs.
ЭКСПЕРИМЕНТАЛЬНАЯ ЧАСТЬ
В работе использовали: аминокапроновую кислоту, 4-(аминометил)-бензойную кислоту, диазабициклоундецен (DBU), 1,1’-карбонилдиимидазол (CDI), гидроксиламин гидрохлорид, гидроксиламин 50% водный раствор, гидразин гидрат – все фирмы Sigma-Aldrich (США); этиловый эфир 4-аминобензойной кислоты (Acros Organics, CША) бис(2-оксо-3-оксазолидинил)фосфинхлорид (BOP-Cl) LEAPChem (КНР); 4-формил-N-гидроксибензамид синтезирован согласно [9]. Колоночную хроматографию выполняли на силикагеле Kieselgel 0.060–0.200 мм фирмы Acros Organics, системы для элюции указаны в тексте. ТСХ проводили на пластинках Kieselgel 60 F254 (Supelco, США). Спектры ЯМР (δ, м.д.; J, Гц) регистрировали на спектрометре Avance III (Bruker, ФРГ) c рабочей частотой 300 МГц для 1Н-ЯМР (внутренний стандарт – Me4Si, растворитель DMSO-d6), 100.6 МГц для 13С-ЯМР (с подавлением углерод-протонного взаимодействия, растворитель DMSO-d6) и 282 МГц для 19F-ЯМР (растворитель DMSO-d6). Химические сдвиги приведены в миллионных долях, КССВ – в герцах. Спектры 1H-ЯМР NOESY и ROESY записывали в сухом DMSO-d6. Время смешивания, использованное при записи спектров NOESY, подбирали специально для максимизации интенсивности дипольных кросс-пиков (0.25 с).
Синтез гидроксамовых производных сорафениба – SRF-CHA, SRF-BHA, SRF-THA и SRF-H-BHA
(i) SRF-CA
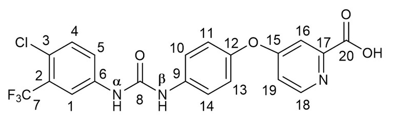
6-(4-(4-(3-(4-хлор-3-(трифторметил)фенил)уреидо)фенокси)пиколинамид)гексановая кислота (SRF-CA). Смесь 466 мг (1 ммоль) метилового эфира сорафенибкарбоновой кислоты (SRF-ME) [10], 262 мг (2 ммоль) аминокапроновой кислоты и 383 мг (2.5 ммоль) DBU в 10 мл МеОН перемешивали при кипячении в течение 6 ч. Охлаждали до комнатной температуры, разбавляли реакционную смесь 10 мл Н2О, нейтрализовали с помощью HСl (1:1) до pH 5–6 и охлаждали при 10ºС в течение 18 ч. Выпавший осадок затирали, отфильтровывали, промывали Н2О и сушили на воздухе. Продукт выделяли хроматографией на силикагеле, используя в качестве элюента смесь СНСl3–EtOH, 10 : 1. Отобранные фракции упаривали, остаток растворяли в 3 мл СНСl3 и охлаждали при 10ºС в течение 18 ч. Выпавший осадок отфильтровывали, промывали СНСl3 и после высушивания на воздухе получали 400 мг (71%) SRF-CA. Спектр 1Н-ЯМР (DMSO-d6): δ 11.94 (1H, c, OH), 9.20 (1H, c, NHα), 8.97 (1H, c, NHβ), 8.76 (1H, т, J 6.0, NHγ), 8.51 (1H, д, J 5.6, Н18), 8.12 (1H, д, J 2.1, Н16), 7.73–7.53 (4H, м, Н4, Н10 и Н14, Н19), 7.40 (1Н, д, J 2.5, H1), 7.24–7.08 (3H, м, Н5, Н11 и Н13), 3.26 (2H, к, J 6.5, H1´), 2.19 (2H, т, J 7.3, Н5´), 1.65–1.43 (4H, м, Н2´ и Н4´), 1.36–1.20 (2H, м, Н3´). Спектр 13С-ЯМР (DMSO-d6): δ 174.87 (С6´), 166.46 (С15), 163.60 (С20), 152.96 (C8 или C17), 152.94 (С8 или C17), 150.77 (С18), 148.35 (C12), 139.80 (C9), 137.51 (C6), 132.44 (С4 или С5), 127.21 (к, J 30.3, C2), 123.57 (С4 или С5), 123.29 (к, J 273, C7), 122.85 (С3), 121.89 (C10 и C14), 121.00 (С11 и С13), 117.33 (к, J 5.5, С1), 114.53 (С19), 109.24 (С16), 39.17 (С1´), 34.04 (С5´), 29.30 (С2´), 26.41 (С3´), 24.68 (С4´). Сигнал 19F-ЯMР (DMSO-d6): δ -61.47 (СF3).
(ii) SRF-CHA
4-(4-(3-(4-хлор-3-(трифторметил)фенил)уреидо)фенокси)-N-(6-(гидроксиамино)-6-оксогексил)пиколинамид (SRF-CHA). К раствору 363 мг (0.643 ммоль) SRF-СА в 0.7 мл DMF добавляли 115 мг (0.71 ммоль) CDI. Через 1 ч 40 мин добавляли 70 мг (1.00 ммоль) гидроксиламина гидрохлорида, перемешивали до растворения в течение 10 мин и оставляли на 2 ч. Разбавляли реакционную смесь 3.5 мл Н2О и охлаждали при 10ºС в течение 18 ч. Супернатант декантировали, а выпавшее масло затирали в 7 мл холодной воды до рыхлого осадка, отфильтровывали и подсушивали на воздухе. Продукт выделяли хроматографией на силикагеле, используя в качестве элюента смесь СНСl3–EtOH, сначала 7.5 : 1, а затем 5 : 1. Отобранные фракции упаривали и получали 262 мг (70%) SRF-CНA. Спектр 1Н-ЯМР (DMSO-d6): δ 10.30 (1H, c, NHδ), 9.23 (1H, c, NHα), 9.01 (1H, c, NHβ), 8.75 (1H, т, J 5.9, NHγ), 8.63 (1H, c, OH), 8.51 (1H, д, J 5.5, Н18), 8.13 (1H, с, Н16), 7.74–7.54 (4H, м, Н4, Н10 и Н14, Н19), 7.39 (1Н, д, J 2.3, H1), 7.22–7.12 (3H, м, Н5, Н11 и Н13), 3.25 (2H, к, J 6.6, H1´), 1.94 (2H, т, J 7.3, Н5´), 1.61–1.41 (4H, м, Н2´ и Н4´), 1.34–1.17 (2H, м, Н3´). Спектр 13С-ЯМР (DMSO-d6): δ 169.57 (С6´), 166.47 (С15), 163.60 (С20), 152.95 (C8 и C17), 150.77 (С18), 148.35 (С12), 139.79 (С9), 137.51 (С6), 132.44 (С4 или С5), 127.21 (к, J 30.7, С2), 123.58 (С4 или С5), 123.29 (к, J 273, C7), 122.85 (С3), 121.89 (C10 и C14), 121.00 (С11 и С13), 117.33 (к, J 5.5, С1), 114.54 (С19), 109.24 (С16), 39.21 (С1´), 32.67 (С5´), 29.34 (С2´), 26.49 (С3´), 25.33 (С4´). Сигнал 19F-ЯMР (DMSO-d6): δ -61.47 (СF3).
(iii) SRF-A
4-(4-(3-(4-хлор-3-(трифторметил)фенил)уреидо)фенокси)пиколиновая кислота (SRF-A). В 12 мл смеси THF–MeOH–H2O, 1 : 1 : 1, растворяли 0.67 г (12 ммоль) КОН и добавляли при перемешивании 2.32 г (5 ммоль) SRF-ME двумя равными порциями с интервалом 10 мин и после растворения исходного соединения оставляли при комнатной температуре на 1 ч. Разбавляли реакционную смесь 12 мл Н2О, нейтрализовали с помощью HCl (1 : 1) до pH ≈1.5, затирали выпавший осадок, добавляли еще 12 мл Н2О и охлаждали при 10ºС в течение 1 ч. Осадок отфильтровывали, промывали Н2О и после высушивания на воздухе получали 2.20 г (97%) SRF-A. Спектр 1Н-ЯМР (DMSO-d6): δ 9.29 (1H, c, NHα), 9.06 (1H, c, NHβ), 8.58 (1H, д, J 5.7, Н18), 8.13 (1H, д, J 2.4, Н16), 7.70–7.56 (4H, м, Н4, Н10 и Н14, Н19), 7.44 (1Н, д, J 2.5, H1), 7.24–7.13 (3H, м, Н5, Н11 и Н13). Спектр 13С-ЯМР (DMSO-d6): δ 166.47 (С20), 165.85 (С15), 152.96 (C8), 151.19 (С18), 150.86 (С17), 148.20 (С12), 139.81 (C9), 137.65 (C6), 132.44 (С4 или С5), 127.21 (к, J 30.5, C2), 123.54 (C4 или С5), 123.28 (к, J 273, C7), 122.83 (С3), 121.84 (C10 и C14), 120.99 (С11 и С13), 117.30 (к, J 5.5, С1), 115.12 (С19), 112.32 (С16). Сигнал 19F-ЯMР (DMSO-d6): δ -61.46 (СF3).
(iv) SRF-BEE
Этил 4-(4-(4-(3-(4-хлор-3-(трифторметил)фенил)уреидо)фенокси)пиколинамид)бензоат (SRF-BEE). К суспензии 452 мг (1 ммоль) SRF-А в 10 мл смеси пиридин–THF, 1 : 1, добавляли 300 мг (1.18 ммоль) BOP-Cl и перемешивали в течение 10 мин, после чего добавляли 230 мг (1.39 ммоль) этилового эфира п-аминобензойной кислоты (АБКЭ). Реакционную смесь перемешивали при комнатной температуре в течение 1.5 ч, после чего добавляли еще 300 мг (1.18 ммоль) BOP-Cl и через 10 мин – 230 мг (1.39 ммоль) АБКЭ, продолжали перемешивание в течение 1.5 ч при комнатной температуре. Добавляли 30 мл воды и перемешивали в течение 1–1.5 ч до формирования гомогенного осадка, после чего отфильтровывали, промывая водой (3 раза по 20 мл). После высушивания на воздухе осадок суспендировали в 10 мл метанола, фильтровали, промывали 5 мл метанола, фильтровали и после высушивания на воздухе получали 442 мг (74%) SRF-BEE. Спектр 1Н-ЯМР (DMSO-d6): δ 10.93 (1H, c, NHγ), δ 9.22 (1H, c, NHα), 9.01 (1H, c, NHβ), 8.64 (1H, д, J 5.6, Н18), 8.13 (1H, д, J 1.9, Н16), 8.05 (2H, д, J 8.8, Н3´ и Н5´), 7.95 (2H, д, J 8.7, Н2´ и Н6´), 7.71–7.59 (4Н, м, Н4, Н10 и Н14, Н19), 7.54 (1Н, д, J 2.5 H1), 7.29–7.16 (3H, м, Н5, Н11 и Н13), 4.30 (2Н, к, J 7.1, Н8´), 1.32 (3Н, т, J 7.1, Н9´). Спектр 13С-ЯМР (DMSO-d6): δ 166.70 (С7´), 165.75 (С15), 162.86 (С20), 152.94 (C8), 152.29 (С17), 150.94 (С18), 148.25 (С12), 142.97 (С1´), 139.78 (C9), 137.62 (C6), 132.43 (С4 или С5), 130.46 (С3´ и С5´), 127.20 (к, J 30.5, C2), 125.48 (С4´), 123.57 (C4 или С5), 123.28 (к, J 273, C7), 122.85 (С3), 121.88 (C10 и C14), 121.02 (С11 и С13), 120.20 (С2´ и С6´), 117.31 (к, J 5.4, С1), 115.19 (С19), 110.02 (С16), 60.93 (С8´), 14.63 (С9´). Сигнал 19F-ЯMР (DMSO-d6): δ -61.44 (СF3).
(v) SRF-BHA
4-(4-(3-(4-хлор-3-(трифторметил)фенил)уреидо)фенокси)-N-(4-(гидроксикарбамоил)-фенил)пиколинамид (SRF-BНА). К раствору 300 мг (0.50 ммоль) SRF-BEE в 7.5 мл смеси MeOH–THF, 1 : 2, добавляли 500 мг (7.58 ммоль) NH2OH (50%), охлаждали до 0ºС и добавляли 56 мг (1.00 ммоль) КОН, растворенного в 1 мл МеОН. Через 30 мин убирали охлаждение и оставляли на 18 ч. Реакционную смесь охлаждали до 0ºС и добавляли 28 мг (0.5 ммоль) КОН, растворенного в 0.5 мл МеОН. Через 30 мин убирали охлаждение и оставляли на 3 ч, после чего добавляли 0.5 мл (8.75 ммоль) АсОН и упаривали до половины исходного объема, добавляли 4 мл МеОН и упаривали также до половины объема. Добавляли к остатку 5 мл МеОН, выпавший осадок затирали, отфильтровывали, высушивали на фильтре и последовательно промывали два раза по 3 мл 2% раствора триэтиламина в МеCN, 3 мл МеCN и 3 мл СН2Сl2, высушивали на воздухе и получали 230 мг (71%) SRF-ВНA. Спектр 1Н-ЯМР (DMSO-d6): δ 11.13 (1H, с, NHδ), δ 10.82 (1H, с, NHγ), δ 9.28 (1H, с, NHα), δ 9.07 (1H, с, NHβ), δ 8.96 (1H, с, OH), 8.63 (1H, д, J 5.6, Н18), 8.13 (1H, д, J 2.0, Н16), 7.96 (2H, д, J 8.7, Н3´ и Н5´), 7.75 (2H, д, J 8.7, Н2´ и Н6´), 7.71–7.58 (4H, м, Н4, Н10 и Н14, Н19), 7.53 (1Н, д, J 2.5, H1), 7.29–7.16 (3H, м, Н5, Н11 и Н13). Спектр 13С-ЯМР (DMSO-d6): δ 166.73 (С7´), 164.35 (С15), 162.86 (С20), 152.97 (C8), 152.43 (С17), 150.94 (С18), 148.26 (С12), 141.18 (С1´), 139.82 (C9), 137.65 (C6), 132.45 (С4 или С5), 128.51 (С4´), 128.03 (С3´ и С5´), 127.21 (к, J 30.8, C2), 123.59 (C4 или С5), 123.29 (к, J 273, C7), 122.84 (д, J 1.5, С3), 121.91 (C10 и C14), 121.03 (С11 и С13), 120.16 (С2´ и С6´), 117.33 (к, J 5.4, С1), 115.16 (С19), 109.93 (С16). Сигнал 19F-ЯMР (DMSO-d6): δ -61.44 (СF3).
(vi) SRF-TA
4-(4-(4-(3-(4-хлор-3-(трифторметил)фенил)уреидо)фенокси)пиколинамид)метилбензойная кислота (SRF-TA). Смесь 466 мг (1 ммоль) SRF-ME, 302 мг (2 ммоль) 4-(аминометил)бензойной кислоты и 383 мг (2.5 ммоль) DBU в 6 мл МеОН перемешивали при кипячении в течение 14 ч. Охлаждали до комнатной температуры, разбавляли реакционную смесь 15 мл Н2О, нейтрализовали с помощью AcOH до pH ≈5–6, затирали выпавший осадок и охлаждали при 10ºС в течение 4 ч. Осадок отфильтровывали, промывали Н2О и высушивали на воздухе. Продукт выделяли хроматографией на силикагеле, используя в качестве элюента смесь СНСl3–EtOH (5 : 1), с добавлением AcOH (1% от общего объема). Отобранные фракции упаривали, остаток затирали в 10 мл МеОН, отфильтровывали, промывали 4 мл МеОН и после высушивания на воздухе получали 269 мг (46%) SRF-ТA. Спектр 1Н-ЯМР (DMSO-d6): δ 12.82 (1H, c, OH), 9.44 (1H, т, J 6.4, NHγ), 9.20 (1H, c, NHα), 8.98 (1H, c, NHβ), 8.54 (1H, д, J 5.6, Н18), 8.12 (1H, д, J 2.4, Н16), 7.89 (2H, д, J 8.3, H4´ и H6´), 7.70–7.57 (4H, м, Н4, Н10 и Н14, Н19), 7.45–7.37 (3Н, м, H1, H3´ и H7´), 7.24–7.13 (3H, м, Н5, Н11 и Н13), 4.54 (2H, д, J 6.3, H1´). Спектр 13С-ЯМР (DMSO-d6): δ 167.64 (С8´), 166.51 (С15), 164.06 (С20), 152.94 (C8 или C17), 152.67 (С8 или C17), 150.93 (С18), 148.31 (C12), 145.00 (С2´), 139.79 (C9), 137.55 (C6), 132.44 (С4 или С5), 129.83 (С4´ и С6´), 129.78 (С5´), 127.75 (С3´ и С7´), 127.21 (к, J 30.6, C2), 123.58 (С4 или С5), 123.29 (к, J 273, C7), 122.83 (С3), 121.91 (C10 и C14), 121.01 (С11 и С13), 117.33 (к, J 5.6, С1), 114.78 (С19), 109.46 (С16), 42.78 (С1´). Сигнал 19F-ЯMР (DMSO-d6): δ -61.45 (СF3).
(vii) SRF-THA
4-(4-(3-(4-хлор-3-(трифторметил)фенил)уреидо)фенокси)N-(4-(гидроксикарбамоил)-бензил)пиколинамид (SRF-ТНА). К раствору 275 мг (0.47 ммоль) SRF-ТА в 0.55 мл DMF добавляли 120 мг (0.74 ммоль) CDI. Через 1 ч 30 мин добавляли 120 мг (1.73 ммоль) гидроксиламингидрохлорида, перемешивали до растворения в течение 10 мин и оставляли на 18 ч. Разбавляли реакционную смесь 7 мл Н2О, тщательно затирали осадок, через 30 мин отфильтровывали, промывали на фильтре 7 мл Н2О, высушивали на воздухе. Продукт выделяли хроматографией на силикагеле, используя в качестве элюента смесь СНСl3–EtOH, 7 : 1. Отобранные фракции упаривали и получали 125 мг (44%) SRF-ТНA. Спектр 1Н-ЯМР (DMSO-d6): δ 11.14 (1H, с, NHδ), 9.41 (1H т, J 6.3, NHγ), 9.23 (1H, с, ОН), 9.01 (1Н, с, NHα), 8.96 (1Н, с, NHβ), 8.54 (1H, д, J 5.6, Н18), 8.12 (1H, д, J 1.8, Н16), 7.76–7.55 (6H, м, Н4, Н10 и Н14, Н19, H4´ и H6´), 7.41 (1Н, д, J 2.5, H1), 7.36 (2Н, д, J 8.2, H3´ и H7´), 7.26–7.12 (3H, м, Н5, Н11 и Н13), 4.50 (2H, д, J 6.3, H1´). Спектр 13С-ЯМР (DMSO-d6): δ 166.50 (С15), 164.63 (С8´), 164.01 (С20), 152.94 (C8 или C17), 152.70 (С8 или C17), 150.93 (С18), 148.32 (C12), 143.12 (С2´), 139.79 (C9), 137.54 (C6), 132.45 (С4 или С5), 131.81 (С5´), 127.66 (С2, С4´ и С6´), 127.37 (C2, С3´ и С7´), 127.01 (C2), 123.58 (С4 или С5), 123.29 (к, J 273, C7), 122.84 (C3), 121.91 (C10 и C14), 121.01 (С11 и С13), 117.33 (к, J 5.4, С1), 114.77 (С19), 109.44 (С16), 42.72 (С1´). Сигнал 19F-ЯMР (DMSO-d6): δ -61.44 (СF3).
(viii) SRF-H
1-(4-хлор-3-(трифторметил)фенил)-3-(4-((2-(гидразинкарбонил)пиридин-4-ил)окси)-фенил)мочевина (SRF-H). К суспензии 466 мг (1 ммоль) SRF-ME в 3 мл смеси MeOH–CH2Cl2, 2 : 1, добавляли 250 мг (5 ммоль) гидразин гидрата и перемешивали в течение 10 мин до растворения исходного соединения. Через 2 ч добавляли 2 мл МеОН и упаривали до густого сиропа, добавляли 10 мл Н2О, затирали до формирования гомогенного осадка, охлаждали при 0ºС в течение 1.5 ч, отфильтровывали, промывали водой (2 раза по 3 мл), после высушивания на воздухе получали 404 мг (87%) SRF-Н. Спектр 1Н-ЯМР (DMSO-d6): δ 9.86 (1H, c, NHγ), 9.19 (1H, c, NHα), 8.97 (1H, c, NHβ), 8.48 (1H, д, J 5.6, Н18), 8.12 (1H, д, J 2.3, Н16), 7.72–7.55 (4H, м, Н4, Н10 и Н14, Н19), 7.38 (1Н, д, J 2.5, H1), 7.17 (2H, д, J 8.9, Н11 и Н13), 7.12 (1Н, дд, J 5.6 и 2.6, H5), 4.56 (2H, c, NHδ). Спектр 13С-ЯМР (DMSO-d6): δ 166.31 (C15), 162.45 (C20), 152.94 (C8), 152.60 (C17), 150.96 (C18), 148.36 (C12), 139.79 (C9), 137.51 (C6), 132.43 (С4 или С5), 127.22 (к, J 30.8, C2), 123.58 (C4 или С5), 123.29 (к, J 273, C7), 122.86 (д, J 1.7, С3), 121.86 (С10 и С14), 121.01 (С11 и С13), 117.34 (к, J 5.7, С1), 114.33 (С19), 109.25 (С16). Сигнал 19F-ЯMР (DMSO-d6): δ -61.45 (СF3).
(ix) SRF-H-BHA
(E)-4-((2-(4-(4-(3-(4-хлор-3-(трифторметил)фенил)уреидо)фенокси)пиколиноил)гидразиноилиден)метил)-N-гидроксибензамид (SRF-H-BHA). К суспензии 233 мг (0.50 ммоль) SRF-Н в 3 мл смеси MeOH–CH2Cl2, 2 : 1, добавляли раствор 85 мг (0.515 ммоль) 4-формил-N-гидроксибензамида [9] в 3.5 мл смеси MeOH–CH2Cl2, 5 : 2, и 30 мкл AcOHкат и перемешивали в течение 5 мин до растворения исходного соединения. Через 4 ч выпавший осадок отфильтровывали, последовательно промывали на фильтре 10 мл EtOH и 5 мл МеОН и после высушивания на воздухе получали 258 мг (84%) SRF-Н-ВНА. Спектр 1Н-ЯМР (DMSO-d6): δ 12.23 (1H, c, NHγ), 11.27 (1H, c, NHδ), 9.25 (1H, c, NHα), 9.08 (1H, c, OH), 9.04 (1H, c, NHβ), 8.69 (1H, с, H1´), 8.60 (1H, д, J 5.6, Н18), 8.13 (1H, д, J 2.2, Н16), 7.84 (2Н, д, J 8.4, Н3´ и Н7´), 7.71 (2Н, д, J 8.4, Н4´ и Н6´), 7.71–7.59 (4H, м, Н4, Н10 и Н14, Н19), 7.50 (1Н, д, J 2.5, H1), 7.25–7.18 (3Н, м, H5, Н11 и Н13). Спектр 13С-ЯМР (DMSO-d6): δ 166.56 (C15), 164.14 (С8´), 160.49 (C20), 152.96 (C8), 152.23 (C17), 151.04 (C18), 148.98 (C1´), 148.27 (C12), 139.80 (C9), 137.62 (C6), 137.23 (C2´), 134.46 (C5´), 132.48 (С4 или С5), 127.93 (С3´ и С7´), 127.47 (С4´ и С6´), 127.21 (к, J 30.7, С2), 123.63 (C4 или С5), 123.30 (к, J 273, С7), 122.86 (д, J 1.3, С3), 121.94 (С10 и С14), 121.05 (С11 и С13), 117.35 (к, J 5.7, С1), 115.16 (С19), 110.14 (С16). Сигнал 19F-ЯMР (DMSO-d6): δ -61.43 (СF3).
Клетки, среды и реагенты
В работе использовали линии клеток гепатоцеллюлярной карциномы Huh7, Huh7.5, HepG2, PLC/PRF/5, колоректального рака HCT116, нейробластомы SH-SY5Y, промиелоцитарного лейкоза HL60 и хронического миелоидного лейкоза K562. Дифференцированные клетки линии HepaRG получены согласно [11]. Сорафениб и вориностат приобретены в Selleck Chemicals, флуорогенные субстраты Boc-Lys(Acyl)-AMC получены как описано ранее [12].
Определение жизнеспособности адгезионных клеток
Линии адгезионных клеток пересевали в 96-луночные культуральные планшеты так, чтобы через 24 ч после посева конфлюентность клеток составляла 50–60%. Клетки инкубировали с исследуемыми ингибиторами в различных концентрациях в течение 48 ч и определяли жизнеспособность клеток с помощью набора Cell Proliferation Kit I (МТТ-тест) в соответствии с указаниями производителя (Sigma-Aldrich, США). Оптическую плотность продукта восстановления, формазана, измеряли с помощью многофункционального ридера Spark (Tecan Trading, Швейцария) на длине волны 544 нм. Проводили не менее шести повторов с каждой концентрацией ингибиторов.
Определение жизнеспособности дифференцированных клеток HepaRG
Недифференцированные клетки линии HepaRG пересевали в 96-луночные культуральные планшеты (~ 5 × 104 клеток на лунку) и инкубировали как описано ранее [11]. По достижении клетками 100% конфлюентности осуществляли их дифференцировку, для чего планшеты с клетками выдерживали в течение 14 дней со сменой среды 1 раз в 7 дней, затем выдерживали в течение 14 дней в среде, содержащей 1.8% DMSO (Sigma), со сменой среды 1 раз в 7 дней. По завершении дифференцировки (28 дней) заменяли среду на среду, содержащую 1.8% DMSO и тестируемые вещества в исследуемых концентрациях, и инкубировали в течение 72 ч. Жизнеспособность клеток определяли с помощью МТТ-теста как описано выше. С каждой концентрацией ингибиторов проводили не менее восьми повторов.
Определение жизнеспособности клеток в суспензионной культуре
Суспензию клеток пересевали в 96-луночные культуральные планшеты (~1.5 × 104 клеток на лунку). Через 24 ч после посева клетки инкубировали с различными концентрациями исследуемых ингибиторов в течение 48 ч, после чего добавляли 10 мкл раствора резазурина в PBS (2 мг/мл) и выдерживали в СО2-инкубаторе в течение 4 ч. Флуоресценцию продукта восстановления, резафурина, измеряли с помощью многофункционального ридера Spark (Tecan Trading, Швейцария) на длинах волн 571ex /584em нм. Для каждой концентрации ингибиторов делали не менее шести повторов.
Клеточная система тестирования силы и селективности ингибирования HDAC
Клетки HCT116 пересевали в 96-луночные культуральные планшеты так, чтобы через 24 ч после посева конфлюентность клеток составляла 70–80%. Клетки инкубировали с различными концентрациями исследуемых ингибиторов в течение 24 ч. Затем три четверти объема из каждой лунки удаляли и заменяли тем же объемом клеточной среды, содержащим как ингибитор в той же концентрации, так и один из трех субстратов, т.е. SubAc/Pro/Tfa, в концентрации 30 мкМ. После дополнительной 4-часовой инкубации аликвоты культуральной жидкости переносили в планшет для измерения флуоресценции (SPL Life Sciences, Республика Корея), разбавляли в 2 раза раствором трипсина (2 мг/мл в буфере Tрис-HCl pH 8.0) и инкубировали в течение 60 мин при 37°C. Флуоресценцию измеряли с помощью многофункционального ридера Spark (Tecan Trading) на длинах волн 360ex /470em нм. Интенсивность флуоресценции в каждой лунке нормализовали на значения цитотоксичности, полученные для той же лунки. Величину флуоресцентного сигнала (RFU) для каждой концентрации испытуемого соединения рассчитывали по приведенной ниже формуле:
где Fi — величина флуоресценции в лунке с пробой, F0 — величина флуоресценции в лунке с растворенным в среде субстратом без клеток, Cv — жизнеспособность клеток, а n — количество повторов.
РЕЗУЛЬТАТЫ И ОБСУЖДЕНИЕ
Дизайн структуры гидроксамовых производных сорафениба
При конструировании гибридных ингибиторов (ГИ) мы руководствовались желанием максимально сохранить структуру сорафениба в качестве заведомо сильной «киназной» компоненты и использовать в составе «деацетилазной» компоненты остатки гидроксамовых кислот, н-гексановой и бензойной, характерных для высокоэффективных HDACi (рис. 2). Чтобы выполнить оба требования, местом стыковки «киназной» и «деацетилазной» компонент был выбран пиколинамидный остаток сорафениба, по данным кристаллографии экспонированный к выходу из сайта связывания сорафениба с активным центром киназы B-RAF [13]. Мы рассчитывали, что «деацетилазный» фрагмент гибридного ингибитора – линкер-ZBG – не создаст стерических препятствий для взаимодействия с В-RAF.
Рис. 2. Схема синтеза гидроксамовых производных сорафениба: SRF-CHA, SRF-BHA, SRF-THA и SRF-H-BHA (кеп – синий, соединительный элемент (CU) – коричневый, линкер (linker) – зеленый, цинк-связывающая группа (ZBG) – красный). Реагенты, условия и выход (%): (i) NH2(CH2)5CO2H, DBU, MeOH, D, 6 ч (71%); (ii) CDI, DMF, 2 ч, затем NH2OH·HCl, 18 ч (70%); (iii) КОН, THF/MeOH/H2O, 1 ч (97%); (iv) p-NH2PhCO2Et, BOP-Cl, THF/Py, 3 ч (74%); (v) NH2OH, MeOH/THF, 0°C, 0.5 ч, затем 18 ч (71%); (vi) p-NH2CH2PhCO2H, DBU, MeOH, D, 14 ч (46%); (vii) CDI, DMF, 1.5 ч, затем NH2OH·HCl, 18 ч (44%); (viii) NH2NH2·H2O, MeOH/CH2Cl2, 2 ч (87%); (ix) p-(CHO)-PhCONHOH, AcOHкат, MeOH/CH2Cl2, 4 ч (84%)
Синтез гидроксамовых производных сорафениба
В соответствии со схемой синтеза (рис. 2) для получения всех ГИ в качестве исходного соединения использовали метиловый эфир сорафенибкарбоновой кислоты SRF-ME, получение которого описано ранее [10]. Этот пиколиновый эфир оказался существенно активированным, так что образование амидной связи с аминогруппой ε-аминокапроновой и 4-(аминометил)бензойной кислот достигалось кипячением в метаноле в присутствии сильного основания (DBU). Конверсию полученных карбоновых кислот SRF-CA и SRF-TA в соответствующие гидроксаматы SRF-CНA и SRF-TНA осуществляли обработкой CDI и гидрохлоридом гидроксиламина как описано ранее [14].
Высокая реакционная способность SRF-ME позволила нам в ходе мягкого щелочного гидролиза получить сорафенибкарбоновую кислоту SRF-A с практически количественным выходом по аналогии с [15], однако процедура выделения была нами существенно упрощена. Амидирование SRF-A этил п-аминобензоатом в присутствии конденсирующего реагента ВОР-Сl дало промежуточный сложный эфир SRF-ВЕE, из которого путем гидроксиаминолиза был приготовлен целевой гидроксамат SRF-ВНA (рис. 2).
Так же гладко, как и в [10], но несколько быстрее протекал гидразинолиз SRF-ME, а полученный гидразид сорафенибкарбоновой кислоты SRF-H в ходе клик-реакции с 4-формил-N-гидроксибензамидом [9] давал требуемый SRF-H-BHA в виде (E)-изомерного пиколиноилгидразона (рис. 2 и 3). Заметим, что в структуре всех синтезированных нами гибридных ингибиторов был сохранен N-монозамещенный пиколинамидный фрагмент сорафениба (PyСОNHR), который, по данным кристаллографии, в составе комплекса взаимодействует с пептидным остовом Cys532 киназы B-RAF [13].
Определение конфигурации пиколиноилгидразона
Для подтверждения того, что полученное вещество SRF-H-BHA представляет собой (E)-изомер, были записаны двумерные корреляционные спектры NOESY [16] (рис. 3А), в которых наблюдался интенсивный положительный кросс-пик на (12.23, 8.69), что соответствует взаимодействию протонов H1´ и NHγ. Ввиду того, что молекулярная масса вещества лежит в области от 0.5 до 1.0 кДа, где ЯЭО (ядерный эффект Оверхаузера) меняет знак (ωτс ~ 1), и по знаку наблюдаемые диполь-дипольные кросс-пики нельзя, в общем случае, отличить от обменных, был записан спектр ROESY [17] (ЯЭО во вращающейся системе координат, рис. 3Б), где также наблюдался интенсивный кросс-пик на (12.23, 8.69) отрицательной интенсивности, что однозначно подтверждало его диполь-дипольную природу. Молекулярные модели соединения SRF-H-BHA (данные не приведены) показывают, что в (E)-изомере расстояние между протонами H1´ и NHγ составляет приблизительно 0.25 нм, что соответствует сильному ЯЭО, наблюдавшемуся в двумерных корреляционных спектрах. В то же время в (Z)-изомере это расстояние составляет 0.37 нм и лежит вблизи границы возможности экспериментального обнаружения ЯЭО, следовательно, вероятность детекции интенсивных кросс-пиков ничтожна.
Рис. 3. Структура (Е)-изомера SRF-H-BHA с нумерацией атомов и двумерные 1H-спектры NOESY при времени смешивания 0.25 с (A) и ROESY (Б) 8 мг вещества SRF-H-BHA в DMSO-d6. Отмечены кросс-пики между пиколиноилгидразоновым протоном NHγ и протоном H1´ при двойной связи. NOESY – Nuclear Overhauser Effect Spectroscopy, ROESY – Rotating frame Overhauser Effect Spectroscopy
Оценка цитотоксичности гидроксамовых производных сорафениба
Цитотоксическое действие полученных ингибиторов сначала тестировали на панели из четырех линий клеток гепатомы человека: Huh7, Huh7.5, HepG2 и PLC/PRF/5 (табл. 1). С этой же целью использовали дифференцированные клетки линии HepaRG, которые, являясь суррогатом первичных гепатоцитов человека, широко применяются для изучения цитотоксического действия ксенобиотиков [11]. В качестве соединений сравнения использовали сорафениб (SRF) и вориностат – ингибитор HDACs класса I/IIb (SAHA) (рис. 1).
Таблица 1. Антипролиферативное/цитотоксическое действие гибридных ингибиторов в культурах клеток гепатомы [···], нейробластомы [···], промиелоцитарного и хронического миелоидного лейкоза [···]]; время инкубации 48 ч, клеток HepaRG – 72 ч
Клетки | Huh7 | Huh7.5 | HepG2 | PLC/PRF/5 | HepaRG | SH-SY5Y | HL60 | К562 |
IC50, мкМ | ||||||||
SRF Sorafenib | 3.87±1.14 | 4.54±0.59 | 16.6±2.4 | 18.0±0.9 | 13.7±2.6 | 9.19±2.61 | 6.34±0.21 | 9.33±0.02 |
SRF-BHA | 3.63±1.42 | 2.86±1.09 | 12.9±6.1 | 7.69±0.81 | 12.4±4.8 | 4.00±0.21 | 5.08±1.50 | 4.17±0.27 |
SRF-THA | 5.60±0.40 | 5.27±0.46 | 8.80±2.21 | 12.4±3.4 | 11.3±3.1 | 7.15±0.27 | 8.45±3.15 | 13.1±1.9 |
SRF-H-BHA | 1.80±0.10 | 2.47±0.82 | 9.87±1.34 | 8.33±2.82 | 12.4±3.9 | 3.41±0.85 | 6.97±2.31 | 9.08±1.23 |
SRF-CHA | 18.1±2.2 | 14.6±3.5 | 77.9±4.1 | 61.3±2.5 | 69.5±4.8 | 39.5±9.9 | 54.5±1.7 | 51.6±4.6 |
SAHA Vorinostat | 1.73±0.18 | 1.89±0.22 | 1.88±0.19 | 11.4±2.6 | 14.3±0.6 | 1.90±0.08 | 9.43±2.98 | 8.74±3.06 |
1–3 мкМ 3–10 мкМ 10–30 мкМ 30–100 мкМ
Как видно из результатов, представленных на табл. 1, антипролиферативная активность ГИ против клеточных линий гепатомы критически зависела от структуры линкера «деацетилазной» компоненты. По сравнению с сорафенибом протяженный алкильный линкер в молекуле SRF-CHA ассоциировался с ослаблением антипролиферативного действия в 3–4 раза и, наоборот, SRF-BHA и SRF-H-BHA, несущие фенильный линкер, действовали в 1.5–2 раза сильнее. Значения IС50 у ингибитора SRF-THA, в составе которого присутствовал бензильный линкер, были близки к значениям у сорафениба с отклонениями в ту или иную сторону не более чем в 1.5 раза.
Поскольку дифференцированные клетки линии HepaRG не пролиферируют, то очевидно, что снижение МТТ-сигнала в этом случае вызвано цитотоксическим действием ингибиторов. Гидроксамовые производные, SRF-BHA, SRF-THA и SRF-H-BHA, и соединения сравнения, SRF и SAHA, имели приблизительно равную цитотоксичность в узком диапазоне значений IC50 = 11.3–14.3 мкМ, а ингибитор SRF-CHA был примерно в 5 раз менее токсичен. Интересно, что полученный профиль значений IC50 для всего набора соединений во многом повторял результаты тестирования на пролиферирующих клетках линии PLC/PRF/5, что позволяет предположить схожие механизмы ингибирования в обоих случаях.
Цитотоксическое действие полученных ингибиторов дополнительно изучали на клеточной линии нейробластомы SH-SY5Y, а также на двух суспензионных линиях клеток лейкоза HL60 и К562 (табл. 1). Показано, что производное SRF-CHA гораздо менее активно в отношении и нейробластомы, и лейкоза, чем сорафениб, тогда как активность SRF-BHA, SRF-THA и SRF-H-BHA была приблизительно такой же, как у сорафениба. Таким образом, в клеточных линиях нейробластомы и лейкоза зависимость антипролиферативной активности ГИ от структуры «деацетилазной» компоненты была такой же, как и в случае клеточных линий гепатомы.
Тестирование силы и селективности ингибирования гистондеацетилаз
Ингибитор гистондеацетилаз SAHA, взятый в качестве контроля, оказывал сильное цитотоксическое действие на большинство изученных нами клеточных линий (табл. 1). Чтобы оценить связь противоопухолевой активности гидроксамовых производных сорафениба с подавлением активности гистондеацетилаз in cell, определили остаточную активность HDAC в присутствии ГИ с помощью клеточной тест-системы s3CTS как описано ранее [12]. Сигнал s3CTS отражал уровень деацилирования in cell трех класс-селективных флуорогенных субстратов гистондеацетилаз общей структуры Boc-Lys(Acyl)-AMC, где Acyl = пропионил (SubPro, HDACs класс I), ацетил (SubAc, HDACs класс I и IIb) и трифторацетил (SubTfa, HDACs класс IIa). В качестве отрицательного и положительного контроля работы тест-системы использованы сорафениб и вориностат соответственно.
Оказалось, что вплоть до концентрации 3 мкМ соединения SRF, SRF-BHA и SRF-H-BHA не ингибировали активность гистондеацетилаз in cell (рис. 4). В то же время SRF-CHA и SAHA, при существенном превосходстве последнего в силе ингибирования, демонстрировали одинаковую селективность ингибирования HDACs классов I и IIb. И наконец, в присутствии SRF-ТHA зафиксировано пан-ингибирование гистондеацетилазной активности. Однако наблюдаемое в этом случае одновременное падение трех флуоресцентных сигналов могло говорить о сбое в работе тест-системы s3CTS за счет дополнительного ингибирования цинкзависимой пальмитоил-КоА-тиоэстеразы MBLAC2. Стоит заметить, что этот эффект часто наблюдается как раз в случае толуилгидроксамовых селективных ингибиторов HDAC6 класса IIb, включая тубастатин А и некстурастат А [12, 18].
Рис. 4. Результаты in cell тестирования селективности и силы ингибирования HDACs в присутствии сорафениба (SRF), гибридных ингибиторов (SRF-CHA, SRF-BHA, SRF-THA и SRF-H-BHA) и вориностата (SAHA). Флуорогенные субстраты гистондеацетилаз – SubPro (HDACs класс I), SubAc (HDACs класс I и IIb) и SubTfa (HDACs класс IIa); ОИФ – относительная интенсивность флуоресценции. Статистическая значимость рассчитана с помощью теста ANOVA (GraphPad Prizm 8): ****p < 0.001,**0.01 < p < 0.05, *0.05 < p < 0.1, ns – не существенно
Таким образом, по результатам тестирования из четырех полученных гидроксамовых производных сорафениба только SRF-CHA и SRF-ТHA являлись ингибиторами гистондеацетилаз (рис. 4). Учитывая данные по антипролиферативной активности (табл. 1), сделан вывод, что алкильный линкер в составе SRF-CHA препятствовал ингибированию тирозиновых протеинкиназ, и данный эффект лишь отчасти компенсировался ингибированием гистондеацетилаз. Сильное негативное влияние на активность производных сорафениба с протяженными алкильными заместителями в пиколинамидном остатке отмечали и ранее [10, 19]. То обстоятельство, что сила противоопухолевого действия SRF-ТHA и сорафениба на все исследованные клеточные линии была примерно одинаковой, не противоречит опубликованным ранее данным о близких значениях антипролиферативной активности сорафениба и его N-бензильного производного [20]. Исходя из этого, мы полагаем, что структуру SRF-ТHA вполне можно использовать для дизайна производных, несущих в своем составе более эффективную «деацетилазную» компоненту.
Интересно, что антипролиферативное действие и SRF-BHA, и SRF-H-BHA в подавляющем числе случаев заметно превосходило действие сорафениба, хотя эти соединения и не являются ингибиторами гистондеацетилаз (табл. 1 и рис. 4), что косвенно указывало на усиление «киназной» компоненты в этих соединениях. Нами уже отмечалось, что сорафениб взаимодействует с пептидным остовом Cys532 киназы B-RAF у выхода из сайта связывания, при этом пиколинамидный фрагмент ингибитора и остаток индола Trp530 располагаются параллельно и расстояние между ними составляет около 4.3 Å [10, 13]. Исходя из этого, можно предположить существование стекинг-взаимодействия между индольным остатком Trp530 и фенильным линкером SRF-BHA или SRF-H-BHA благодаря взаимной компланарности обеих кольцевых систем и их пространственной сближенности.
ЗАКЛЮЧЕНИЕ
В настоящей работе путем модификаций пиколинамидного остатка ингибитора разработан дизайн и осуществлен синтез четырех гидроксамовых производных сорафениба. Структура всех полученных соединений подтверждена методами ЯМР. Методом тестирования in cell показано, что только два производных – SRF-CHA и SRF-ТHA – обладали способностью ингибировать HDACs в низких микромолярных концентрациях. Тестирование антипролиферативного действия целевых соединений на панели клеток гепатомы, нейробластомы и лейкоза показало высокую активность трех соединений – SRF-ВHA, SRF-THA и SRF-Н-ВHA, сравнимую или превосходящую активность сорафениба. Используя SRF-THA в качестве базовой молекулы, представляется возможным получить новые гибридные ингибиторы PTKs/HDACs с высокой токсичностью в отношении опухолевых клеток.
Работа выполнена при поддержке Российского научного фонда – грант № 23-24-00542.
Об авторах
А. А. Клеймёнова
Институт молекулярной биологии им. В.А. Энгельгардта РАН
Email: kozlovmavi@gmail.com
Россия, Москва, 119991
И. А. Абрамов
Институт молекулярной биологии им. В.А. Энгельгардта РАН
Email: kozlovmavi@gmail.com
Россия, Москва, 119991
Я. В. Ткачев
Институт молекулярной биологии им. В.А. Энгельгардта РАН
Email: kozlovmavi@gmail.com
Россия, Москва, 119991
П. С. Галеева
Институт молекулярной биологии им. В.А. Энгельгардта РАН
Email: kozlovmavi@gmail.com
Россия, Москва, 119991
В. А. Клеймёнова
Первый Московский государственный медицинский университет им. И.М. Сеченова Минздрава России (Сеченовский университет)
Email: kozlovmavi@gmail.com
Россия, Москва, 119991
Н. Ф. Закирова
Институт молекулярной биологии им. В.А. Энгельгардта РАН
Email: kozlovmavi@gmail.com
Россия, Москва, 119991
С. Н. Кочетков
Институт молекулярной биологии им. В.А. Энгельгардта РАН
Email: kozlovmavi@gmail.com
Россия, Москва, 119991
М. В. Козлов
Институт молекулярной биологии им. В.А. Энгельгардта РАН
Автор, ответственный за переписку.
Email: kozlovmavi@gmail.com
Россия, Москва, 119991
Список литературы
- Fan G., Wei X., Xu X. // Ther. Adv. Med. Oncol. 2020. V. 12. P. 1–21. doi: 10.1177/1758835920927602.
- Wilhelm S.M., Adnane L., Newell P., Villanueva A., Llovet J.M., Lynch M. // Mol. Cancer Ther. 2008. V. 7. № 10. P. 3129–3140. doi: 10.1158/1535-7163.MCT-08-0013.
- Cabral L.K.D., Tiribelli C., Sukowati C.H.C. // Cancers. 2020. V. 12. P. 1576. doi: 10.3390/cancers12061576.
- Chang Y., Lee Y.B., Cho E.J., Lee J.-H., Yu S.J., Kim Y.J., Yoon J.-H. // BMC Cancer. 2020. V. 20. P. 1001. doi: 10.1186/s12885-020-07471-3.
- Hsu F.-T., Liu Y.-C., Chiang I.-T., Liu R.-S., Wang H.-E., Lin W.-J., Hwang J.-J. // Int. J. Oncol. 2014. V. 45. P. 177–188. doi: 10.3892/ijo.2014.2423.
- Liu J., Yang X., Liang Q., Yu Y., Shen X., Sun G. // Int. J. Biochem. Cell Biol. 2020. V. 126. P. 105820. doi: 10.1016/j.biocel.2020.105820.
- Bass A.K.A., El-Zoghbi M.S., Nageeb E.M., Mohamed M.F.A., Badr M., Abuo-Rahma G.E.A. // Eur. J. Med. Chem. 2021. V. 209. P. 112904. doi: 10.1016/j.ejmech.2020.112904.
- Melesina J., Simoben C.V., Praetorius L., Bülbül E.F., Robaa D., Sippl W. // ChemMedChem. 2021. V. 16. P. 1336–1359. doi: 10.1002/cmdc.202000934.
- Rodrigues D.A., Ferreira-Silva G.À., Ferreira A.C.S., Fernandes R.A., Kwee J.K., Sant’Anna C.M.R., Ionta M., Fraga C.A.M. // J. Med. Chem. 2016. V. 59. № 2. P. 655–670. doi: 10.1021/acs.jmedchem.5b01525.
- Wang K., Kuerbana K., Wan Q., Yu Z., Ye L., Chen Y. // Molecules. 2020. V. 25. P. 573. doi: 10.3390/molecules25030573.
- Gutmann M., Stimpfl E., Langmann G., Koudelka H., Mir-Karner B., Grasl-Kraupp B. // Toxicol. Lett. 2023. V. 390. P. 15–24. doi: 10.1016/j.toxlet.2023.10.014.
- Kleymenova A., Zemskaya A., Kochetkov S., Kozlov M. // Biomedicines. 2024. V. 12. P. 1203. doi: 10.3390/biomedicines12061203.
- Wan P.T., Garnett M.J., Roe S.M., Lee S., Niculescu-Duvaz D., Good V.M., Jones C.M., Marshall C.J., Springer C.J., Barford D., et al. // Cell. 2004. V. 116. P. 855–867. doi: 10.1016/s0092-8674(04)00215-6.
- Kozlov M.V., Konduktorov K.A., Malikova A.Z., Kamarova K.A., Shcherbakova A.S., Solyev P.N., Kochetkov S.N. // Eur. J. Med. Chem. 2019. V. 183. P. 111723. doi: 10.1016/j.ejmech.2019.111723.
- Le P., Kunold E., Macsics R., Rox K., Jennings M.C., Ugur I., Reinecke M., Chaves-Moreno D., Hackl M.W., Fetzer C., et al. // Nat. Chem. 2019. V. 12. P. 145–158. doi: 10.1038/s41557-019-0378-7.
- Jeener J., Meier B.H., Bachmann P., Ernst R.R. // J. Chem. Phys. 1979. V. 71. P. 4546–4553. doi: 10.1063/1.438208.
- Bax A., Davis D.G. // J. Magn. Reson. 1985. V. 63. P. 207–213. doi: 10.1016/0022-2364(85)90171-4.
- Lechner S., Malgapo M.I.P., Grätz C., Steimbach R.R., Baron A., Rüther P., Nadal S., Stumpf C., Loos C., Ku X., et al. // Nat. Chem. Biol. 2022. V. 18. P. 812–820. doi: 10.1038/s41589-022-01015-5.
- Khire U.R., Bankston D., Barbosa J., Brittelli D.R., Caringal Y., Carlson R., Dumas J., Gane T., Heald S.L., Hibner B., et al. // Bioorg. Med. Chem. Lett. 2004. V. 14. P. 783–786. doi: 10.1016/j.bmcl.2003.11.041.
- Babić Ž., Crkvenčić M., Rajić Z., Mikecin A.-M., Kralj M., Balzarini J., Petrova M., Vanderleyden J., Zorc B. // Molecules. 2012. V. 17. P. 1124–1137. doi: 10.3390/molecules17011124.
Дополнительные файлы


















