The relationship between urine steroid metabolome and the course of adrenocortical cancer
- Autores: Velikanova L.I.1, Vorokhobina N.V.1, Shafigullina Z.R.1, Kalugina V.V.1, Malevanaya E.V.1, Strelnikova E.G.1, Buinova M.O.1, Lisitsyn A.A.1, Kushlinskii N.E.2
-
Afiliações:
- North-Western State Medical University named after I.I. Mechnikov
- N.N. Blokhin National Medical Research Center of Oncology
- Edição: Volume 51, Nº 3 (2023)
- Páginas: 143-153
- Seção: ARTICLES
- URL: https://bakhtiniada.ru/2072-0505/article/view/149011
- DOI: https://doi.org/10.18786/2072-0505-2023-51-018
- ID: 149011
Citar
Texto integral
Resumo
Background: Adrenocortical cancer (ACC) is a rare aggressive and rapidly metastatic disease. Early diagnosis of the disease and its metastatic stage are important for the choice of treatment strategy. Evaluation of urine steroid profiles (USP) by gas chromatography-mass spectrometry (GC-MS) is a highly sensitive and specific biomarker instrument that allows for differentiation between benign and malignant tumor and obvious prospects for the diagnosis in patients with adrenal incidentalomas. In our previous study we have found no difference in urine excretion of tetrahydro-11-deoxycortisole (THS), 5-ene-pregnenes and 3α,16,20-pregnenetriol/3β,16,20-pregnenetriol ratio (3α,16,20-dP3/3β,16,20-dP3) in patients with metastatic ACC in early postoperative period, compared to pre-operative parameters. We did not account for the disease stage and primary tumor size in that study in ACC patients.
Aim: To identify specific characteristics of urine steroid metabolome by GC-MS in ACC I–IV stages patients before surgery in order to detect early signs of metastases and the relationship between adrenal steroidogenesis abnormalities and disease stages.
Materials and methods: We performed a retrospective analysis of the data from the study of USP in 59 ACC stage I-IV patients with L. M. Weiss score ≥ 3, according to pathological examination of the surgical samples. The Cushing syndrome was diagnosed by immunochemistry assay in 28 (47.6%) of ACC patients. Tumor staging was done according to ENSAT based on the results of imaging and postoperative histological reports. ENSAT I was diagnosed in 8 patients, ENSAT II in 26, ENSAT III in 14, ENSAT IV in 11 ACC patients. The control group included 28 healthy donors. USP was assessed by GC-MS before surgery with a gas chromatography-mass-spectrometer Shimadzu GCMS-ТQ8050.
Results: The first variant of urinary steroid metabolome abnormalities with increased excretion of dehydroepiandrosterone (DHEA) and THS was found in 10 (90.9%) of ENSAT IV ACC patients and in 20 (50%) of ENSAT II + III patients. The fourth USP variant was characterized by no difference in androgen and THS urinary excretion from that in healthy individuals and was found in ACC ENSAT I patients. Only in ACC ENSAT I patients, there was an increase of pregnanediol (P2) urinary excretion and of the P2/pregnanetriol (P3) ratio, compared to those in healthy donors. ROC-analysis demonstrated that ТНS > 867 mcg/24 hours, 3β,16,20-dP3 > 300 mcg/24 hours and 3α,16,20-dP3/3β,16,20-dP3 < 1.6 cut-offs had a sensitivity and specificity of 100% for preoperative identification of ENSAT IV ACC patients before surgery and for early diagnosis of ACC metastases. There were positive correlations between 16-oxo-androstenediol, THS, and progestogens, as well as a negative correlation between 3α,16,20-dP3/3β,16,20-dP3 ratio and the disease stage.
Conclusion: Urinary excretion of THS, DHEA and its metabolites, P2, 5-ene-pregnenes, and 3α,16,20-dP3/3β,16,20-dP3 ratio determined by GC-MS are important biochemical markers of ACC stages and can be used as ACC metastases prognostic markers.
Texto integral
Адренокортикальный рак (АКР) – редкая опухоль коркового вещества надпочечников [1]. Стадия заболевания определяется согласно классификации Европейского общества по изучению опухолей надпочечников (англ. European Network for the Study of Adrenal Tumors Classification, ENSAT, 2009) [2] и классификации TNM Американского объединенного комитета по раку и Союза международного контроля над раком 8-го пересмотра (англ. American Joint Committee on Cancer / Union for International Cancer Control, AJCC/UICC 8, 2017) [3]. У больных с I стадией размер опухоли не превышает 5 см, больший размер адренокарциномы отличает пациентов со II стадией, локальная инвазия опухоли и/или метастазы в лимфатические узлы, опухолевый тромбоз нижней полой вены или почечной вены наблюдаются у пациентов с III стадией заболевания, отдаленные метастазы опухоли – у больных с IV стадией [2]. При установлении диагноза I и II стадии определяются у 50-60% больных, III стадия – у 20%, наличие дистальных метастазов – у 20-30% пациентов. Необходимо отметить, что на I стадии заболевание выявляется редко, всего у 3-5% больных, что связано с высокой скоростью роста опухоли [4]. Стадия заболевания считается одним из важнейших прогностических клинических параметров больных АКР.
В настоящее время наиболее информативными для изучения метаболизма стероидных гормонов признаны хроматографические методы анализа [5-8]. Исследование стероидных профилей мочи (СПМ) методом газовой хромато-масс-спектрометрии (ГХ-МС) дает возможность изучить метаболомику большого спектра андрогенов, глюкокортикоидов и их предшественников за один анализ [5, 6]. Известно, что исследование СПМ методом ГХ-МС – высокочувствительный и специфический биомаркерный метод, позволяющий дифференцировать доброкачественные опухоли от злокачественных, с очевидной перспективой для диагностики пациентов с инциденталомами надпочечников [9-12]. В 2011 г. W. Arlt и соавт. исследована метаболомика стероидов у 45 больных АКР, у 10 из них были выявлены метастазы опухоли. Исследователями не определено различий в СПМ в зависимости от стадии заболевания и максимального размера первичной адренокарциномы [9]. T. M. Kerkhofs и соавт. в 2015 г. обнаружили корреляцию величины экскреции с мочой тетрагидро-11-дезоксикортизола (англ. tetrahydro-11-deoxycortisol, THS), одного из основных биомаркеров АКР, и стадии заболевания согласно классификации ENSAT. Была также выявлена зависимость величины экскреции с мочой THS от размера опухоли и тенденция к увеличению экскреции данного метаболита у больных с большой массой адренокарциномы [13]. Различия могут быть обусловлены тем, что в первом исследовании у 22% больных СПМ были изучены в послеоперационном периоде [9].
В нашем предыдущем исследовании установлено отсутствие различий в экскреции с мочой THS, 5-ene-прегненов и соотношения 3α,16,20-прегнентриол/3β,16,20-прегнентриол (3α,16,20-dP3/3β,16,20-dP3) у больных АКР с метастазами в раннем послеоперационном периоде по сравнению с показателями больных АКР в дооперационном периоде [14]. Стадии заболевания и размер первичной опухоли у больных АКР в данном исследовании не учитывали. Таким образом, представляется целесообразным изучить особенности стероидного метаболома мочи больных АКР в зависимости от размера первичной опухоли и стадии заболевания, что важно для подтверждения стадии заболевания и открывает новые возможности в ранней диагностике развития метастазов, необходимой для определения тактики лечения. Целью данного исследования было выявление характерных особенностей метаболома стероидов мочи методом ГХ-МС у больных АКР с I-IV стадиями до хирургического лечения для определения ранних признаков метастазов и взаимосвязи нарушений адреналового стероидогенеза со стадиями заболевания.
Материал и методы
Ретроспективно проанализированы данные медицинской документации 59 больных АКР в возрасте от 35 до 70 лет с I по IV стадиями заболевания с суммой баллов по шкале L. M. Weiss ≥ 3 (на основании патоморфологического исследования послеоперационного материала), которые были сопоставлены с результатами обследования 28 здоровых доноров из группы контроля (ГК). Больные наблюдались в Центре патологии надпочечников клиники им. Э. Э. Эйхвальда Северо-Западного государственного медицинского университета им. И. И. Мечникова, хирургическом отделении № 5 Национального медицинского исследовательского центра онкологии им. Н. Н. Блохина с 2014 по 2023 г. У всех обследованных собраны демографические данные (пол, возраст), анамнез заболевания, данные клинической картины (жалобы на момент выявления заболевания, симптомы проявления гормональной активности). Стадию заболевания устанавливали на основании результатов визуализирующих методов обследования и послеоперационного гистологического исследования по классификации ENSAT: I стадия была определена у 8 (13,6%), II стадия – у 26 (44,1%), III стадия – у 14 (23,7%), IV стадия – у 11 (18,6%) больных. По данным компьютерной томографии с контрастированием органов брюшной полости уточняли локализацию опухоли, ее максимальный размер, нативную плотность.
Клинические данные больных АКР в зависимости от стадии заболевания представлены в табл. 1. Синдром Кушинга (СК) диагностирован у 28 больных АКР методами иммуноанализа: в сыворотке крови определяли уровни кортизола в 9:00, 21:00 и после теста с 1 мг дексаметазона, дегидроэпиандростерона сульфата, адренокортикотропного гормона плазмы.
Таблица 1. Клинические данные больных адренокортикальным раком в зависимости от стадии заболевания согласно классификации ENSAT
Стадия заболевания согласно классификации ENSAT | Количество больных, абс. (м:ж) | Возраст, Ме (Q25–Q75), годы | Количество больных синдромом Кушинга, абс. | Размер образования, Ме (Q25–Q75), мм |
I | 8 (1:7) | 58 (45–62) | 2 | 45 (37–50) |
II | 26 (6:20) | 47 (35–63) | 10 | 73 (66–99) p = 0,007 |
III | 14 (4:10) | 49 (38–63) | 7 | 118 (82–200) р = 0,003 |
IV | 11 (2:9) | 59 (43–62) | 9 | 130 (99–170) p = 0,0001 |
р – статистическая значимость различий показателей больных адренокортикальным раком со II, III и IV стадиями в сравнении с показателями пациентов с I стадией заболевания, ж – женщины, м – мужчины
Всем больным методом ГХ-МС определяли экскрецию кортикостероидов с суточной мочой до хирургического лечения. Исследование СПМ методом ГХ-МС с оптимизацией регламента пробоподготовки с использованием жидкостной экстракции проводили на хромато-масс-спектрометре Shimadzu GCMS-ТQ8050 в научно-исследовательской лаборатории хроматографии Северо-Западного государственного медицинского университета им. И. И. Мечникова [6]. Метод позволяет определять экскрецию с мочой более 70 стероидов.
Статистическую обработку данных осуществляли с использованием программных пакетов Statistica (v.10.0) и MedCalc. Применяли методы непараметрической статистики. Для сравнения результатов использовался непараметрический критерий Манна – Уитни. Количественные характеристики обследованных представлены в виде медианы (Ме), 25-го и 75-го перцентилей (Q25–Q75). Статистически значимым считали значение р < 0,05. При трехкратном сравнении статистически значимым считали критерий р < 0,017 на основании поправки Бонферрони. Чувствительность и специфичность рассчитаны по программе Medcalс с использованием метода ROC-кривых (англ. receiver operating characteristic) и площади под ROC-кривыми (англ. area under curve, AUC). Выполняли корреляционный анализ с применением коэффициента ранговой корреляции Спирмена.
Проведение исследования было одобрено локальным этическим комитетом ФГБОУ ВО «СЗГМУ им. И. И. Мечникова» Минздрава России (протокол № 8 от 11.11.2020).
Результаты
Согласно данным клинической картины заболевания и результатам обследования с помощью классических методов иммуноанализа, СК диагностирован у 28 (47,6%) больных АКР. Уровень кортизола в сыворотке крови после пробы с 1 мг дексаметазона составил у больных СК 657 (334–1058) нмоль/л (более 135 нмоль/л). Клинические проявления СК отмечены у 2 пациентов из 8 с I стадией АКР, у 17 из 40 – со II–III стадиями и у 9 из 11 – с IV стадией. Наименьший размер опухоли получен у пациентов с I стадией АКР. Размер опухоли не отличался у больных АКР со II стадией от III стадии (p = 0,046) и у больных АКР с III стадией от IV стадии (p = 0,39) (см. табл. 1).
Методом ГХ-МС определены 4 варианта стероидного метаболома мочи у больных АКР1. Первый вариант СПМ, связанный с увеличением экскреции с мочой дегидроэпиандростерона (DHEA) > 4000 мкг/сут и THS > 1000 мкг/сут, выявлен у 30 (50,9%) пациентов с АКР, 2-й вариант – с увеличением экскреции с мочой DHEA > 4000 мкг/сут при экскреции с мочой THS менее 200 мкг/сут – у 11 (18,6%) пациентов, 3-й вариант – с повышением экскреции с мочой THS > 1000 мкг/сут при нормальной экскреции с мочой DHEA – у 9 (15,25%) пациентов (рис. 1). Четвертый вариант СПМ составили 9 (15,25%) больных АКР, у которых экскреция с мочой THS (р = 0,07) и DHEA (р = 0,08) не отличалась от показателей ГК. Повышение экскреции с мочой прегнандиола (Р2), прегнантриола (Р3) и 5-ене-прегненов получено у больных АКР с 1-м, 2-м и 3-м вариантами СПМ в сравнении с ГК (рис. 2). У пациентов с АКР с 4-м вариантом СПМ установлено увеличение экскреции с мочой Р2 и 3α,16,20-dP3 (см. рис. 2). Только у пациентов с 4-м вариантом СПМ отмечено статистически значимое повышение соотношения Р2/Р3 до 1,6 (1,0–4,6) в сравнении с ГК 0,92 (0,45–1,29), р = 0,012. Экскреция с мочой 3β,16,20-dP3, не детектируемая у здоровых доноров, определена у больных АКР при всех вариантах СПМ.
Рис. 1. Экскреция с мочой тетрагидро-11-дезоксикортизола (THS) и дегидроэпиандростерона (DHEA) у больных адренокортикальным раком (АКР) с 1, 2 и 3-м вариантами стероидных профилей мочи (СПМ) по данным газовой хромато-масс-спектрометрии; р – статистическая значимость различий в сравнении с группой контроля
Рис. 2. Экскреция с мочой прогестагенов: прегнандиола (Р2), прегнантриола (Р3), прегнендиола (dP2), 3α,17,20-прегнентриола (3α,17,20-dP3) и 3α,16,20-dP3 у больных адренокортикальным раком (АКР) с 1–4-м вариантами стероидных профилей мочи (СПМ) по данным газовой хромато-масс-спектрометрии; * p < 0,05, ** p < 0,001, † p < 0,0001 – статистическая значимость различий в сравнении с группой контроля
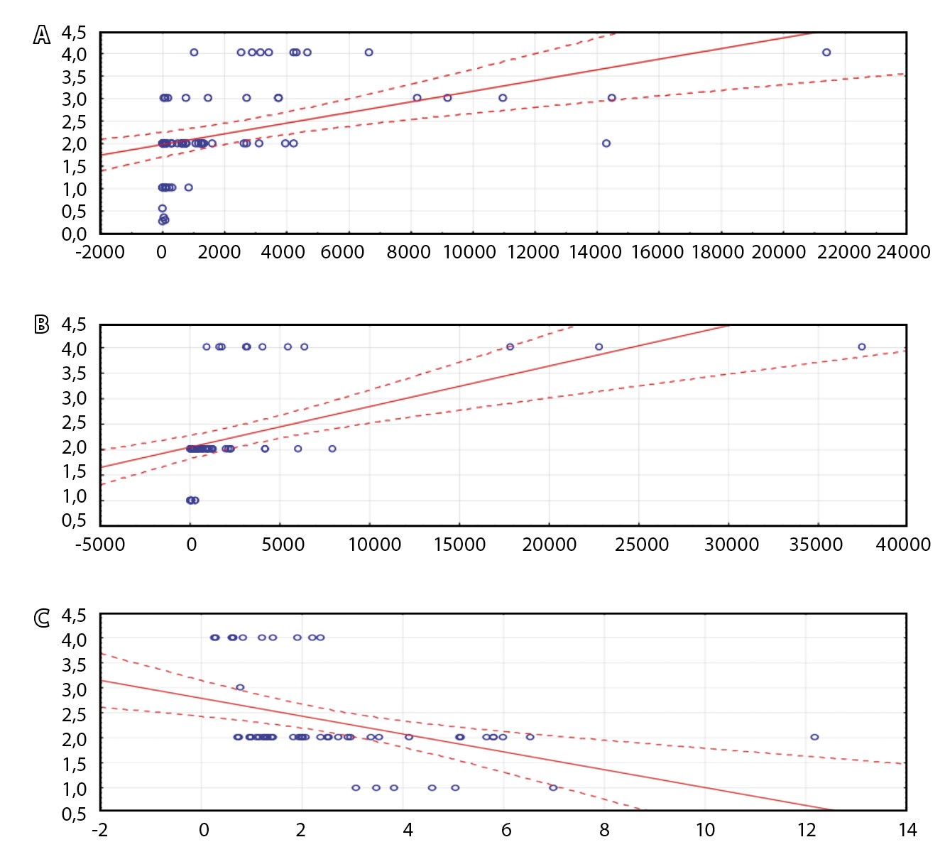
У больных АКР проводили корреляционный анализ взаимосвязи экскреции с мочой стероидов со стадией заболевания. Положительная корреляционная связь (r > 0,50, p < 0,05) получена для THS (рис. 3А), 3β,16,20-dP3 (рис. 3Б), а также для 16-оксо-андростендиола и прогестагенов: 17-ОН-прегнанолона (17-ОНР), Р3, прегнендиола (dP2), 3α,16,20-dP3, 3α,17,20-dP3, 17-гидроксипрегненолона (17-OHdP), 21-OHdP, 11-OHdP3. Отрицательная корреляционная связь (r = –0,55, p < 0,05) установлена для соотношения 3α,16,20-dP3/3β,16,20-dP3 со стадией АКР (рис. 3В).
Рис. 3. Диаграммы рассеяния: А – положительная корреляция тетрагидро-11-дезоксикортизола; Б – положительная корреляция 16-ОН-прегнендиол-3β; В – отрицательная корреляция соотношения 16-ОН-dP2-3α/16-ОН-dP2-3β со стадиями адренокортикального рака
СПМ больных АКР в зависимости от стадии заболевания отображены в табл. 2. Мы объединили показатели больных АКР со II и III стадиями заболевания, так как по данным ГХ-МС экскреция с мочой стероидов у больных АКР со II стадией не отличалась от показателей больных с III стадией (р > 0,05). Кроме этого, у данных пациентов не было получено статистически значимых различий в размере опухоли (р = 0,046) (см. табл. 1).
Таблица 2. Экскреция с мочой основных биомаркеров адренокортикального рака до хирургического лечения в зависимости от стадии заболевания по данным газовой хромато-масс-спектрометрии, Ме (Q25–Q75), мкг/сут
Стероид | Группа контроля (n = 28) | Пациенты с адренокортикальным раком | ||
I стадия (n = 8) | II + III стадии (n = 40) | IV стадия (n = 11) | ||
Этиохоланолон | 677 (464–1261) | 480 (284–1054) p = 0,43 | 3860* (1633–6445) p < 0,0001 | 6055** (2056–10595) p < 0,0001 |
Андростендиол-17β | 99 (72–117) | 64 (55–80) p = 0,27 | 1125** (553–2292) p < 0,0001 | 1923** (723–3310) р = 0,0002 |
DHEA | 230 (122–330) | 129 (60–189) p = 0,23 | 5317** (1343–1300) p < 0,0001 | 9231** (5371–16299) р = 0,0003 |
16α-ОН-DHEA | 185 (93–258) | 168 (141–1050) p = 0,36 | 1487** (658–3356) p < 0,0001 | 6500** (4704–18579) р = 0,0002 |
16-оксо-андростендиол | 25 (15–45) | 65 (45–100) р = 0,012 | 450** (183–1055) p < 0,0001 | 1617** (558–2458) p < 0,0001 |
Андростентриол | 189 (154–489) | 165 (88–1318) | 1612** (770–3270) p < 0,0001 | 7206** (4123–13047) р = 0,0002 |
17-ОН-прегнанолон | 101 (54–232) | 128 (78–300) | 1050** (355–1676) p < 0,0001 | 2140** (1273–5172) p < 0,0001 |
Прегнандиол | 412 (251–644) | 1954 (555–3320) p = 0,008 | 3356 (1781–6225) p < 0,0001 | 9431** (6320–15311) p < 0,0001 |
Прегнантриол | 416 (370–584) | 943 (341–1158) p = 0,49 | 2414** (1259–4967) p < 0,0001 | 7675* (5079–23959) p < 0,0001 |
11-оксо-прегнантриол | 16 (11–21) | 39 (15–121) p = 0,12 | 127 (60–598) p < 0,0001 | 485 (59–788) p = 0,0008 |
Прегнендиол | 336 (200–564) | 315 (161–776) p = 0,81 | 3084 (1562–5900) p < 0,0001 | 6378* (4345–8392) p < 0,0001 |
3α,16,20-прегнентриол | 150 (99–183) | 340 (223–1247) p = 0,013 | 1069 (518–2778) p < 0,0001 | 6755** (2309–11255) p < 0,0001 |
3α,17,20-прегнентриол | 228 (111–317) | 382 (189–523) p = 0,20 | 3081** (1788–6444) p < 0,0001 | 14657* (3647–22000) p < 0,0001 |
Тетрагидро-11-дезоксикортизол | 68 (25–99) | 126 (56–268) p = 0,29 | 1081** (397–2737) p < 0,0001 | 3844** (2920–4677) p < 0,0001 |
Тетрагидро-11-дезоксикортикостерон | 12 (11–15) | 14 (10–19) p = 0,14 | 203 (153–540) p < 0,0001 | 613 (271–1140) p = 0,001 |
DHEA – дегидроэпиандростерон, р – статистическая значимость различий показателей больных АКР в сравнении с показателями группы контроля
* p < 0,001, ** р < 0,017 – статистическая значимость различий показателей больных АКР со II + III и IV стадиями и показателей больных АКР с I стадией заболевания
У больных АКР с I стадией заболевания получено увеличение экскреции с мочой 16-oxo-dA2 (метаболита DHEA), Р2, 3α,16,20-dP3 в сравнении с ГК (см. табл. 2). Только у больных АКР с I стадией было повышено соотношение Р2/Р3 до 1,68 (1,30-3,25) в сравнении с ГК 0,92 (0,45-1,29), р = 0,006.
У больных АКР с IV стадией и в объединенной группе со II + III стадиями заболевания установлено увеличение экскреции с мочой андрогенов – этиохоланолона, DHEA и его метаболитов: 16-ОН-DHEA, dA2-17β, 16-oxo-dA2 и андростентриола (dA3), прогестагенов (Р3, 17-ОНР, 3α,17,20-dP3) и ТНS в сравнении с ГК и показателями пациентов с I стадией, в то время как экскреция с мочой тетрагидро-11-дезоксикортикостерона и 11-охо-Р3 (биомаркера недостаточности 21-гидроксилазы) была повышена только в сравнении с ГК (см. табл. 2). Кроме этого, у больных АКР с IV стадией и со II + III стадиями экскреция с мочой Р2, dP2 и 3α,16,20-dP3 была увеличена в сравнении с ГК (у пациентов с IV стадией – еще и в сравнении с показателями больных с I стадией заболевания, см. табл. 2). У больных АКР с IV стадией в сравнении с показателями больных АКР в объединенной группе со II и III стадиями получено увеличение экскреции с мочой метаболитов DHEA: 16-ОН-DHEA (р = 0,0007) и dA3 (p = 0,009), прогестагенов: Р2 (р = 0,012), Р3 (р = 0,004), dP2 (р = 0,016), 3α,16,20-dP3 (р = 0,002) и 3α,17,20-dP3 (р = 0,002), ТНS (р = 0,014). У больных АКР с IV стадией установлено увеличение экскреции с мочой 3β,16,20-dP3 и уменьшение соотношения 3α,16,20-dP3/3β,16,20-dP3 в сравнении с показателями пациентов АКР с I стадией и объединенной группой со II и III стадиями (рис. 4).
Рис. 4. Экскреция с мочой 3β,16,20-прегнентриола (3β,16,20-dP3) (А) и соотношения 3α,16,20-dP3/3β,16,20-dP3 (Б) у больных адренокортикальным раком (АКР) с I–IV стадиями заболевания; р – статистическая значимость различий показателей больных АКР со II + III и IV стадиями по сравнению с показателями больных АКР с I стадией; p1 – статистическая значимость различий показателей больных АКР с IV стадией по сравнению с показателями больных АКР со II + III cтадиями
Первый вариант СПМ установлен у 10 (90,9%) больных АКР с IV стадией и у 20 (50%) пациентов АКР в объединенной группе со II и III стадиями, 2-й вариант – у 11 (27,5%) больных со II и III стадиями, 3-й вариант – у 8 (20%) больных со II и III стадиями и у 1 пациента с IV стадией, 4-й вариант СПМ – у 8 больных АКР с I стадией заболевания и у 1 пациента со II стадией.
Определены 100% чувствительность и специфичность пороговых значений экскреции с мочой ТНS > 867 мкг/сут, 3β,16,20-dP3 > 300 мкг/сут и соотношения 3α,16,20-dP3/3β,16,20-dP3 < 1,6 для диагностики АКР с IV стадией и признаков метастазов (AUC = 0,99, p < 0,0001) (рис. 5).
Рис. 5. Чувствительность и специфичность экскреции с мочой тетрагидро-11-дезоксикортизола (ТНS) (А), 3β,16,20-прегнентриола (3β,16,20-dP3) (Б) и соотношения 3α,16,20-dP3/3β,16,20-dP3 (В) для диагностики АКР с IV стадией и ранних признаков метастазирования
Признаки снижения активности 11β-гидроксистероиддегидрогеназы 2-типа (HSD11B2) выявлены у больных АКР с I-IV стадиями. У больных АКР с I стадией получено 2 признака, со II–IV стадиями – 3 признака снижения активности HSD11B2. У пациентов с АКР со II-IV стадиями заболевания дополнительно получены признаки снижения активности 21-гидроксилазы и 11β-гидроксилазы (табл. 3).
Таблица 3. Особенности метаболомики стероидов у пациентов c I–IV стадиями адренокортикального рака по данным газовой хромато-масс-спектрометрии, Me (Q25–Q75)
Показатель | Группа контроля (n = 28) | Пациенты с адренокортикальным раком | ||
I стадия (n = 8) | II + III стадии (n = 40) | IV стадия (n = 11) | ||
Признаки активности 11β-гидроксистероиддегидрогеназы 2-го типа | ||||
THF/THE | 0,71 (0,59–0,81) | 0,99 (0,70–1,18) p = 0,06 | 1,11 (0,67–1,49) р = 0,005 | 0,83 (0,74–1,08) p = 0,045 |
(5β-THF+5α-THF)/THE | 0,34 (0,29–0,41) | 0,57 (0,42–0,78) p = 0,001 | 0,77 (0,43–1,07) p < 0,0001 | 0,56 (0,41–0,68) p = 0,007 |
ТНВ/ТНA | 1,6 (0,7–1,8) | 8,4 (3,9–23,9) р = 0,003 | 4,7 (2,2–8,9) р = 0,0005 | 3,1 (2,0–12,9) р = 0,018 |
Признак активности 11β-гидроксилазы | ||||
(5β-THF+5α-THF+ТНЕ) / тетрагидро-11-дезоксикортизол | 96,3 (61,9–147,2) | 25,2 (17,1–93,4) p = 0,15 | 5,8 (2,4–18,1) p < 0,0001 | 1,9 (1,2–5,9) p < 0,0001 |
Признаки активности 21-гидроксилазы | ||||
(5β-THF+5α-THF+THE) / 11-охо-прегнантриол | 157,9 (91,4–218,2) | 78,1 (42,4–137,9) р = 0,088 | 31,0 (19,5–115,4) p = 0,046 | 35,1 (20,6–180,7) p = 0,005 |
(5β-THF+5α-ТHF+THE) / прегнантриол | 5,1 (3,7–6,6) | 5,9 (3,9–8,6) р = 0,51 | 2,5 (1,1–4,1) p = 0,0002 | 1,0 (0,2–3,6) p = 0,0003 |
(5β-THF+5α-THF+THE) / 17-ОН-прегнанолон | 20,1 (14,2–54,9) | 26,6 (16,5–51,3) р = 0,97 | 7,2 (3,7–15,4) p = 0,007 | 3,3 (1,7–16,5) p = 0,001 |
р – статистическая значимость различий показателей больных АКР в сравнении с показателями группы контроля, THA – тетрагидро-11-дегидрокортикостерон, THB – тетрагидрокортикостерон, THE – тетрагидрокортизон, THF – тетрагидрокортизол
В раннем послеоперационном периоде (РПП) у 11 больных АКР с СК определяли уровень кортизола в сыворотке крови в утренние часы для диагностики недостаточности глюкокортикоидов. У 10 больных АКР с СК (4 пациента с III и IV стадиями, 6 пациентов со II стадией АКР) получено снижение уровня кортизола в сыворотке крови до 57 (25–75) нмоль/л в сравнении с ГК – 387 (321–405) нмоль/л, р = 0,0001. У данных пациентов с 1-м и 3-м вариантами СПМ получено увеличение основного биомаркера АКР – ТНS – до 4693 (2595–8704) мкг/сут в сравнении с ГК (р = 0,0001). В РПП отсутствовала недостаточность глюкокортикоидов у одного больного, прооперированного по поводу АКР с СК. У данного пациента со II стадией АКР уровень кортизола в сыворотке крови в утренние часы после операции был 451 нмоль/л, в связи с чем назначения глюкокортикостероидов не требовалось. У этого пациента получен 4-й вариант СПМ с нормальной экскрецией с мочой андрогенов и ТНS.
Обсуждение
В настоящем исследовании методом ГХ-МС изучен стероидный метаболом мочи больных АКР до хирургического лечения. Получены 4 варианта СПМ и определена их распространенность у больных в зависимости от стадии АКР по классификации ENSAT. Величины экскреции с мочой THS (метаболита глюкокортикоида 11-дезоксикортизола) и андрогена DHEA легли в основу предложенной классификации.
Повышение экскреции с мочой THS у больных АКР впервые показали J. P. Rosselet и соавт. в 1954 г. [15]. Высокий уровень THS свидетельствует об относительной недостаточности и/или нарушении функционирования фермента 11β-гидроксилазы 2-го типа. Причиной недостаточности фермента может быть дедифференцировка клеток опухоли или нарушение доставки субстратов стероидогенеза к внутренней митохондриальной мембране. Мутационные изменения в клетках адренокарциномы или подавление секреции адренокортикотропного гормона предшественниками глюкокортикоидов по принципу отрицательной обратной связи рассматриваются как возможные причины дисфункции фермента [13, 16].
В 1990 г. S. Gröndal и соавт. предложили разделить больных АКР на 3 группы в зависимости от особенностей СПМ. Группы составили пациенты с повышенной экскрецией THS, повышенной экскрецией 3β-гидрокси-5-ен-стероидов (к ним были отнесены 16-OH-DHEA, dA2, dA3, dP2, dP3) и повышенной экскрецией THS и 3β-гидрокси-5-ен-стероидов. Однако изучение взаимосвязи экскреции кортикостероидов с клиническими характеристиками больных проведено не было [17]. T. M. Kerkhofs и соавт. впервые высказали предположение о том, что увеличение экскреции с мочой THS может быть ассоциировано с возрастающей агрессивностью адренокарцином. Исследователями определены медианы значений экскреции THS в зависимости от стадии АКР по классификации ENSAT: 8,7 (2,4–45,2), 10,0 (3,3–39,2) и 30,4 (6,2–250,0) мкмоль/сут для больных со II, III и IV стадиями заболевания соответственно [13]. Мы впервые выявили особенности стероидного метаболома мочи больных с I–IV стадиями АКР и получили пороговые значения величины экскреции с мочой THS, 3β,16,20-dP3 и соотношения 3α,16,20-dP3/3β,16,20-dP3, изменения которых со 100% чувствительностью и специфичностью свидетельствуют о IV стадии АКР и наличии у больного метастазов опухоли до хирургического лечения.
Интересны полученные в ходе нашего исследования данные о признаках снижения активности фермента HSD11B2. Исследования с применением молекулярных методов продемонстрировали низкую инфильтрацию иммунными клетками ткани опухоли больных АКР с СК [18, 19]. Известно, что кортизол, являясь иммуносупрессором, приводит к глюкокортикоид-индуцированному апоптозу лимфоцитов и нарушению миграции миелоидных клеток [20, 21]. Эти наблюдения позволяют предположить, что секреция глюкокортикоидов клетками адренокарциномы может служить защитой опухоли от иммунной системы [19]. Признаки снижения активности HSD11B2, инактивирующей кортизол, рассматриваются как дополнительный механизм ухода адренокарцином из-под иммунного надзора. Обращает на себя внимание преобладание в нашей работе больных с СК в группе с IV стадией АКР, что может быть отражением более агрессивного течения заболевания у больных с гиперкортизолизмом.
Развитие недостаточности глюкокортикоидов в РПП выявлено нами у пациентов как со II, так и с III и IV стадиями рака. В дооперационном периоде у данных больных получены 1-й и 3-й варианты СПМ. Объединяющим критерием этих двух вариантов выступает экскреция ТНS более 1000 мкг/сут. В группе пациентов, прооперированных по поводу АКР с СК, с недостаточностью глюкокортикоидов в РПП экскреция ТНS с суточной мочой была высокой. У пациента, прооперированного по поводу АКР с СК, без недостаточности глюкокортикоидов в РПП выявлен 4-й вариант СПМ с нормальной экскрецией DHEA и THS с мочой в дооперационном периоде. Прогностическим предиктором развития недостаточности глюкокортикоидов в РПП у пациентов, прооперированных по поводу АКР с СК, служит повышенная экскреция с мочой THS в дооперационном периоде. Влияние повышенной экскреции DHEA и других биомаркеров АКР с мочой на развитие недостаточности глюкокортикоидов в послеоперационном периоде – предмет дальнейшего исследования.
Заключение
Согласно результатам проведенного исследования, нами установлены положительные корреляционные связи экскреции с мочой 16-oxo-андростендиола, THS и прогестагенов, отрицательная корреляционная связь соотношения 3α,16,20-dP3/3β,16,20-dP3 со стадиями АКР. Методом ГХ-МС получены 4 варианта метаболома стероидов у больных с I–IV стадиями АКР. Для больных с I стадией заболевания, с размером опухоли менее 50 мм, характерно отсутствие различий экскреции с мочой DHEA и THS, повышение экскреции с мочой Р2 и соотношения P2/P3 в сравнении с показателями здоровых доноров. У 48% больных со II и III стадиями АКР установлены 2-й и 3-й варианты СПМ, связанные с увеличением экскреции с мочой DHEA или THS. Первый вариант стероидного метаболома мочи, связанный с повышением экскреции с мочой DHEA и THS, установлен у 90,1% больных АКР с IV стадией и у 50% больных АКР в объединенной группе со II и III стадиями. Определены 100% чувствительность и специфичность пороговых значений экскреции с мочой ТНS > 867 мкг/сут, 3β,16,20-dP3 > 300 мкг/сут и соотношения 3α,16,20-dP3/3β,16,20-dP3 < 1,6 для диагностики IV стадии АКР и ранних признаков метастазов у данных больных.
У пациентов с АКР со II–IV стадиями получены признаки уменьшения активности 21-гидроксилазы и 11β-гидроксилазы, а также больше признаков снижения активности HSD11B2, чем у больных АКР с I стадией. Развитие недостаточности глюкокортикоидов в раннем послеоперационном периоде у больных АКР с СК можно прогнозировать при превышении уровня ТНS в суточной моче более 2000 мкг/сут до хирургического лечения.
Таким образом, методом ГХ-МС получены различные нарушения адреналового стероидогенеза, характерные для больных АКР на ранних стадиях заболевания и для пациентов с АКР с IV стадией, что представляется важным для подтверждения стадии заболевания до хирургического лечения и открывает новые возможности в ранней диагностике развития метастазов, необходимой для определения тактики лечения.
Дополнительная информация
Финансирование
Работа проведена без привлечения дополнительного финансирования со стороны третьих лиц.
Конфликт интересов
Авторы декларируют отсутствие явных и потенциальных конфликтов интересов, связанных с публикацией настоящей статьи.
Участие авторов
Л. И. Великанова – концепция и дизайн исследования, сбор материала, анализ полученных данных, статистическая обработка данных, написание текста; Н. В. Ворохобина – концепция и дизайн исследования, анализ полученных данных, написание текста; З. Р. Шафигуллина, М. О. Буйнова, А. А. Лисицын – сбор материала, ведение больных, написание текста; В. В. Калугина – сбор материала, статистическая обработка данных, написание текста; Е. В. Малеваная, Е. Г. Стрельникова – пробоподготовка биологических образцов и исследование стероидных профилей методом газовой хромато-масс-спектрометрии, написание текста, редактирование текста; Н. Е. Кушлинский – сбор материала, редактирование текста. Все авторы прочли и одобрили финальную версию статьи перед публикацией, согласны нести ответственность за все аспекты работы и гарантируют, что ими надлежащим образом были рассмотрены и решены вопросы, связанные с точностью и добросовестностью всех частей работы.
1 Предварительные результаты данной работы (представлены 3 варианта СПМ у 38 больных АКР) были доложены на Всероссийской научно-практической конференции с международным участием «Современные достижения химико-биологических наук в профилактической и клинической медицине» (Санкт-Петербург, 3 декабря 2020 г.) и опубликованы в сборнике научных трудов конференции: Великанова ЛИ, Шафигуллина ЗР, Ворохобина НВ, Малеваная ЕВ. Основные варианты стероидных профилей мочи при адренокортикальном раке на основе метода газовой хромато-масс-спектрометрии. В: Современные достижения химико-биологических наук в профилактической и клинической медицине: сборник научных трудов Всероссийской научно-практической конференции с международным участием. Санкт-Петербург; 2020. с. 34–40.
Sobre autores
Ludmila Velikanova
North-Western State Medical University named after I.I. Mechnikov
Autor responsável pela correspondência
Email: velikanova46@gmail.com
ORCID ID: 0000-0002-9352-4035
Doctor of Biol. Sci., Professor, Head of Scientific Laboratory of Chromatography
Rússia, ul. Kirochnaya 41, Saint Petersburg, 191015Natalia Vorokhobina
North-Western State Medical University named after I.I. Mechnikov
Email: natvorokh@mail.ru
ORCID ID: 0000-0002-9574-105X
MD, PhD, Professor, Head of Chair of Endocrinology named after V.G. Baranov
Rússia, ul. Kirochnaya 41, Saint Petersburg, 191015Zulfiya Shafigullina
North-Western State Medical University named after I.I. Mechnikov
Email: zula183@mail.ru
ORCID ID: 0000-0001-8292-8504
MD, PhD, Associate Professor, Chair of Endocrinology named after V.G. Baranov
Rússia, ul. Kirochnaya 41, Saint Petersburg, 191015Valentina Kalugina
North-Western State Medical University named after I.I. Mechnikov
Email: kaluginavav@gmail.com
ORCID ID: 0000-0002-2812-6911
Postgraduate Student, Chair of Endocrinology named after V.G. Baranov
Rússia, ul. Kirochnaya 41, Saint Petersburg, 191015Ekaterina Malevanaya
North-Western State Medical University named after I.I. Mechnikov
Email: e.malevanaia@gmail.com
ORCID ID: 0000-0003-0880-0814
PhD (in Chem.), Senior Research Fellow, Scientific Laboratory of Chromatography
Rússia, ul. Kirochnaya 41, Saint Petersburg, 191015Elena Strelnikova
North-Western State Medical University named after I.I. Mechnikov
Email: Lstrelnikova@inbox.ru
ORCID ID: 0000-0002-1208-8092
PhD (in Chem.), Senior Research Fellow, Scientific Laboratory of Chromatography
Rússia, ul. Kirochnaya 41, Saint Petersburg, 191015Maria Buinova
North-Western State Medical University named after I.I. Mechnikov
Email: maria9966@mail.ru
ORCID ID: 0009-0007-7239-2620
Postgraduate Student, Chair of Endocrinology named after V.G. Baranov
Rússia, ul. Kirochnaya 41, Saint Petersburg, 191015Aleksandr Lisitsyn
North-Western State Medical University named after I.I. Mechnikov
Email: 9213244516@mail.ru
ORCID ID: 0000-0003-2045-0044
MD, PhD, Associate Professor, Chair of Theoretical Surgery named after I.I. Grekov
Rússia, ul. Kirochnaya 41, Saint Petersburg, 191015Nikolay Kushlinskii
N.N. Blokhin National Medical Research Center of Oncology
Email: kne3108@gmail.com
ORCID ID: 0000-0002-3898-4127
MD, PhD, Professor, Member of Russian Academy of Sciences, Head of Laboratory of Clinical Biochemistry
Rússia, Kashirskoe shosse 24, Moscow, 115522Bibliografia
- Gorbunova VA, Bel'tsevich DG, Kolomeytseva AA, Bokhyan VYu, Mel'nichenko GA, Perevodchikova NI, Fedenko AA. [Practice recommendations on medical treatment for adrenocortical cancer]. Malignant Tumours. 2022;12(3s2-1):545–552. Russian. doi: 10.18027/2224-5057-2022-12-3s2-545-552.
- Fassnacht M, Johanssen S, Quinkler M, Bucsky P, Willenberg HS, Beuschlein F, Terzolo M, Mueller HH, Hahner S, Allolio B; German Adrenocortical Carcinoma Registry Group; European Network for the Study of Adrenal Tumors. Limited prognostic value of the 2004 International Union Against Cancer staging classification for adrenocortical carcinoma: proposal for a Revised TNM Classification. Cancer. 2009;115(2):243–250. doi: 10.1002/cncr.24030.
- Lloyd RV, Osamura RY, Klöppel G, Rosai J, editors. WHO classification of tumours of endocrine organs. 4th edition. Lyon, France: IARC; 2017.
- Terzolo M, Fassnacht M. Endocrine tumours: Our experience with the management of patients with non-metastatic adrenocortical carcinoma. Eur J Endocrinol. 2022;187(3):R27–R40. doi: 10.1530/EJE-22-0260.
- Taylor NF. Urinary steroid profiling. Methods Mol Biol. 2013;1065:259–276. doi: 10.1007/978-1-62703-616-0_17.
- Velikanova LI, Strelnikova EG, Obedkova EV, Krivokhizhina NS, Shafigullina ZR, Grigoryan K, Povarov VG, Moskvin AL. Generation of urinary steroid profiles in patients with adrenal incidentaloma using gas chromatography-mass spectrometry. J Anal Chem. 2016;71(7):748–754. doi: 10.1134/S1061934816070169.
- Krone N, Hughes BA, Lavery GG, Stewart PM, Arlt W, Shackleton CH. Gas chromatography/mass spectrometry (GC/MS) remains a pre-eminent discovery tool in clinical steroid investigations even in the era of fast liquid chromatography tandem mass spectrometry (LC/MS/MS). J Steroid Biochem Mol Biol. 2010;121(3–5):496–504. doi: 10.1016/j.jsbmb.2010.04.010.
- Berke K, Constantinescu G, Masjkur J, Kimpel O, Dischinger U, Peitzsch M, Kwapiszewska A, Dobrowolski P, Nölting S, Reincke M, Beuschlein F, Bornstein SR, Prejbisz A, Lenders JWM, Fassnacht M, Eisenhofer G. Plasma Steroid Profiling in Patients With Adrenal Incidentaloma. J Clin Endocrinol Metab. 2022;107(3):e1181–e1192. doi: 10.1210/clinem/dgab751.
- Arlt W, Biehl M, Taylor AE, Hahner S, Libé R, Hughes BA, Schneider P, Smith DJ, Stiekema H, Krone N, Porfiri E, Opocher G, Bertherat J, Mantero F, Allolio B, Terzolo M, Nightingale P, Shackleton CH, Bertagna X, Fassnacht M, Stewart PM. Urine steroid metabolomics as a biomarker tool for detecting malignancy in adrenal tumors. J Clin Endocrinol Metab. 2011;96(12):3775–3784. doi: 10.1210/jc.2011-1565.
- Velikanova LI, Shafigullina ZR, Lisitsin AA, Vorokhobina NV, Grigoryan K, Kukhianidze EA, Strelnikova EG, Krivokhizhina NS, Krasnov LM, Fedorov EA, Sablin IV, Moskvin AL, Bessonova EA. Different Types of Urinary Steroid Profiling Obtained by High-Performance Liquid Chromatography and Gas Chromatography-Mass Spectrometry in Patients with Adrenocortical Carcinoma. Horm Cancer. 2016;7(56):327–335. doi: 10.1007/s12672-016-0267-0.
- Shafigullina ZR, Velikanova LI, Vorokhobina NV, Shustov SB, Lisitsin AA, Malevanaya EV, Buinova MO, Bessonova EA, Kirsanov DO. Urinary steroid profiling by gas chromatography mass spectrometry: Early features of malignancy in patients with adrenal incidentalomas. Steroids. 2018;135:31–35. doi: 10.1016/j.steroids.2018.04.006.
- Hines JM, Bancos I, Bancos C, Singh RD, Avula AV, Young WF, Grebe SK, Singh RJ. High-Resolution, Accurate-Mass (HRAM) Mass Spectrometry Urine Steroid Profiling in the Diagnosis of Adrenal Disorders. Clin Chem. 2017;63(12):1824–1835. doi: 10.1373/clinchem.2017.271106.
- Kerkhofs TM, Kerstens MN, Kema IP, Willems TP, Haak HR. Diagnostic Value of Urinary Steroid Profiling in the Evaluation of Adrenal Tumors. Horm Cancer. 2015;6(4):168–175. doi: 10.1007/s12672-015-0224-3.
- Velikanova LI, Vorokhobina NV, Shafigullina ZR, Bokhian VY, Stilidi IS, Kalugina VV, Malevanaya EV, Strelnikova EG, Kushlinskii NE. [Study of urine steroid profiles by gas chromatography-mass spectrometry in patients with adrenocortical cancer in the course of treatment]. Almanac of Clinical Medicine. 2021;49(4):277–284. Russian. doi: 10.18786/2072-0505-2021-49-041.
- Rosselet JP, Overland L, Jailer JW, Lieberman S. Die Isolierung von 3α,17α,21-Trioxy-pregnanon-(20) (THS) aus menschlichem Harn. Helvetica Chimica Acta. 1954;7(37):1933–1941. German.
- Araujo-Castro M, Valderrábano P, Escobar-Morreale HF, Hanzu FA, Casals G. Urine steroid profile as a new promising tool for the evaluation of adrenal tumors. Literature review. Endocrine. 2021;72(1):40–48. doi: 10.1007/s12020-020-02544-6.
- Gröndal S, Eriksson B, Hagenäs L, Werner S, Curstedt T. Steroid profile in urine: a useful tool in the diagnosis and follow up of adrenocortical carcinoma. Acta Endocrinol (Copenh). 1990;122(5):656–663. doi: 10.1530/acta.0.1220656.
- Assié G, Jouinot A, Fassnacht M, Libé R, Garinet S, Jacob L, Hamzaoui N, Neou M, Sakat J, de La Villéon B, Perlemoine K, Ragazzon B, Sibony M, Tissier F, Gaujoux S, Dousset B, Sbiera S, Ronchi CL, Kroiss M, Korpershoek E, De Krijger R, Waldmann J, Quinkler M, Haissaguerre M, Tabarin A, Chabre O, Luconi M, Mannelli M, Groussin L, Bertagna X, Baudin E, Amar L, Coste J, Beuschlein F, Bertherat J. Value of Molecular Classification for Prognostic Assessment of Adrenocortical Carcinoma. JAMA Oncol. 2019;5(10):1440–1447. doi: 10.1001/jamaoncol.2019.1558.
- Lerario AM, Mohan DR, Hammer GD. Update on Biology and Genomics of Adrenocortical Carcinomas: Rationale for Emerging Therapies. Endocr Rev. 2022;43(6):1051–1073. doi: 10.1210/endrev/bnac012.
- Ince LM, Weber J, Scheiermann C. Control of Leukocyte Trafficking by Stress-Associated Hormones. Front Immunol. 2019;9:3143. doi: 10.3389/fimmu.2018.03143.
- Savino W, Mendes-da-Cruz DA, Lepletier A, Dardenne M. Hormonal control of T-cell development in health and disease. Nat Rev Endocrinol. 2016;12(2):77–89. doi: 10.1038/nrendo.2015.168.
Arquivos suplementares







