Пептид, имитирующий петлю II эпителиального белка человека SLURP-2, повышает жизнеспособность и стимулирует миграцию кератиноцитов кожи
- Авторы: Шлепова О.В.1, Горностаева Т.Я.1,2, Кукушкин И.Д.1,2, Азев В.Н.3, Бычков М.Л.1, Шенкарев З.О.1,2, Кирпичников М.П.1,4, Люкманова Е.Н.1,2,5,4
-
Учреждения:
- Государственный научный центр Российской Федерации Институт биоорганической химии им. академиков М.М. Шемякина и Ю.А. Овчинникова РАН
- Московский центр перспективных исследований
- Филиал Института биоорганической химии им. академиков М.М. Шемякина и Ю.А. Овчинникова РАН
- Московский государственный университет им. М.В. Ломоносова
- Шеньчжэньский МГУ-ППИ университет
- Выпуск: Том 16, № 4 (2024)
- Страницы: 86-94
- Раздел: Экспериментальные статьи
- URL: https://bakhtiniada.ru/2075-8251/article/view/284123
- DOI: https://doi.org/10.32607/actanaturae.27494
- ID: 284123
Цитировать
Аннотация
Секретируемый белок человека SLURP-2 является регулятором гомеостаза эпителия, повышает жизнеспособность и стимулирует миграцию кератиноцитов. Мишенями SLURP-2 в кератиноцитах служат никотиновые и мускариновые ацетилхолиновые рецепторы. Данная работа посвящена поиску функциональных участков молекулы SLURP-2, отвечающих за повышение жизнеспособности и стимуляцию миграции кератиноцитов. Получены синтетические пептиды, соответствующие петлевым участкам белка SLURP-2, изучено их влияние на жизнеспособность кератиноцитов кожи HaCaT с помощью теста WST-8 и их миграцию с помощью scratch-теста. Наиболее активным оказался пептид, соответствующий петле II, стимулирующий жизнеспособность и миграцию кератиноцитов. Активность этого пептида обусловлена взаимодействием с α7- и α3β2-nAChR, а также подавлением сигнальных внутриклеточных путей p38 МАР-киназы. Таким образом, получены новые данные, объясняющие механизмы, лежащие в основе регуляторной активности SLURP-2 и указывающие на перспективность дальнейших исследований пептидов, соответствующих петле II, в качестве прототипов препаратов для ранозаживления.
Ключевые слова
Полный текст
СПИСОК СОКРАЩЕНИЙ α-Bgtx – α-бунгаротоксин; ACh – ацетилхолин; Atr – атропин; Dhβe – дигидро-β-эритроидина гидробромид; mAChR – мускариновый ацетилхолиновый рецептор; MII – α-конотоксин MII; MLA – метилликаконитин; mTOR – мишень рапамицина у млекопитающих; NF-kB – ядерный фактор kB; nAChR – никотиновый ацетилхолиновый рецептор; p38 MAPK – митоген-активируемая протеинкиназа р38; STAT3 – сигнальный белок и активатор транскрипции 3.
ВВЕДЕНИЕ
Белки семейства Ly6/uPAR экспрессируются во многих тканях и клетках человека [1]. Белки Ly6/uPAR обладают широким спектром функций и участвуют в контроле пролиферации клеток, миграции, межклеточном взаимодействии, созревании иммунных клеток, активации макрофагов и выработке цитокинов, а также в когнитивных процессах [1–3]. Некоторые из них являются лигандами никотиновых и мускариновых ацетилхолиновых рецепторов (nAChR и mAChR соответственно). Ацетилхолиновые рецепторы регулируют различные процессы, в том числе рост, миграцию и дифференцировку эпителиальных клеток [4, 5]. Лиганды ацетилхолиновых рецепторов могут быть использованы в качестве прообразов препаратов, эффективных при заболеваниях, связанных с нарушением регуляции работы этих рецепторов [6, 7]. Секретируемые белки Ly6/uPAR человека – SLURP-1 и SLURP-2, являются ауто/паракринными регуляторами гомеостаза эпителия и лигандами ацетилхолиновых рецепторов [8–11]. SLURP-1 ингибирует рост и миграцию нормальных и опухолевых клеток [12–15]. Ранее этот белок рассматривался в качестве прототипа противоопухолевых препаратов, направленных на таргетирование α7-nAChR [12, 16]. Белок SLURP-2 стимулирует пролиферацию и миграцию кератиноцитов полости рта Het-1A и может служить прообразом препаратов для ранозаживления [17, 18]. SLURP-2 может взаимодействовать с α3, α4, α5, α7, β2 и β4-субъединицами nAChR, а также с mAChR типа M1 и M3. SLURP-2 ингибирует ток через ионный канал α4β2- и α3β2-nAChR, в то время как при низких концентрациях потенцирует α7-nAChR [17]. При этом SLURP-2 усиливает миграцию кератиноцитов Het-1A, взаимодействуя с α7-nAChR [18], и стимулирует пролиферацию кератиноцитов, взаимодействуя с α3β2-nAChR и mAChR [17]. Замена аминокислотного остатка R20 на остаток аланина в «голове» молекулы SLURP-2 приводит к усилению ингибирования тока через α7-nAChR и повышению ускорения миграции кератиноцитов [18].
Функциональными эпитопами белков Ly6/uPAR (называемых также «трехпетельными» белками, благодаря их характерной «трехпетельной» организации, рис. 1А,Б) являются петлевые участки [19]. В данной работе получены синтетические фрагменты, соответствующие петлевым участкам и участку «головы» молекулы SLURP-2, и изучено их влияние на миграцию и жизнеспособность кератиноцитов кожи HaCaT. Показано, что пептид, соответствующий петле II, повышает жизнеспособность кератиноцитов, взаимодействуя с α7-nAChR, и стимулирует миграцию, взаимодействуя с α3β2-nAChR и ингибируя активацию p38 MAPK. Результаты работы указывают на перспективность использования пептида «петля II» в качестве ранозаживляющего препарата.
Рис. 1. Структура белка SLURP-2 и пептидов, соответствующих петлям и «голове» белка. Остатки цистеина показаны желтым или оранжевым цветами, дисульфидные связи – скобками над аминокислотной последовательностью. А – аминокислотная последовательность белка SLURP-2. Б – пространственная структура белка SLURP-2 [17]. В – аминокислотная последовательность пептидов, соответствующих петлям и «голове» SLURP-2
ЭКСПЕРИМЕНТАЛЬНАЯ ЧАСТЬ
Культивирование клеток
Клетки HaCaT человека (иммортализованная линия кератиноцитов кожи человека) были получены из Американской коллекции типовых культур (ATCC, США). Клетки культивировали при 37°C и 5% CO2 в среде DMEM («ПанЭко», Россия) c 2 мМ L-глутамина и 25 мМ глюкозы c добавлением 10% эмбриональной телячьей сыворотки (Biosera, Франция), обозначенной ниже как «полноценная» среда. Клетки культивировали при 37°C и 5% CO2, пересевали минимум 2 раза в неделю.
Получение SLURP-2 и его пептидных миметиков
Рекомбинантный препарат SLURP-2 получали в клетках E. coli как описано ранее [20]. Пептиды, имитирующие первую, вторую, третью петли и «голову» молекулы SLURP-2 (рис. 1В), получены с помощью химического синтеза согласно [15]. Чистоту и корректную пространственную структуру препаратов подтверждали с помощью масс-спектрометрии, высокоэффективной жидкостной хроматографии и 1Н-ЯМР-спектроскопии.
Влияние SLURP-2, его пептидных миметиков и ингибиторов ацетилхолиновых рецепторов на жизнеспособность клеток HaCaT
Клетки высевали в 96-луночные планшеты (5 × 103 клеток на лунку), через 24 ч к клеткам добавляли SLURP-2 или его пептидные миметики, разведенные в полноценной среде из 1 мМ стокового раствора в 100% ДМСО, в концентрации 100 нМ. Затем клетки инкубировали при 37°C и 5% CO2 в течение 24 ч. Отсутствие влияния 0.01% ДМСО на жизнеспособность и миграцию клеток подтверждено в отдельном эксперименте.
Для изучения влияния ингибиторов ацетилхолиновых рецепторов на эффект SLURP-2 и петли II клетки HaCaT предварительно инкубировали с атропином (Atr (Sigma-Aldrich, США), неселективный ингибитор mAChR), α-конотоксином MII (MII (Tocris, Великобритания), селективный ингибитор α3β2-nAChR), дигидро-β-эритроидином (Dhβe (Sigma-Aldrich), селективный ингибитор α4β2-nAChR), метилликаконитином (MLA (Sigma-Aldrich), селективный ингибитор α7-nAChR), разведенными в полноценной среде, в течение 30 мин. Для всех ингибиторов использовали концентрацию 1 мкМ, определенную ранее [17]. После этого к клеткам добавляли SLURP-2 или петлю II в концентрации 100 нМ и соответствующие ингибиторы в концентрации 1 мкМ, и клетки инкубировали дополнительно в течение 24 ч.
Для оценки жизнеспособности к клеткам добавляли 5 мкл реагента CCK-8 (Servicebio, Китай) и инкубировали в течение 1 ч при 37°C и 5% CO2, после этого измеряли оптическую плотность при 450 нм с выравниванием на фон при 655 нм на планшетном ридере Bio-Rad 680 (Bio-Rad, США). Результаты анализировали с помощью программы Graphpad Prism 9.5.0 (GraphPad Software, США).
Влияние SLURP-2, его пептидных миметиков и ингибиторов ацетилхолиновых рецепторов на миграцию клеток HaCaT
Влияние SLURP-2, его пептидных миметиков и ингибиторов ацетилхолиновых рецепторов (Atr, MII, Dhβe и MLA) на миграцию клеток HaCaT в модели «заживление раны» in vitro (scratch-тест) анализировали согласно методике, описанной ранее [15]. Клетки HaCaT высевали в 96-луночные планшеты (3 × 104 клеток/лунку) и выращивали при 37°C и 5% CO2 в течение 24 ч. Затем стерильным наконечником пипетки объемом 10 мкл процарапывали вертикальную полосу (насадка GenFollower, E-FTB10S, Китай), после чего клетки промывали PBS и добавляли SLURP-2 или его пептидные миметики в концентрации 100 нМ, или ингибиторы рецепторов в концентрации 1 мкМ (Atr, MII, Dhβe, MLA) отдельно или в смеси с SLURP-2 или пептидом, имитирующим петлю II, разведенных в среде без сыворотки из 1 мМ стокового раствора в 100% ДМСО. Снимки лунок с процарапанными полосами анализировали через 0 и 24 ч при увеличении 20×, используя систему анализа клеток CloneSelect Imager (Molecular Devices, США). Получали цифровые изображения, площадь царапин оценивали с помощью программ ImageJ (NIH, США) и MS Excel (Microsoft, США), вычисляя процент поверхности царапин, занятой мигрирующими клетками. Полученные результаты анализировали с помощью программы Graphpad Prism 9.5.0 (GraphPad Software).
ПЦР в реальном времени
Суммарную мРНК из культивируемых клеток экстрагировали с помощью HiPure Total RNA Plus Kit (Magen, Китай) по инструкции производителя. Суммарную кДНК синтезировали с использованием набора MINT Reverse Transcriptase («Евроген», Россия) в соответствии с протоколом производителя. После этого проводили ПЦР в реальном времени с праймерами, приведенными в табл. 1, и готовой к применению смесью для количественной ПЦР с флуоресцентным красителем SYBR Green I из набора 5X qPCRmix-HS SYBR («Евроген»).
Таблица 1. Олигонуклеотидные праймеры, использованные в работе
Ген | Нуклеотидная последовательность | |
Прямой праймер | Обратный праймер | |
RPL13A | TCAAAGCCTTCGCTAGTCTCC | GGCTCTTTTTGCCCGTATGC |
ITGA1 | ATAAGTGGCCCAGCCAGAGA | CAGCAGCGTAGAACAACAGTG |
ITGA2 | CGGTTATTCAGGCTCACCGA | GCTGACCCAAAATGCCCTCT |
ITGA3 | CCTGCACCCCAAAAACATCA | AGGTCCTGCCACCCATCATT |
ITGA5 | GGGCTTCAACTTAGACGCGGA | CCCCAAGGACAGAGGTAGACA |
ITGA6 | GGTGGAGAGACTGAGCATGA | GTCAAAAACAGCAGGCCTAAGTA |
ITGA9 | GACCGCGATGATGAGTGGAT | GATGAGCACAGGCCAACACA |
ITGAV | GACTCCTGCTACCTCTGTGC | GAAGAAACATCCGGGAAGACG |
ITGB1 | CCGCGCGGAAAAGATGAAT | CCACAATTTGGCCCTGCTTG |
ITGB3 | ATTGGAGACACGGTGAGCTT | ACTCAAAGGTCCCATTGCCA |
SNAI1 | GGTTCTTCTGCGCTACTGCT | TGCTGGAAGGTAAACTCTGGAT |
SNAI2 | ACTGGACACACATACAGTGATT | ACTCACTCGCCCCAAAGATG |
Отрицательные контроли содержали все компоненты смеси для ПЦР, кроме кДНК, и не давали сигнала. Все реакции ПЦР проводили с использованием амплификатора Roche Light cycler 96 с детекцией в режиме реального времени. Данные анализировали с использованием программного обеспечения Light-Cycler 96 SW1.01. Уровень экспрессии генов нормировали по уровню экспрессии гена домашнего хозяйства RPL13A.
Анализ фосфорилирования белков
Фосфорилирование клеточных сигнальных белков анализировали с использованием магнитных частиц Bio-Plex (Bio-Rad, США). Клетки инкубировали в течение 24 ч с SLURP-2 или петлей II в концентрации 100 нМ, разведенными в полноценной среде из 1 мМ стокового раствора в 100% ДМСО, далее клетки лизировали с использованием буфера, предоставленного производителем. Анализ проводили с использованием проточного цитометра Bio-Rad 200 (Bio-Rad) согласно инструкциям производителя и с использованием программного обеспечения Bio-Plex Manager 6.2 (Bio-Rad).
Статистическая обработка данных
Данные представляли как среднее ± стандартная ошибка среднего (SEM). Количество образцов (n) указано в подписях к рисункам. Статистический анализ проводили с использованием программного обеспечения GraphPad Prism 9.5.0. Нормальность распределения оценивали с помощью теста Шапиро–Уилка. Анализ проводили с использованием одновыборочного критерия Стьюдента (в случае сравнения с нормированным контролем, рис. 2–5) и однофакторного теста ANOVA с последующим тестом Даннета (в случае множественного сравнения, рис. 3). Различия между группами считали статистически значимыми при р < 0.05.
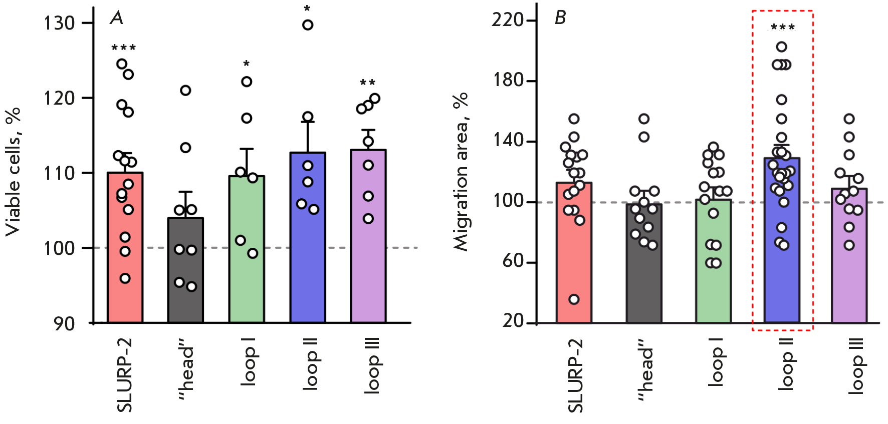
Рис. 2. Влияние SLURP-2 и пептидов на жизнеспособность кератиноцитов HaCaT. А – влияние SLURP-2 и пептидов в концентрации 100 нМ на жизнеспособность кератиноцитов HaCaT. Данные приведены в процентах от контроля ± стандартная ошибка среднего (n = 6–14), 100% жизнеспособных клеток соответствует необработанным клеткам. *p < 0.05, **p < 0.01 и ***p < 0.001 указывают на достоверное отличие от контроля (100%) по одновыборочному критерию Стьюдента. Б – влияние 100 нМ SLURP-2 и пептидов на миграцию кератиноцитов HaCaT. Данные приведены в процентах от контроля ± стандартная ошибка среднего (n = 12–24), 100% соответствует площади миграции необработанных клеток. ***p < 0.01 – достоверное отличие от контроля (100%) по одновыборочному критерию Стьюдента
Рис. 3. Влияние SLURP-2, пептидов и ингибиторов различных ацетилхолиновых рецепторов на жизнеспособность и миграцию кератиноцитов HaCaT. А – влияние петли II (100 нМ) и ингибиторов различных ацетилхолиновых рецепторов (1 мкМ) на миграцию кератиноцитов HaCaT. Данные приведены в процентах от контроля ± стандартная ошибка среднего (n = 11–40), 100% соответствует площади миграции необработанных клеток. *p < 0.05 и ***p < 0.001 – достоверное отличие от контроля (100%) по одновыборочному критерию Стьюдента. ####p < 0.001 указывает на отличие от группы «петля II» по однофакторному тесту ANOVA с последующим тестом Даннета. Б – влияние ингибиторов различных ацетилхолиновых рецепторов на эффект SLURP-2 и петли II на жизнеспособность. Данные приведены в процентах от контроля ± стандартная ошибка среднего (n = 4–14), 100% жизнеспособных клеток соответствует необработанным клеткам. *p < 0.05, **p < 0.01 и ***p < 0.001 – достоверное отличие от контроля (100%) по одновыборочному критерию Стьюдента. ### p < 0.001 указывает на отличие от группы «SLURP-2» по однофакторному тесту ANOVA с последующим тестом Даннета, &p < 0.05 указывает на отличие от группы «петля II» по однофакторному тесту ANOVA с последующим тестом Даннета
Рис. 4. Влияние SLURP-2 и петли II на экспрессию мРНК, кодирующих α1, α2, α3, α5, α6, α9, β1, β3-интегрины и факторы транскрипции SNAI1 и SNAI2. Использовали 100 нМ концентрацию SLURP-2 и петли II. Данные нормированы на среднее значение экспрессии необработанных клеток и приведены как lg ± стандартная ошибка среднего (n = 5–10). Экспрессия генов нормирована на экспрессию гена домашнего хозяйства RPL13A
Рис. 5. Влияние SLURP-2 и петли II на фосфорилирование сигнальных белков: Src (Tyr416), p38 MAPK (Thr180/Tyr182), mTOR (Ser2448), STAT3 (Tyr705) и NF-kB (Ser536). Использовали 100 нМ концентрацию SLURP-2 и петли II. Данные приведены в процентах от контроля ± стандартная ошибка среднего (n = 5–6), 100% соответствует уровню фосфорилирования белков в необработанных клетках. *p < 0.05 и ***p < 0.001 – достоверное отличие от контроля (100%) по одновыборочному критерию Стьюдента
РЕЗУЛЬТАТЫ И ОБСУЖДЕНИЕ
Петли I, II, III белка SLURP-2 важны для повышения жизнеспособности кератиноцитов кожи
Петли Ly6/uPAR белков рассматриваются как функциональные эпитопы, отвечающие за активность «трехпетельных» белков [19]. Ранее мы показали, что пептид, имитирующий петлю I белка SLURP-1, воспроизводит противоопухолевую активность полноразмерного белка [15, 16]. В данной работе мы решили выяснить, какие участки молекулы SLURP-2 отвечают за активность белка, а именно за повышение жизнеспособности и стимуляцию миграции кератиноцитов, показанные ранее [17, 18, 21]. Для этого с помощью химического синтеза были получены пептиды, содержащие петлевые участки молекулы SLURP-2 и имитирующие его первую, вторую и третью петли, а также «голову» молекулы (рис. 1).
Исследование влияния SLURP-2 и этих пептидов на жизнеспособность кератиноцитов кожи линии HaCaT показало, что SLURP-2 повышал жизнеспособность кератиноцитов (рис. 2А). При этом пептид «голова» не влиял на жизнеспособность кератиноцитов, в то время как пептиды, имитирующие петли I, II и III, стимулировали жизнеспособность кератиноцитов подобно полноразмерному SLURP-2 (рис. 2А).
Таким образом, петли I, II и III являются важными участками молекулы белка SLURP-2, необходимыми для повышения жизнеспособности и, возможно, пролиферации кератиноцитов. Отсутствие какой-либо активности у пептида, соответствующего «голове» SLURP-2, указывает на то, что этот участок молекулы полноразмерного белка не участвует во взаимодействии с мишенью, отвечающей за стимуляцию жизнеспособности кератиноцитов. Возможно, неактивная «голова» компенсирует повышенную активность петли II, в то время как активность петель I и III схожа с активностью полноразмерного белка. В пользу этого предположения говорит то, что замена аминокислотного остатка R20 на остаток аланина в «голове» молекулы SLURP-2 приводит к стимуляции миграции кератиноцитов [18].
Ранее была предсказана возможность одновременного взаимодействия белка SLURP-1 с разными мишенями: α7-nAChR и рецептором эпидермального фактора роста [15]. Причем взаимодействие со второй мишенью осуществлялось именно с помощью «головы» молекулы SLURP-1. Возможно, похожую ситуацию мы имеем и в случае SLURP-2, когда петля II и «голова» взаимодействуют с разными мишенями, компенсирующими свое влияние на жизнеспособность кератиноцитов. Примечательно, что, в отличие от SLURP-2, эпителиальный белок SLURP-1 не повышает, а понижает жизнеспособность кератиноцитов полости рта Het-1A, а его функциональным участком является петля I [22].
Петля II активирует миграцию кератиноцитов кожи, взаимодействуя с α3β2-nAChR
Ранее было показано, что SLURP-2 усиливает миграцию кератиноцитов Het-1A, взаимодействуя с α7-nAChR [18]. В данной работе мы изучили влияние SLURP-2 и его пептидных миметиков на миграцию кератиноцитов кожи HaCaT. Оказалось, что SLURP-2, петли I, III и «голова» не оказывают заметного влияния на миграцию кератиноцитов HaCaT (рис. 2Б) в модели зарастания «царапины». При этом петля II ускоряла миграцию кератиноцитов на ~30% (рис. 2Б). Вероятно, SLURP-2, взаимодействуя с разными подтипами ацетилхолиновых рецепторов, может как повышать, так и понижать миграцию клеток, и от экспрессии тех или иных рецепторов в конкретных клетках зависит суммарный эффект.
Известно, что SLURP-2 может взаимодействовать с α3, α4, α5, α7, β2 и β4-субъединицами nAChR, а также с mAChR типа M1 и M3 [17]. Чтобы понять, взаимодействием с каким именно рецептором обусловлено стимулирующее действие петли II белка SLURP-2 на миграцию кератиноцитов, был изучен эффект петли II в присутствии ингибиторов различных подтипов ацетилхолиновых рецепторов: неселективного ингибитора mAChR – атропина (Atr), селективного ингибитора α3β2-nAChR – α-конотоксина MII (MII), селективного ингибитора α2β4-nAChR – дигидро-β-эритроидина гидробромида (Dhβe) и селективного ингибитора α7-nAChR – метилликаконитина (MLA). Нами показано, что ингибирование α3β2-nAChR с помощью MII приводит к отмене влияния петли II на миграцию кератиноцитов HaCaT. Совместное применение атропина и Dhβe с петлей II не влияло значимо на миграцию, при этом полученные значения не отличались значимо от эффекта петли II. Полученные данные не позволяют утверждать, вовлечены ли mAChR и α2β4-nAChR в эффект петли II на миграцию (рис. 3А). Таким образом, петля II стимулирует миграцию кератиноцитов кожи, взаимодействуя с α3β2-nAChR и, возможно, с mAChR и α2β4-nAChR. Стоит отметить, что в ранее построенной модели взаимодействия SLURP-2 с α3β2-nAChR петля II была основным участком молекулы SLURP-2, взаимодействующим с этим рецептором и формирующим наибольшее число контактов в комплексе [17]. При этом не наблюдалось значимого влияния ингибиторов других ацетилхолиновых рецепторов на эффект петли II.
Влияние SLURP-2 и петли II на жизнеспособность кератиноцитов кожи обусловлено взаимодействием с α7-nAChR
В данной работе мы также изучили влияние ингибиторов различных подтипов ацетилхолиновых рецепторов (атропин, α-конотоксин MII, Dhβe и MLA) на эффект SLURP-2 и петли II на жизнеспособность кератиноцитов. Показано, что предынкубация клеток с MLA полностью отменяла стимулирующий эффект SLURP-2 и петли II на жизнеспособность клеток HaCaT (рис. 3Б). В то же время ни один из ингибиторов, кроме MLA, не оказывал значимого эффекта на активность SLURP-2 и петли II. При этом атропин, α-конотоксин MII, Dhβe совместно со SLURP-2 и петлей II не приводили к значимому увеличению жизнеспособности относительно контроля, поэтому вовлеченность mAChR, α3β2-nAChR и α2β4-nAChR во влияние SLURP-2 и петли II на жизнеспособность нуждается в дополнительном изучении. Таким образом, способность белка SLURP-2 и пептида «петля II» повышать жизнеспособность кератиноцитов обусловлена взаимодействием с α7-nAChR и, вероятно, с mAChR, α3β2-nAChR и α2β4-nAChR.
Однако ранее было показано, что SLURP-2 повышает жизнеспособность кератиноцитов полости рта Het-1A, взаимодействуя с α3β2-nAChR, но не с α7-nAChR [17]. Участие различных рецепторов в регуляции активности SLURP-2 в кератиноцитах полости рта и кожи может быть связано с различным профилем экспрессии тех или иных рецепторов в различных клетках и тканях организма и лежит в рамках «полигамной» активности эпителиального белка, способного взаимодействовать с различными ацетилхолиновыми рецепторами [17].
Влияние SLURP-2 и петли II на жизнеспособность и миграцию кератиноцитов кожи не связано с изменением экспрессии интегринов и транскрипционных факторов SNAI1 и SNAI2
Известно, что интегрины регулируют процессы адгезии, миграции и пролиферации клеток эпителия, в том числе кератиноцитов кожи [23, 24]. Также в число факторов, регулирующих миграцию и дифференцировку кератиноцитов, входят факторы транскрипции SNAI1 и SNAI2 [25]. Мы предположили, что влияние SLURP-2 и петли II на жизнеспособность и миграцию может быть обусловлено влиянием на экспрессию интегринов или факторов транскрипции SNAI. Однако мы не обнаружили какого-либо значимого изменения в экспрессии генов ITGA1, ITGA2, ITGΑ3, ITGA5, ITGA6, ITGA9, ITGB1, ITGB3 и SNAI1 и SNAI2 в кератиноцитах HaCaT после инкубации с SLURP-2 или петлей II в течение 24 ч относительно контроля (необработанные клетки, рис. 4). Таким образом, эффекты SLURP-2 и петли II на жизнеспособность и миграцию кератиноцитов HaCaT не связаны с изменением экспрессии генов, кодирующих интегрины и факторы транскрипции SNAI1 и SNAI2.
Эффекты SLURP-2 и петли II в кератиноцитах кожи обусловлены подавлением активности сигнальных путей p38 MAPK и mTOR
Ранее было показано, что белок SLURP-1 ингибирует в опухолевых клетках активность внутриклеточных сигнальных каскадов, связанных с AKT, фосфатазой PTEN и протеинкиназой mTOR [15]. Мы предположили, что эффекты SLURP-2 и петли II также могут быть связаны с регуляцией внутриклеточных сигнальных каскадов, связанных с пролиферацией и миграцией. Кроме того, мы исследовали влияние SLURP-2 и петли II на активность транскрипционных факторов STAT3 и NF-kB, участвующих в контроле генной экспрессии в эпителиальных клетках и связанных с активацией α7-nAChR [26–29]. С помощью анализа на магнитных частицах Bioplex мы показали, что и SLURP-2, и пептид «петля II» подавляют фосфорилирование и, следовательно, активацию киназы p38 MAPK в кератиноцитах HaCaT после 24-часовой инкубации (рис. 5). Кроме того, SLURP-2, но не петля II, снижал фосфорилирование киназы mTOR в кератиноцитах HaCaT (рис. 5).
Известно, что активация p38 MAPK может приводить к апоптозу кератиноцитов и, как следствие, к снижению числа жизнеспособных клеток [30, 31]. В то же время активация α7-nAChR ингибирует фосфорилирование и активацию p38 MAPK [32]. Ранее было показано, что SLURP-2 в концентрации 100 нМ потенцирует α7-nAChR в присутствии ацетилхолина [17]. Таким образом, мы можем предположить, что в кератиноцитах HaCaT в присутствии 100 нМ SLURP-2 происходит потенцирование α7-nAChR, что в свою очередь приводит к подавлению сигнального пути p38 MAPK и увеличению числа жизнеспособных клеток. С этим предположением согласуется предложенная ранее модель взаимодействия SLURP-2 с α7-nAChR, в которой петля II молекулы SLURP-2 взаимодействует именно с открытым (активным) состоянием α7-nAChR [17]. Это также указывает на связь активации этого рецептора с подавлением сигнального пути p38 MAPK с препятствием апоптозу кератиноцитов HaCaT и увеличением числа жизнеспособных клеток в присутствии петли II.
Стоит заметить, что ингибирование фосфорилирования mTOR может приводить к подавлению миграции кератиноцитов [33]. Однако мы не обнаружили какого-либо значимого эффекта SLURP-2 на миграцию (рис. 2Б). При этом петля II стимулирует миграцию, взаимодействуя с α3β2-nAChR (рис. 3), и не ингибирует сигнальный внутриклеточный каскад, ассоциированный с mTOR (рис. 5). Возможно, в ингибировании фосфорилирования mTOR участвуют другие участки молекулы SLURP-2 (не петля II), при этом вносящие отрицательный вклад в стимуляцию миграции полноразмерным белком.
Ранее было показано, что инкубация кератиноцитов полости рта Het-1A в присутствии SLURP-1 приводила к активации транскрипционного фактора NF-kB [34]. При этом известно, что SLURP-1 является негативным модулятором α7-nAChR [35]. Таким образом, отсутствие потенцирующего эффекта на фосфорилирование NF-kB в присутствии как SLURP-2, так и петли II поддерживает наше предположение, что обе эти молекулы потенцируют α7-nAChR в исследуемой концентрации в кератиноцитах HaCaT, и находится в согласии с подавлением сигнального пути p38 MAPK (рис. 5).
ЗАКЛЮЧЕНИЕ
В данной работе получены синтетические пептиды, соответствующие петлевым фрагментам белка SLURP-2: пептиды «голова», «петля I», «петля II» и «петля III», изучено их влияние на жизнеспособность и миграцию кератиноцитов кожи. Пептид «голова» не влиял ни на жизнеспособность, ни на миграцию кератиноцитов. Пептиды «петля I» и «петля III» повышали жизнеспособность и не влияли на миграцию кератиноцитов. Наиболее активным оказался пептид, соответствующий петле II. Он стимулировал как жизнеспособность кератиноцитов, взаимодействуя с α7-nAChR, так и их миграцию, взаимодействуя с α3β2-nAChR. При этом сам белок SLURP-2 повышал только жизнеспособность кератиноцитов и не влиял на их миграцию. Различия во влиянии SLURP-2 и петли II на жизнеспособность и миграцию кератиноцитов HaCaT, вероятно, связаны с возможностью полноразмерного белка взаимодействовать одновременно с несколькими мишенями и ингибированием фосфорилирования mTOR, что не наблюдается в случае петли II. Таким образом, получены новые знания о регуляции гомеостаза эпителиальных клеток эпителиальным белком SLURP-2 человека. Полученные данные указывают на перспективность дальнейших исследований свойств петли II и рассмотрения ее в качестве прототипа для разработки новых ранозаживляющих препаратов.
Работа выполнена при финансовой поддержке Российского научного фонда (проект № 23-24-00636).
Авторы благодарят Ирину Чулину за помощь с химическим синтезом исследованных пептидов. М.П. Кирпичников и Е.Н. Люкманова входят в состав инновационной группы по разработке лекарственных препаратов на основе структурной биологии и биоинформатики в Шэньчжэньском университете МГУ-ППИ (#2022KCXTD034).
Об авторах
О. В. Шлепова
Государственный научный центр Российской Федерации Институт биоорганической химии им. академиков М.М. Шемякина и Ю.А. Овчинникова РАН
Email: lyukmanova_ekaterina@smbu.edu.cn
Россия, Москва, 117997
Т. Я. Горностаева
Государственный научный центр Российской Федерации Институт биоорганической химии им. академиков М.М. Шемякина и Ю.А. Овчинникова РАН; Московский центр перспективных исследований
Email: lyukmanova_ekaterina@smbu.edu.cn
Россия, Москва, 117997; Москва, 123592
И. Д. Кукушкин
Государственный научный центр Российской Федерации Институт биоорганической химии им. академиков М.М. Шемякина и Ю.А. Овчинникова РАН; Московский центр перспективных исследований
Email: lyukmanova_ekaterina@smbu.edu.cn
Россия, Москва, 117997; Москва, 123592
В. Н. Азев
Филиал Института биоорганической химии им. академиков М.М. Шемякина и Ю.А. Овчинникова РАН
Email: lyukmanova_ekaterina@smbu.edu.cn
Россия, Пущино, 142290
М. Л. Бычков
Государственный научный центр Российской Федерации Институт биоорганической химии им. академиков М.М. Шемякина и Ю.А. Овчинникова РАН
Email: lyukmanova_ekaterina@smbu.edu.cn
Россия, Москва, 117997
З. О. Шенкарев
Государственный научный центр Российской Федерации Институт биоорганической химии им. академиков М.М. Шемякина и Ю.А. Овчинникова РАН; Московский центр перспективных исследований
Email: lyukmanova_ekaterina@smbu.edu.cn
Россия, Москва, 117997; Москва, 123592
М. П. Кирпичников
Государственный научный центр Российской Федерации Институт биоорганической химии им. академиков М.М. Шемякина и Ю.А. Овчинникова РАН; Московский государственный университет им. М.В. Ломоносова
Email: lyukmanova_ekaterina@smbu.edu.cn
Междисциплинарная научно-образовательная школа «Молекулярные технологии живых систем и синтетическая биология», биологический факультет
Россия, Москва, 117997; Москва, 119234Е. Н. Люкманова
Государственный научный центр Российской Федерации Институт биоорганической химии им. академиков М.М. Шемякина и Ю.А. Овчинникова РАН; Московский центр перспективных исследований; Шеньчжэньский МГУ-ППИ университет; Московский государственный университет им. М.В. Ломоносова
Автор, ответственный за переписку.
Email: lyukmanova_ekaterina@smbu.edu.cn
Междисциплинарная научно-образовательная школа «Молекулярные технологии живых систем и синтетическая биология», биологический факультет
Россия, Москва, 117997; Москва, 123592; провинция Гуандун, Шэньчжэнь, р-он Лунган, Даюньсиньчэн, 518172 Китай; Москва, 119234Список литературы
- Loughner C.L., Bruford E.A., McAndrews M.S., Delp E.E., Swamynathan S., Swamynathan S.K. // Hum. Genomics. 2016. V. 10. P. 10.
- Shenkarev Z.O., Shulepko M.A., Bychkov M.L., Kulbatskii D.S., Shlepova O.V., Vasilyeva N.A., Andreev-Andrievskiy A.A., Popova A.S., Lagereva E.A., Loktyushov E.V., et al. // J. Neurochem. 2020. V. 155. № 1. P. 45–61.
- Kulbatskii D., Shenkarev Z., Bychkov M., Loktyushov E., Shulepko M., Koshelev S., Povarov I., Popov A., Peigneur S., Chugunov A., et al. // Front. Cell. Dev. Biol. 2021. V. 9. P. 662227.
- Kulbatskii D.S., Bychkov M.L., Lyukmanova E.N. // Rus. J. Bioorg. Chem. 2018. V. 44. № 6. P. 595–607.
- Shulepko M., Bychkov M., Kulbatskii D., Lyukmanova E. // Rus. J. Bioorg. Chem. 2019. V. 45. № 2. P. 66–74.
- Papke R.L., Lindstrom J.M. // Neuropharmacology. 2020. V. 168. P. 108021.
- Hone A.J., McIntosh J.M. // Pharmacol. Res. 2023. V. 190. P. 106715.
- Arredondo J., Chernyavsky A.I., Grando S.A. // Life Sci. 2007. V. 80. № 24–25. P. 2243–2247.
- Arredondo J., Chernyavsky A.I., Webber R.J., Grando S.A. // J. Invest. Dermatol. 2005. V. 125. № 6. P. 1236–1241.
- Arredondo J., Chernyavsky A.I., Jolkovsky D.L., Webber R.J., Grando S.A. // J. Cell. Physiol. 2006. V. 208. № 1. P. 238–245.
- Arredondo J., Chernyavsky A.I., Grando S.A. // Biochem. Pharmacol. 2007. V. 74. № 8. P. 1315–1319.
- Lyukmanova E., Bychkov M., Sharonov G., Efremenko A., Shulepko M., Kulbatskii D., Shenkarev Z., Feofanov A., Dolgikh D., Kirpichnikov M. // Br. J. Pharmacol. 2018. V. 175. № 11. P. 1973–1986.
- Shulepko M.A., Bychkov M.L., Shlepova O.V., Shenkarev Z.O., Kirpichnikov M.P., Lyukmanova E.N. // Internat. Immunopharmacol. 2020. V. 82. P. 106303.
- Shulepko M.A., Bychkov M.L., Lyukmanova E.N., Kirpichnikov M.P. // Dokl. Biochem. Biophys. 2020. V. 493. № 1. P. 211–214.
- Bychkov M.L., Shulepko M.A., Shlepova O.V., Kulbatskii D.S., Chulina I.A., Paramonov A.S., Baidakova L.K., Azev V.N., Koshelev S.G., Kirpichnikov M.P., et al. // Front. Cell. Dev. Biol. 2021. V. 9. P. 739391.
- Shlepova O.V., Shulepko M.A., Shipunova V.O., Bychkov M.L., Kukushkin I.D., Chulina I.A., Azev V.N., Shramova E.I., Kazakov V.A., Ismailova A.M., et al. // Front. Cell. Dev. Biol. 2023. V. 11. P. 1256716. doi: 10.3389/fcell.2023.1256716.
- Lyukmanova E., Shulepko M.A., Shenkarev Z., Bychkov M., Paramonov A.S., Chugunov A., Kulbatskii D., Arvaniti M., Dolejsi E., Schaer T., et al. // Sci. Rep. 2016. V. 6. P. 30698. doi: 10.1038/srep3069.
- Bychkov M.L., Shlepova O.V., Shulepko M.A., Kulbatskii D.S., Bertrand D., Kirichenko A.V., Shenkarev Z.O., Kirpichnikov M.P., Lyukmanova E.N. // Rus. J. Bioorg. Chem. 2024. V. 50. № 3. P. 696–705.
- Vasilyeva N.A., Loktyushov E.V., Bychkov M.L., Shenkarev Z.O., Lyukmanova E.N. // Biochemistry (Moscow). 2017. V. 82. № 13. P. 1702–1715.
- Lyukmanova E.N., Shulepko M.A., Bychkov M.L., Shenkarev Z.O., Paramonov A.S., Chugunov A.O., Arseniev A.S., Dolgikh D.A., Kirpichnikov M.P. // Acta Naturae. 2014. V. 6. № 4. P. 60–66.
- Chernyavsky A.I., Kalantari-Dehaghi M., Phillips C., Marchenko S., Grando S.A. // Wound Repair Regen. 2012. V. 20. № 1. P. 103–113.
- Shulepko M.A., Bychkov M.L., Shenkarev Z.O., Kulbatskii D.S., Makhonin A.M., Paramonov A.S., Chugunov A.O., Kirpichnikov M.P., Lyukmanova E.N. // J. Invest. Dermatol. 2021. V. 141. № 9. P. 2229–2237.
- Watt F.M. // EMBO J. 2002. V. 21. № 15. P. 3919–3926.
- Longmate W.M., DiPersio C.M. // Adv. Wound Care (New Rochelle). 2014. V. 3. № 3. P. 229–246.
- Sou P.W., Delic N.C., Halliday G.M., Lyons J.G. // Internat. J. Biochem. Cell Biol. 2010. V. 42. № 12. P. 1940–1944.
- Chen Y., Lian P., Peng Z., Wazir J., Ma C., Wei L., Li L., Liu J., Zhao C., Pu W., et al. // Cell Death Discov. 2022. V. 8. № 1. P. 141.
- Kwok H.-H., Gao B., Chan K.-H., Ip M.S.-M., Minna J.D., Lam D.C.-L. // Cancers (Basel). 2021. V. 13. № 21. P. 5345.
- Arredondo J., Chernyavsky A.I., Jolkovsky D.L., Pinkerton K.E., Grando S.A. // Life Sci. 2007. V. 80. № 24–25. P. 2191–2194.
- Stegemann A., Böhm M. // Exp. Dermatol. 2019. V. 28. № 3. P. 276–282.
- Fukada S., Ohta K., Sakuma M., Akagi M., Kato H., Naruse T., Nakagawa T., Shigeishi H., Nishi H., Takechi M., et al. // Oral Dis. 2024. V. 30. № 2. P. 639–649.
- Nys K., van Laethem A., Michiels C., Rubio N., Piette J.G., Garmyn M., Agostinis P. // J. Invest. Dermatol. 2010. V. 130. № 9. P. 2269–2276.
- Uwada J., Nakazawa H., Mikami D., Islam M.S., Muramatsu I., Taniguchi T., Yazawa T. // Biochem. Pharmacol. 2020. V. 182. P. 114297.
- Wu X., Sun Q., He S., Wu Y., Du S., Gong L., Yu J., Guo H. // BMC Anesthesiol. 2022. V. 22. № 1. P. 106.
- Chernyavsky A.I., Arredondo J., Galitovskiy V., Qian J., Grando S.A. // Am. J. Physiol. Cell Physiol. 2010. V. 299. № 5. P. C903–C911.
- Lyukmanova E.N., Shulepko M.A., Kudryavtsev D., Bychkov M.L., Kulbatskii D.S., Kasheverov I.E., Astapova M.V., Feofanov A.V., Thomsen M.S., Mikkelsen J.D., et al. // PLoS One. 2016. V. 11. № 2. P. e0149733.
Дополнительные файлы







