Biomarkers for assessment of the polychemotherapy results in patients with adrenocortical cancer based on gas chromatography-mass spectrometry studies of urine steroid profiles
- Authors: Velikanova L.I.1, Vorokhobina N.V.1, Kalugina V.V.1, Shafigullina Z.R.1, Malevanaya E.V.1, Strelnikova E.G.1, Bokhyan V.Y.2
-
Affiliations:
- North-Western State Medical University named after I.I. Mechnikov
- N.N. Blokhin National Medical Research Center of Oncology
- Issue: Vol 52, No 1 (2024)
- Pages: 17-24
- Section: ARTICLES
- URL: https://bakhtiniada.ru/2072-0505/article/view/257858
- DOI: https://doi.org/10.18786/2072-0505-2024-52-008
- ID: 257858
Cite item
Full Text
Abstract
Background: The effectiveness of polychemotherapy (PCT) for adrenocortical cancer (ACC) is assessed by imaging tests with the RECIST 1.1 criteria. However, the presence of subclinical tumor foci does not allow for an objective measurement of the true tumor burden. As shown previously, postoperative assessment of the steroid metabolome by gas chromatography-mass spectrometry (GCMS) in ACC patients makes it possible to identify early signs of adrenal steroidogenesis abnormalities and of the recurrence of adrenocortical carcinoma.
Aim: To identify biomarkers of response to PCT by GCMS study of the urine steroid profile in ACC patients after surgical resection of the tumor.
Materials and methods: Urine steroid profiles were studied by GCMS (Shimadzu GCMS-TQ8050 gas chromatography-mass spectrometer) in 30 ACC patients (stages II, III and IV) after surgery and first line (combination of etoposide, doxorubicin and cisplatin with daily mitotane) and second line (gemcitabine combined with capecitabine and mitotane) PCT. The control group included 25 patients with hormonally inactive adenomas.
Results: The response to PCT according to RECIST 1.1 criteria was obtained in 23 patients (Group 1, responders) and in 7 patients ACC progressed under PCT (Group 2, non-responders). In the responders, the urinary excretion of etiocholanolone, pregnanediol and pregnanetriol was lower than in the control group. The non-responders had higher urinary excretion of androgens, progestogens and tetrahydro-11-deoxycortisol (THS), compared to the responders and the control group. The patients with ACC progression under PCT had an increase in 3β,16,20-pregnenetriol (3β,16,20-dP3) levels and a decrease of the 3α,16,20-dP3/3β,16,20-dP3 ratio, compared to those in the PCT responders. The threshold values for urinary excretion of dehydroepiandrosterone (DHEA, ≤ 469 mcg/24h; AUC = 1.0), THS (≤ 223 mcg/24h; AUC = 1.0), and 3β,16,20-dP3 (≤ 130 mcg/24h; AUC = 0.986), as well as the 3α,16,20-dP3/3β,16,20-dP3 ratio (≥ 2.13; AUC = 1.0) had 100% sensitivity and specificity for the assessment of the PCT effectiveness.
Conclusion: Different urine steroid profiles were obtained by GCMS in the ACC patients after PCT with and without treatment response. The 100% sensitivity and specificity of the threshold values for urinary excretion of DHEA, THS, 3β,16,20-dP3 and the 3α,16,20-dP3/3β,16,20-dP3 ratio for the assessment of PCT results indicate the potential to use these parameters as biomarkers of response or progression of the disease in the monitoring of PCT effects in ACC patients.
Full Text
Необходимость проведения адъювантного химиотерапевтического лечения больным адренокортикальным раком (АКР) диктуется частым (до 60–70%) рецидивированием заболевания после хирургического лечения. Местно-распространенный АКР, паллиативное хирургическое лечение, величина индекса пролиферации Ki-67 более 10% – факторы высокого риска рецидива опухоли. Согласно клиническим рекомендациям, таким больным необходимо назначение митотана в комбинации с гидрокортизоном [1, 2]. Определены факторы очень высокого риска прогрессирования заболевания: IV стадия АКР, наличие опухолевого тромбоза нижней полой вены, обширной инвазии сосудистого русла, а также величина Ki-67 более 19%. В данной клинической ситуации больным показано назначение полихимиотерапевтического лечения (ПХТ) 1-й линии этопозидом, цисплатином или карбоплатином (4–6 курсов) в сочетании с митотаном [3, 4].
Система RECIST 1.1 (англ. Response evaluation criteria in solid tumors) применяется для оценки эффективности ПХТ у больных АКР и включает следующие критерии: полный ответ, частичный ответ, прогрессирование заболевания, стабилизация заболевания [4, 5]. Измерению опухолевой ткани визуализирующими методами свойственна вариабельность и недостаточная точность, что может приводить к трудностям в оценке эффективности ПХТ с помощью критериев RECIST 1.1 [1].
Исследователями не определено ни одного надежного предиктивного маркера адъювантной терапии митотаном [5, 6]. Большинство работ направлено на оценку выживаемости больных АКР с высоким риском рецидива после хирургического лечения в процессе применения адъювантной ПХТ. Выявление биомаркеров ответа на ПХТ у больных АКР является одной из важных проблем в мониторинге химиотерапевтического лечения, поскольку может дать понимание, объясняющее прогрессирование заболевания при стандартной химиотерапии, а также может предложить варианты терапии 2-й линии для улучшения как результатов ПХТ, так и качества жизни [7, 8].
Ранее нами было показано, что исследования стероидного профиля мочи (СПМ) методом газовой хромато-масс-спектрометрии (ГХ-МС) позволяют не только провести дифференциальную диагностику доброкачественных и злокачественных образований надпочечников, но и установить нарушения адреналового стероидогенеза и выявить признаки рецидива адренокарциномы на ранних стадиях заболевания [9, 10]. Таким образом, есть основания полагать, что исследование стероидного метаболома мочи методом ГХ-МС у больных АКР после хирургического лечения откроет новые возможности в поиске дополнительных биомаркеров ответа на химиотерапию.
Цель – определить биомаркеры ответа на ПХТ у больных АКР после хирургического удаления опухоли на основании исследования СПМ методом ГХ-МС.
Материал и методы
Обследовали 30 больных АКР, получивших в период с 2020 по 2023 г. хирургическое лечение и адъювантную ПХТ в Центре патологии надпочечников клиники им. Э. Э. Эйхвальда ФГБОУ ВО «Северо-Западный государственный медицинский университет им. И. И. Мечникова» Минздрава России, в хирургическом отделении № 5 ФГБУ «Национальный медицинский исследовательский центр онкологии им. Н. Н. Блохина» Минздрава России. Набор пациентов в исследование был проспективным, проведение исследования одобрено локальным этическим комитетом ФГБОУ ВО «Северо-Западный государственный медицинский университет им. И. И. Мечникова» Минздрава России (протокол № 8 от 11.11.2020), от каждого пациента получено согласие на участие в исследовании. Двадцать пять больных с гормонально неактивной аденомой (ГНА) без злокачественного потенциала по шкале L. M. Weiss составили группу контроля (ГК).
По данным компьютерной томографии органов брюшной полости с введением контрастного вещества в дооперационном периоде определяли локализацию первичной опухоли, ее максимальный размер, нативную плотность, наличие инвазии в окружающие ткани, скорость вымывания контрастного вещества. Наличие метастазов опухоли до хирургического лечения, прогрессирование заболевания, эффективность ПХТ (по системе RECIST 1.1) подтверждали на основании данных компьютерной томографии органов грудной и брюшной полостей, малого таза. В группу больных АКР с ответом на ПХТ включали обследованных с полным и частичным ответом по системе RECIST 1.1. Количество баллов по шкале L. M. Weiss определяли по данным патоморфологического исследования послеоперационного материала [1]. Оценку пролиферативной активности клеток опухоли проводили по результатам определения индекса Ki-67 методом иммуногистохимического анализа. Стадию заболевания устанавливали на основании результатов визуализирующих методов обследования и гистологического исследования по классификации ENSAT [11]. В исследование включены пациенты со II, III и IV стадиями заболевания на этапе установления диагноза c суммой баллов ≥ 4 по шкале L. M. Weiss. В исследование не включались пациенты с острыми инфекционными заболеваниями, острой сердечно-сосудистой патологией, тяжелыми психическими заболеваниями, беременные, принимающие комбинированные оральные контрацептивы, имеющие хроническую болезнь почек 3–5-й стадий, печеночную недостаточность.
В качестве первой линии цитотоксической ПХТ у больных с рецидивом опухоли на фоне монотерапии адренолитиком назначали ПХТ 1-й линии в комбинации этопозида, доксорубицина и цисплатина с ежедневным приемом митотана. Прогрессирование АКР по критериям RECIST 1.1 после проведения 1-й линии ПХТ служило показанием для назначения 2-й линии ПХТ по следующей схеме: гемцитабин в сочетании с капецитабином и приемом митотана в дозе, обеспечивающей достижение целевых значений адренолитика в крови (14–20 мг/л). У пациентов с АКР с хорошим результатом полихимиотерапевтического лечения по критериям RECIST 1.1 наблюдали исчезновение всех дополнительных очагов и уменьшение размера лимфатических узлов (менее 1 см). Прогрессирование заболевания определяли как однозначную прогрессию дополнительных очагов, появление новых метастазов.
Всем больным АКР после хирургического лечения и проведения ПХТ и пациентам с ГНА проведено исследование СПМ методом ГХ-МС на хромато-масс-спектрометре Shimadzu GCMS–ТQ8050 в научно-исследовательской лаборатории хроматографии ФГБОУ ВО «Северо-Западный государственный медицинский университет им. И. И. Мечникова» Минздрава России [12]. Метод позволяет определять экскрецию с мочой более 70 стероидов за один анализ.
Статистическую обработку данных осуществляли с использованием программных пакетов Statistica (v.10.0). Для сравнения результатов использовали непараметрический критерий Манна – Уитни. Количественные характеристики обследованных представлены в виде медианы (Ме), 25-го и 75-го перцентилей [Q1; Q3]. Статистически значимым считали значение р < 0,05. При сравнении 3 групп статистически значимыми считали значения критерия р < 0,017 с учетом поправки Бонферрони. Чувствительность и специфичность рассчитана методом ROC (англ. receiver operating characteristic)-анализа (MedCalc Software) и площади под ROC-кривыми (AUC, англ. area under the curve).
Результаты
Больные АКР после хирургического лечения в зависимости от ответа на проведенное химиотерапевтическое лечение были разделены на 2 группы. В первую группу вошли 23 больных АКР с ответом на ПХТ: 2 больных со II стадией АКР, 14 – с III стадией и 7 – с IV стадией на этапе установления диагноза. Во вторую группу – с прогрессированием АКР на фоне ПХТ – были включены 7 пациентов с IV стадией АКР на этапе установления диагноза. В первой группе 15 больных получали ПХТ 1-й линии (от 2 до 6 циклов), 8 больных – ПХТ 1-й и 2-й линий. Во второй группе все больные получали ПХТ 1-й и 2-й линии, но эффект по критериям RECIST 1.1 не был получен.
Пациенты из групп 1 и 2 не различались по таким показателям, как возраст, размер опухоли, индекс Ki-67 и количество баллов по шкале L. M. Weiss. Больные с ГНА (ГК) были сопоставимы по возрасту с больными АКР, однако размер опухоли у них был меньше (табл. 1).
Таблица 1. Клинические данные пациентов с гормонально неактивной аденомой и больных адренокортикальным раком в зависимости от ответа на полихимиотерапию
Показатель, Ме [Q1; Q3] | Больные АКР с ответом на ПХТ (n = 23) | Больные АКР с прогрессированием заболевания на ПХТ (n = 7) | Группа контроля (ГНА) (n = 25) | Значение p |
(1) | (2) | (К) | ||
Возраст, годы | 44 [35; 61] | 43 [29; 61] | 50 [40; 61] | p(1–К) = 0,12 p(1–2) = 0,46 p(2–К) = 0,11 |
М:Ж, абс. | 6:17 | 2:5 | 7:18 | |
Размер образования, мм | 89 [60; 99] | 105 [75; 215] | 25 [21; 30] | p(1–К) = 0,0001 p(1–2) = 0,39 p(2–К) = 0,001 |
Кi-67, % | 22 [13; 46] | 35 [27; 50] | – | p(1–2) = 0,85 |
Количество баллов по L.M. Weiss | 4 [4; 8] | 7 [6; 9] | 0 | p(1–2) = 0,45 |
АКР – адренокортикальный рак, ГНА – гормонально неактивная аденома, Ж – женщины, М – мужчины, ПХТ – полихимиотерапия
Результаты исследования СПМ методом ГХ-МС представлены в табл. 2. У больных АКР с ответом на ПХТ получено снижение экскреции с мочой этиохоланолона (Et), прегнандиола (Р2) и прегнантриола (P3) в сравнении с ГК. У больных без ответа на ПХТ получено повышение экскреции с мочой андрогенов: Et, дегидроэпиандростерона (DHEA) и его метаболитов (16-ОН-DHEA, андростентриола (dA3), андростендиола-17β (dA2-17β) и 16-oxo-dA2), Р2, Р3, 17-гидроксипрегнанолона, 5-ене-прегненов (прегнендиола, 3α,16,20-прегнентриола (3α,16,20-dP3) и 3α,17,20-dP3) и тетрагидро-11-дезоксикортизола (ТНS) в сравнении с ГК и соответствующими показателями у пациентов с АКР с ответом на ПХТ (см. табл. 2).
Таблица 2. Экскреция с мочой основных биомаркеров адренокортикального рака после хирургического лечения и проведения полихимиотерапии по данным газовой хромато-масс-спектрометрии
Стероид, Ме [Q1; Q3], мкг/сут | Больные АКР с ответом на ПХТ (n = 23) | Больные АКР с прогрессированием заболевания на ПХТ (n = 7) | Группа контроля (ГНА) (n = 25) | Значение p |
(1) | (2) | (К) | ||
Этиохоланолон (Et) | 195 [81; 539] | 1416 [1258; 3790]* | 589 [360; 720] | p(1–К) = 0,004 p(2–К) = 0,005 |
Андростендиол-17β (dA2-17β) | 41 [22; 121] | 291 [129; 434]** | 87 [45; 117] | p(1–К) = 0,23 р(2–К) = 0,005 |
Дегидроэпиандростерон (DHEA) | 109 [23; 311] | 1938 [1573; 8473]* | 122 [47; 260] | p(1–К) = 0,95 p(2–К) = 0,0004 |
16α-ОН-DHEA | 231 [85; 486] | 3200 [704; 11600]* | 142 [36; 278] | p(1–К) = 0,29 p(2–К) = 0,0007 |
16-оксо-андростендиол (16-охо-dA2) | 38 [11; 92] | 279 [214; 436]* | 25 [15; 45] | p(1–К) = 0,80 p(2–К) = 0,012 |
Андростентриол (dA3) | 111 [54; 333] | 2193 [546; 13047]* | 142 [96; 279] | p(1–К) = 0,47 p(2–К) = 0,002 |
17-ОН-прегнанолон (17-OHP) | 98 [46; 210] | 723 [184; 1150]** | 197 [104; 267] | p(1–К) = 0,21 p(2–К) = 0,029 |
Прегнандиол (P2) | 179 [73; 495] | 839 [800; 1560]** | 443 [270; 644] | p(1–К) = 0,021 p(2–К) = 0,045 |
Прегнантриол (P3) | 289 [144; 780] | 1965 [1605; 5223]* | 635 [553; 812] | p(1–К) = 0,042 p(2–К) = 0,013 |
Прегнендиол (dP2) | 210 [155; 770] | 2455 [1441; 3625]* | 516 [236; 761] | p(1–К) = 0,099 p(2–К) = 0,004 |
3α,16,20-прегнентриол (3α,16,20-dP3) | 156 [37; 395] | 1068 [570; 1137]* | 136 [79; 210] | p(1–К) = 0,73 p(2–К) = 0,005 |
3α,17,20-прегнентриол (dP3-3α) | 205 [125; 500] | 4994 [1716; 10532]* | 168 [131; 276] | p(1–К) = 0,23 p(2–К) = 0,0002 |
Тетрагидро-11-дезоксикортизол (ТНS) | 110 [38; 359] | 1310 [1076; 2220]* | 78 [35; 111] | p(1–К) = 0,11 p(2–К) = 0,0006 |
3β,16,20-прегнентриол (3β,16,20-dP3) | 40 [27; 90] | 617 [378; 681]* | Не обнаружен | _ |
АКР – адренокортикальный рак, ГНА – гормонально неактивная аденома, ПХТ – полихимиотерапия
* р < 0,017, ** p < 0,005 – статистическая значимость различий показателей больных АКР без ответа на ПХТ с показателями больных АКР с ответом на ПХТ
У больных АКР 1-й и 2-й групп выявлена экскреция с мочой 3β,16,20-прегнентриола (3β,16,20-dP3), не определяемая у больных ГНА без злокачественного потенциала. У больных АКР с ответом на ПХТ в сравнении с показателями больных АКР без ответа на ПХТ установлено снижение экскреции с мочой 3β,16,20-dP3 (р = 0,0005) и повышение соотношения 3α,16,20-dP3/3β,16,20-dP3 до 3,56 (3,04–7,65) в сравнении с соотношением 3α,16,20-dP3/3β,16,20-dP3, равным 1,32 (1,00–1,73), у больных с прогрессированием заболевания после ПХТ (р = 0,002).
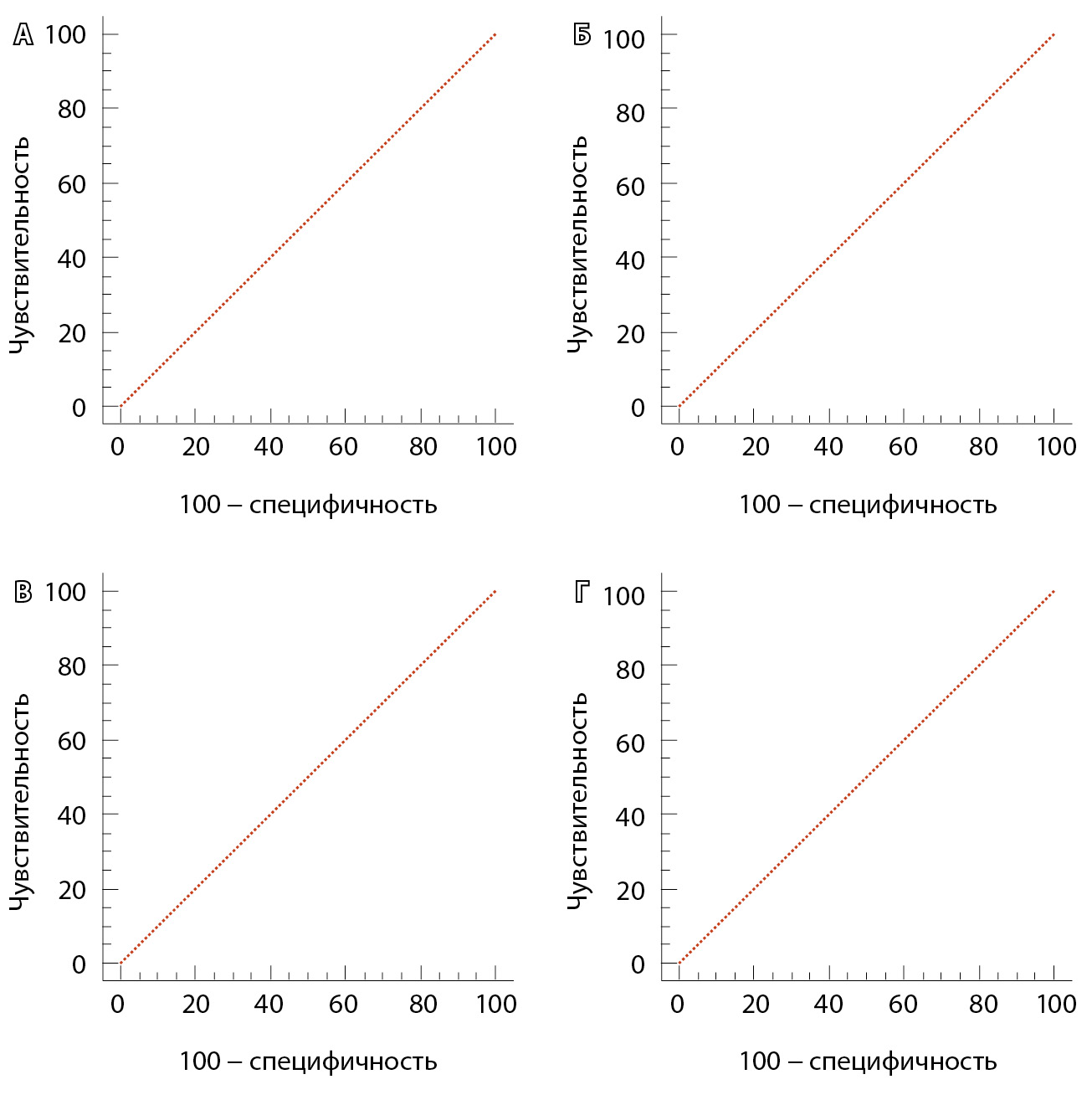
По данным ROC-анализа получены пороговые значения экскреции с мочой DHEA ≤ 469 мкг/сут (AUC = 1,0), ТНS ≤ 223 мкг/сут (AUC = 1,0) и 3β,16,20-dP3 ≤ 130 мкг/сут (AUC = 0,986), соотношения 3α,16,20-dP3/3β,16,20-dP3 ≥ 2,13 (AUC = 1,0) с чувствительностью и специфичностью 100% (р < 0,0001) для оценки результатов ответа на ПХТ (рисунок).
Чувствительность и специфичность пороговых значений экскреции с мочой дегидроэпиандростерона (А; чувствительность 100%, специфичность 100%, критерий ≤ 469), тетрагидро-11-дезоксикортизола (Б; чувствительность 100%, специфичность 100%, критерий ≤ 223), 3β,16,20-прегнентриола (В; чувствительность 100%, специфичность 100%, критерий ≤ 130) и соотношения 3α,16,20-dР3/3β,16,20-dР3 (Г; чувствительность 100%, специфичность 100%, критерий > 2,13) для оценки результатов ответа на полихимиотерапию у больных адренокортикальным раком после хирургического лечения
Обсуждение
Персонализация ПХТ – важная задача лечения больных АКР, решение которой может способствовать увеличению эффективности данной терапии. Исследователи указывают на гетерогенность прогноза и чувствительности больных АКР к проводимой химиотерапии. Согласно результатам исследования Firm-ACT, применение 1-й линии ПХТ по схеме EDP-M (этопозид, доксорубицин, цисплатин в сочетании с митотаном) у больных с местно-распространенной опухолью или отдаленными метастазами АКР в послеоперационном периоде ассоциировано с длительностью беспрогрессивной выживаемости 5,1 месяца [13]. Опубликованы данные о больных с более длительным ответом на ПХТ [14]. С учетом различной эффективности и частого развития побочных эффектов выявление предиктивных маркеров химиотерапии позволит увеличить выживаемость с сохранением качества жизни больных с поздними стадиями АКР. Существующие трудности оценки ответа АКР на ПХТ с помощью визуализирующих методов обследования способствуют поиску новых методов определения эффективности данного лечения [15, 16].
Ряд авторов обращает внимание на важность применения методов хромато-масс-спектрометрии в дополнение к существующим способам мониторинга лечения АКР в послеоперационном периоде [9, 17]. В результате проведенных исследований методом ГХ-МС определены хроматографические признаки злокачественности объемного образования надпочечника, а также прогностические маркеры сниженной безрецидивной выживаемости у больных АКР в дооперационном периоде, получены биомаркеры рецидива опухоли после хирургического лечения [18–20].
В настоящей работе впервые определены хроматографические биомаркеры ответа на ПХТ у больных АКР. К ним отнесены экскреция с мочой DHEA, THS и 3β,16,20-dP3, а также значение соотношения 3α,16,20-dP3/3β,16,20-dP3, получена 100% чувствительность и специфичность их пороговых значений. Это дает основания предположить, что исследование стероидного метаболома мочи методом ГХ-МС может стать неинвазивным, удобным для пациента способом мониторирования химиотерапевтического лечения АКР.
Следующий этап нашей работы – изучение стероидного метаболома мочи больных в динамике химиотерапевтического лечения для выявления предиктивных маркеров терапии.
Заключение
Методом ГХ-МС получены различные СПМ у больных АКР с ответом и прогрессированием заболевания на ПХТ. Чувствительность и специфичность 100% пороговых значений экскреции с мочой DHEA, ТНS и 3β,16,20-dP3, соотношения 3α,16,20-dP3/3β,16,20-dP3 для оценки эффективности ответа на ПХТ указывают на возможность применения данных биомаркеров в мониторинге проведения ПХТ. Таким образом, исследование СПМ методом ГХ-МС может стать дополнительным к существующим протоколам способом определения маркеров ответа адренокарцином на проведенное химиотерапевтическое лечение.
Дополнительная информация
Финансирование
Работа проведена в рамках выполнения Государственного задания Министерства здравоохранения Российской Федерации № НИОКТР 122012100080-3.
Конфликт интересов
Авторы заявляют об отсутствии явных и потенциальных конфликтов интересов, связанных с публикацией настоящей статьи.
Участие авторов
Л. И. Великанова – анализ полученных результатов, статистическая обработка данных, написание текста; Н. В. Ворохобина – анализ клинико-экспериментальных результатов исследования, редактирование рукописи, утверждение итогового варианта текста рукописи; В. В. Калугина – сбор клинического материала, написание текста; З. Р. Шафигуллина – разработка дизайна клинической части исследования, сбор клинического материала, анализ полученных данных, написание текста; Е. В. Малеваная, Е. Г. Стрельникова – проведение исследований методом газовой хромато-масс-спектрометрии, анализ полученных результатов; В. Ю. Бохян – сбор клинического материала, анализ полученных данных. Все авторы прочли и одобрили финальную версию статьи перед публикацией, согласны нести ответственность за все аспекты работы и гарантируют, что ими надлежащим образом были рассмотрены и решены вопросы, связанные с точностью и добросовестностью всех частей работы.
About the authors
Ludmila I. Velikanova
North-Western State Medical University named after I.I. Mechnikov
Author for correspondence.
Email: velikanova46@gmail.com
ORCID iD: 0000-0002-9352-4035
Doctor of Biol. Sci., Professor, Head of Science and Research Laboratory of Chromatography
Russian Federation, ul. Kirochnaya 41, Saint Petersburg, 191015Natalia V. Vorokhobina
North-Western State Medical University named after I.I. Mechnikov
Email: natvorokh@mail.ru
ORCID iD: 0000-0002-9574-105X
MD, PhD, Professor, Head of Chair of Endocrinology named after academician V.G. Baranov
Russian Federation, ul. Kirochnaya 41, Saint Petersburg, 191015Valentina V. Kalugina
North-Western State Medical University named after I.I. Mechnikov
Email: kaluginavav@gmail.com
ORCID iD: 0000-0002-2812-6911
Postgraduate Student, Chair of Endocrinology named after academician V.G. Baranov
Russian Federation, ul. Kirochnaya 41, Saint Petersburg, 191015Zulfiya R. Shafigullina
North-Western State Medical University named after I.I. Mechnikov
Email: zula183@mail.ru
ORCID iD: 0000-0001-8292-8504
MD, PhD, Associate Professor, Chair of Endocrinology named after academician V.G. Baranov
Russian Federation, ul. Kirochnaya 41, Saint Petersburg, 191015Ekaterina V. Malevanaya
North-Western State Medical University named after I.I. Mechnikov
Email: e.malevanaia@gmail.com
ORCID iD: 0000-0003-0880-0814
PhD (in Chem.), Senior Research Fellow, Science and Research Laboratory of Chromatography
Russian Federation, ul. Kirochnaya 41, Saint Petersburg, 191015Elena G. Strelnikova
North-Western State Medical University named after I.I. Mechnikov
Email: lstrelnikova@inbox.ru
ORCID iD: 0000-0002-1208-8092
PhD (in Chem.), Senior Research Fellow, Science and Research Laboratory of Chromatography
Russian Federation, ul. Kirochnaya 41, Saint Petersburg, 191015Vahan Y. Bokhyan
N.N. Blokhin National Medical Research Center of Oncology
Email: v_bokhyan@kand.ru
ORCID iD: 0000-0002-9066-5190
MD, PhD, Head of Surgical Department No. 5 (Endocrine Oncology)
Russian Federation, Kashirskoe shosse 24, Moscow, 115522References
- Fassnacht M, Assie G, Baudin E, Eisenhofer G, de la Fouchardiere C, Haak HR, de Krijger R, Porpiglia F, Terzolo M, Berruti A; ESMO Guidelines Committee. Electronic address: clinicalguidelines@esmo.org. Adrenocortical carcinomas and malignant phaeochromocytomas: ESMO-EURACAN Clinical Practice Guidelines for diagnosis, treatment and follow-up. Ann Oncol. 2020;31(11):1476–1490. doi: 10.1016/j.annonc.2020.08.2099.
- Fassnacht M, Dekkers OM, Else T, Baudin E, Berruti A, de Krijger R, Haak HR, Mihai R, Assie G, Terzolo M. European Society of Endocrinology Clinical Practice Guidelines on the management of adrenocortical carcinoma in adults, in collaboration with the European Network for the Study of Adrenal Tumors. Eur J Endocrinol. 2018;179(4):G1–G46. doi: 10.1530/EJE-18-0608.
- Gorbunova VA, Bel'tsevich DG, Kolomeytseva AA, Bokhyan VYu, Mel'nichenko GA, Perevodchikova NI, Fedenko AA. [Practical guidelines for medical treatment of adrenocortical cancer]. Malignant Tumours. 2022;12(3s2-1): 545–552. Russian. doi: 10.18027/2224-5057-2022-12-3s2-545-552.
- Gombolevskiy VA, Laypan ASh, Shapiev AN, Vladzimirskiy AV, Morozov SP. [The use of the Response Evaluation Criteria for Solid Tumors (RECIST 1.1)]. The “Best practice in radiological and instrumental diagnostics” series. 8th ed. Moscow; 2018. 15 p. Russian.
- Yoon SH, Kim KW, Goo JM, Kim DW, Hahn S. Observer variability in RECIST-based tumour burden measurements: a meta-analysis. Eur J Cancer. 2016;53:5–15. doi: 10.1016/j.ejca.2015.10.014.
- Terzolo M, Fassnacht M. ENDOCRINE TUMOURS: Our experience with the management of patients with non-metastatic adrenocortical carcinoma. Eur J Endocrinol. 2022;187(3):R27–R40. doi: 10.1530/EJE-22-0260.
- Al-Ward R, Zsembery C, Habra MA. Adjuvant therapy in adrenocortical carcinoma: prognostic factors and treatment options. Endocr Oncol. 2022;2(1):R90–R101. doi: 10.1530/EO-22-0050.
- Millis SZ, Ejadi S, Demeure MJ. Molecular Profiling of Refractory Adrenocortical Cancers and Predictive Biomarkers to Therapy. Biomark Cancer. 2015;7:69–76. doi: 10.4137/BIC.S34292.
- Velikanova LI, Vorokhobina NV, Shafigullina ZR, Bokhian VY, Stilidi IS, Kalugina VV, Malevanaya EV, Strelnikova EG, Kushlinskii NE. [Study of urine steroid profiles by gas chromatography-mass spectrometry in patients with adrenocortical cancer in the course of treatment]. Almanac of Clinical Medicine. 2021;49(4):277–284. Russian. doi: 10.18786/2072-0505-2021-49-041.
- Velikanova LI, Vorokhobina NV, Shafigullina ZR, Kalugina VV, Malevanaya EV, Strelnikova EG, Buinova MO, Lisitsyn AA, Kushlinskii NE. [The relationship between urine steroid metabolome and the course of adrenocortical cancer]. Almanac of Clinical Medicine. 2023;51(3):143–153. Russian. doi: 10.18786/2072-0505-2023-51-018.
- Fassnacht M, Johanssen S, Quinkler M, Bucsky P, Willenberg HS, Beuschlein F, Terzolo M, Mueller HH, Hahner S, Allolio B; German Adrenocortical Carcinoma Registry Group; European Network for the Study of Adrenal Tumors. Limited prognostic value of the 2004 International Union Against Cancer staging classification for adrenocortical carcinoma: proposal for a Revised TNM Classification. Cancer. 2009;115(2):243–250. doi: 10.1002/cncr.24030.
- Velikanova LI, Strel’nikova EG, Obedkova EV, Krivokhizhina NS, Shafigullina ZR, Grigoryan K, Povarov VG, Moskvin AL. Generation of urinary steroid profiles in patients with adrenal incidentaloma using gas chromatography-mass spectrometry. J Anal Chem. 2016;71(7):748–754. doi: 10.1134/S1061934816070169.
- Fassnacht M, Terzolo M, Allolio B, Baudin E, Haak H, Berruti A, Welin S, Schade-Brittinger C, Lacroix A, Jarzab B, Sorbye H, Torpy DJ, Stepan V, Schteingart DE, Arlt W, Kroiss M, Leboulleux S, Sperone P, Sundin A, Hermsen I, Hahner S, Willenberg HS, Tabarin A, Quinkler M, de la Fouchardière C, Schlumberger M, Mantero F, Weismann D, Beuschlein F, Gelderblom H, Wilmink H, Sender M, Edgerly M, Kenn W, Fojo T, Müller HH, Skogseid B; FIRM-ACT Study Group. Combination chemotherapy in advanced adrenocortical carcinoma. N Engl J Med. 2012;366(23):2189–2197. doi: 10.1056/NEJMoa1200966.
- Laganà M, Grisanti S, Cosentini D, Ferrari VD, Lazzari B, Ambrosini R, Sardini C, Volta AD, Palumbo C, Poliani PL, Terzolo M, Sigala S, Tiberio GAM, Berruti A. Efficacy of the EDP-M Scheme Plus Adjunctive Surgery in the Management of Patients with Advanced Adrenocortical Carcinoma: The Brescia Experience. Cancers (Basel). 2020;12(4):941. doi: 10.3390/cancers12040941.
- Laufs V, Altieri B, Sbiera S, Kircher S, Steinhauer S, Beuschlein F, Quinkler M, Willenberg HS, Rosenwald A, Fassnacht M, Ronchi CL. ERCC1 as predictive biomarker to platinum-based chemotherapy in adrenocortical carcinomas. Eur J Endocrinol. 2018;178(2):181–188. doi: 10.1530/EJE-17-0788.
- Malandrino P, Al Ghuzlan A, Castaing M, Young J, Caillou B, Travagli JP, Elias D, de Baere T, Dromain C, Paci A, Chanson P, Schlumberger M, Leboulleux S, Baudin E. Prognostic markers of survival after combined mitotane- and platinum-based chemotherapy in metastatic adrenocortical carcinoma. Endocr Relat Cancer. 2010;17(3):797–807. doi: 10.1677/ERC-09-0341.
- Chortis V, Bancos I, Nijman T, Gilligan LC, Taylor AE, Ronchi CL, O'Reilly MW, Schreiner J, Asia M, Riester A, Perotti P, Libé R, Quinkler M, Canu L, Paiva I, Bugalho MJ, Kastelan D, Dennedy MC, Sherlock M, Ambroziak U, Vassiliadi D, Bertherat J, Beuschlein F, Fassnacht M, Deeks JJ, Biehl M, Arlt W. Urine Steroid Metabolomics as a Novel Tool for Detection of Recurrent Adrenocortical Carcinoma. J Clin Endocrinol Metab. 2020;105(3):e307–e318. doi: 10.1210/clinem/dgz141.
- Arlt W, Biehl M, Taylor AE, Hahner S, Libé R, Hughes BA, Schneider P, Smith DJ, Stiekema H, Krone N, Porfiri E, Opocher G, Bertherat J, Mantero F, Allolio B, Terzolo M, Nightingale P, Shackleton CH, Bertagna X, Fassnacht M, Stewart PM. Urine steroid metabolomics as a biomarker tool for detecting malignancy in adrenal tumors. J Clin Endocrinol Metab. 2011;96(12):3775–3784. doi: 10.1210/jc.2011-1565.
- Velikanova LI, Shafigullina ZR, Lisitsin AA, Vorokhobina NV, Grigoryan K, Kukhianidze EA, Strelnikova EG, Krivokhizhina NS, Krasnov LM, Fedorov EA, Sablin IV, Moskvin AL, Bessonova EA. Different Types of Urinary Steroid Profiling Obtained by High-Performance Liquid Chromatography and Gas Chromatography-Mass Spectrometry in Patients with Adrenocortical Carcinoma. Horm Cancer. 2016;7(5–6):327–335. doi: 10.1007/s12672-016-0267-0.
- Kalugina VV, Vorokhobina NV, Velikanova LI, Shafigullina ZR, Malevanaya EV, Strelnikova EG, Bokhyan VY, Britvin TA, Kushlinskii NE. [Prognostic markers of recurrence in adrenocortical carcinoma patients after surgery]. HERALD of North-Western State Medical University named after I.I. Mechnikov. 2023;15(2):57–67. Russian. doi: 10.17816/mechnikov233493.
Supplementary files



