Возможность идентификации 1Н-индолиламиния трифторацетатов с противомикробным действием методом масс-спектрометрии
- Авторы: Степаненко И.С.1, Ямашкин С.А.2, Михайлова Л.В.1, Тимофеева А.С.1, Ахмедов А.Н.1, Платкова Т.Н.3
-
Учреждения:
- Волгоградский государственный медицинский университет
- Мордовский государственный педагогический университет имени М. Е. Евсевьева
- Мордовский государственный университет имени Н. П. Огарева
- Выпуск: Том 21, № 3 (2024)
- Страницы: 161-167
- Раздел: Оригинальные исследования
- URL: https://bakhtiniada.ru/1994-9480/article/view/316534
- DOI: https://doi.org/10.19163/1994-9480-2024-21-3-161-167
- ID: 316534
Цитировать
Полный текст
Аннотация
В настоящем исследовании предложен удобный подход к идентификации серии новых замещенных 1Н-индол-5-,6-иламиния трифторацетатов с противомикробным действием на основании данных масс-спектров, полученных с использованием прямого ввода в ионный источник при повышенной температуре, когда соли разлагаются с выбросом противоионов: кислоты и органических оснований – замещенных 1Н-индолиламинов. По наличию в спектрах сигналов ионов с m/z 69, 45, 28 судят о том, что соли образованы трифторуксусной кислотой. Используя имеющиеся литературные данные по масс-спектрометрии замещенных индолов, ароматических аминов, карбоновых кислот составлены и обсуждены обоснованные схемы распада молекулярных ионов органических оснований – 1Н-индолиламинов, в которых даны механизм образования, строение фрагментных ионов, возникающих в условиях электронной ионизации. Выявленные общие, а также индивидуальные для отдельных представителей с определенным характером и местом замещения в индольном бицикле закономерности поведения в условиях масс-спектральной съемки ионрадикалов 1Н-индолиламинов дают возможность судить об их строении и в целом о строении 1Н-индолиламиния трифторацетатов. Примененный в работе подход можно также использовать для доказательства соединений подобной группы на основании анализа их масс-спектров.
Полный текст
Осуществляя целенаправленный поиск новых биологически активных соединений, авторы работы [1, 2] на основе 1Н-индол-5,6-иламинов 1–9 получили растворимые в воде трифторметилсодержащие производные индола – 1Н-индол-5,6-иламиния трифторацетаты 10-18 с ярко выраженной противомикробной активностью (рис. 1).
Рис. 1. Схема получения индолиламиния трифторацетатов 10–18 из индолиламинов 1–9
Все полученные соединения, обладая противомикробным действием, превышающий активность препарата сравнения – диоксидина, способны подавлять рост исследуемых тест-штаммов микроорганизмов в различных минимальных подавляющих концентрациях. В качестве доказательства строения полученных солей 10–18, помимо проанализированных спектров ЯМР (1Н, 19F), УФ-спектров, результатов элементного анализа, были приведены не интерпретированные цифровые версии спектральных характеристик поведения их в условиях электронной ионизации. Однако даже первичная расшифровка масс-спектров позволяет сделать следующие предварительные выводы о соединении: установить истинную молекулярную массу анализируемого соединения, предположить число атомов азота в молекуле («азотное правило»), установить приблизительное число атомов углерода в составе изучаемой молекулы. На основании полученных результатов делается предварительная оценка качественного и количественного брутто-состава исследуемого соединения. В условиях электронной ионизации молекулы приобретают избыточную энергию, которая вызывает деструкцию образующегося молекулярного иона [M]+.с образованием осколочных (фрагментных) и перегруппировочных ионов, характеризующих структуру изучаемого соединения [3].
ЦЕЛЬ РАБОТЫ
Интерпретация цифровых версий масс-спектров соединений 10–18 с предложением схем распада, в которых обоснованно предлагается механизм образования и строение фрагментных ионов, возникающих в условиях высокотемпературной электронной ионизации. При этом проводится выявление общих, а также индивидуальных для отдельных представителей в зависимости от места и характера замещения в индольной структуре закономерностей поведения в условиях электронной ионизации 1Н-индолиламиния трифторацетатов, подтверждающих их строение. Составление масс-спектральных схем распада 1Н-индолиламиния трифторацетатов осуществляется аргументированно на основании имеющихся литературных данных по масс-спектральному распаду замещенных индолов, ароматических аминов, карбоновых кислот.
МЕТОДИКА ИССЛЕДОВАНИЯ
Масс-спектры 1Н-индолиламиния трифторацетатов 10–18 зарегистрированы на масс-спектрометре «Finnigan MAT INCOS-50» методом прямого ввода соединений в ионный источник при энергии ионизации 70 эВ и повышенной температуре, при которой соли разлагаются с выбросом противоионов: солеобразующей кислоты и органического основания, как это описано при исследовании бипиридиниевых солей в работе [4]. В этих условиях в масс-спектрах фиксируются сигналы молекулярных ионов кислоты, соответствующего основания и их фрагментные ионы.
РЕЗУЛЬТАТЫ ИССЛЕДОВАНИЯ И ИХ ОБСУЖДЕНИЕ
Масс-спектры высокотемпературной электронной ионизации для всех исследованных трифторацетатов 10–18 характеризуются пиками максимальной интенсивности ионов Ф(1–9), m/z которых соответствуют молекулярным ионам 1Н-индолиламинов 1–9, что свидетельствует об их участии в образовании солей (рис. 2).
Рис. 2. Схема первичного распада индолиламиния трифторацетатов 10–18 в условиях высокотемпературной электронной ионизации
Участие же в построении соединений 10–18 трифторуксусной кислоты подтверждается наличием в масс-спектрах характерных для ее распада сигналов фрагментных частиц с m/z 69(F3С+), 45(HООС+), 28(CO+) –молекулярный ион трифторуксусной кислоты в условиях высокотемпературной электронной ионизации не стабилен и его сигнал в масс-спектрах не обнаруживается. Сигналы частиц с m/z 45 и 28 в масс-спектрах тригалогеноуксусных кислот (например, трихлоруксусной кислоты) являются характеристическими [5].
Полученные данные по характеристическим сигналам ионов в масс-спектрах 1Н-индол-5-,6-иламиния трифторацетатов 10–18 приведены в табл.
Значения характеристических ионов в масс-спектрах соединений 10–18
1Н-индол-5-,6-иламиния трифторацетаты | ||||||
Масс-спектр: m/z (относительная интенсивность, %) | ||||||
№ соединения | **M+. (Ф) | *[М-1]+ (Ф1,Ф5) | *[М-15]+ (Ф2,Ф5,Ф8) | m/z 69*** | m/z 45*** | m/z 28*** |
10 | 160 (100) | 159 (77) | 145 (35) | (23) | (30) | (33) |
11 | 174 (100) | 173 (82) | 159 (48) | (30) | (35) | (35) |
12 | 146 (100) | 145 (87) | – | (16) | (20) | (19) |
13 | 208 (100) | 207 (15) | – | (16) | (19) | (27) |
14 | 222 (90) | 221 (38) | 207 (9) | (22) | (24) | (9) |
15 | 174 (100) | 173 (88) | 159 (30) | (54) | (74) | (55) |
16 | 188 (100) | 187 (71) | 173 (39) | (44) | (79) | (61) |
17 | 190 (100) | – | 175 (96) | (21) | (24) | (11) |
18 | 204 (100) | 203 (7) | 189 (74) | (12) | (12) | (8) |
1Н-индол-5-,6-иламиния трифторацетаты | ||||||
Масс-спектр: m/z (относительная интенсивность, %) | ||||||
№ соединения | *[М-28]+ (Ф3) | *[М-1-27]+ (Ф6) | *[М-15-27]+ (Ф6) | *[М-15-28]+ (Ф9) | *[М-42]+ (Ф4) | *[М-104]+ (Ф7) |
10 | 132 (8) | – | – | – | – | – |
11 | 146 (8) | – | – | – | – | – |
12 | 118 (10) | – | – | – | 104 (5) | – |
13 | 180 (116) | – | – | – | 104 (25) | |
14 | 194 (5) | – | 180 (9) | – | – | – |
15 | – | – | – | – | – | – |
16 | – | – | – | – | – | – |
17 | – | – | – | 147 (70) | – | – |
18 | – | – | – | 161 (47) | – | – |
* Фрагментные ионы диссоциативной электронной ионизации 1Н-индол-5-,6-иламинов 1–9.
** Молекулярные ионы 1Н-индол-5-,6-иламинов 1–9.
*** Фрагментные ионы диссоциативной электронной ионизации CF3COOH.
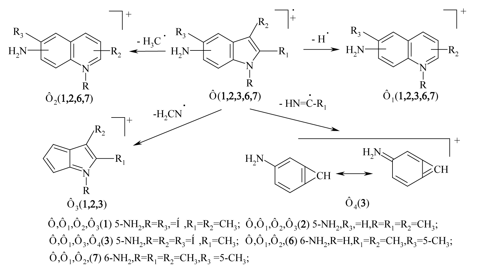
Основными сигналами с высокой интенсивностью после пиков молекулярных ионов Ф (1–9) в масс-спектрах соединений 10, 11, 12, 16, 17 являются сигналы фрагментных ионов Ф1 с m/z [M-1]+ и Ф2 с m/z [M-15]+, что свидетельствует о параллельном элиминировании от молекулярных ионов атома водорода и метильного радикала (рис. 3).
Такие превращения в условиях электронной ионизации характерны для метилзамещенных в пиррольном кольце индолов [6]. При этом происходит расширение пятичленного цикла в молекуле индола до шестичленного кольца с образованием ионов хинолиния. Следовательно, соединения 10, 11, 16, 17, в масс-спектрах которых имеются интенсивные сигналы ионов Ф с m/z 160(1), 174(2), 174(6), 188(7), Ф1 с m/z 159(1), 173(2), 173(6), 187(7), Ф2 с m/z 145(1), 159(2), 159(6), 173(7), однозначно являются трифторацетатами производных 2,3-диметил-, 1,2,3-триметил-1Н-индол-5- и 2,3,5-триметил-, 1,2,3,5-тетраметил-1Н-индолов.
Рис. 3. Схема распада ионов Ф(1–3, 6, 7) в условиях электронной ионизации
Масс-спектр соединения 12 характеризуется наличием сигналов ионов Ф с m/z 146(3), Ф1 с m/z 145(3), Ф5 с m/z 104(3) и отсутствием сигнала иона Ф2 в отличие от спектров соединений 10, 11, 16, 17. Это свидетельствует о том, что соль 12 образована производным монометилзамещенного в пиррольном кольце индола (2- или 3-метил-1Н-индола). Сигнал фрагментного иона Ф5(3) в спектре соли 12 дает возможность определения места расположения метильной группы в пиррольном кольце. Образование этого иона возможно только при деструкции пиррольного фрагмента молекулярного иона Ф(3) производного 2-метилиндола путем элиминирования иминоэтанильного радикала [HN = C-CH3]..
В масс-спектрах солей 10, 11, 12 также проявляются сигналы фрагментных ионов Ф3 (предположительно структуры циклопента[b]пиррилия) с m/z 132(1), 146(2), 118(3), которые соответствуют элиминированию от молекулярных ионов Ф(1, 2, 3) частицы СН2N.с массовым числом 28, что свидетельствует об 1Н-индолиламинной структуре оснований. Подобная деструкция характерна для аминобензольного кольца ароматических аминов [7; 8]. Следовательно, ионы Ф(1, 2, 3) являются молекулярными ионами 2,3-диметил-, 1,2,3-триметил-, 2-метил-1Н-индол-5-иламинов, а соединения 10, 11, 12 их трифторацетатами.
Масс-спектры соединений 15, 16 менее информативны из-за отсутствия сигналов фрагментных ионов Ф3(6,7), которые по аналогии с соединениями 10, 11, 12 должны бы иметь место. По-видимому, фрагментация молекулярных ионов Ф(6, 7) при участии бензольного цикла в случае орто-расположенных метильной- и аминогрупп путем элиминирования метаниминильного радикала с возможным образованием соответствующих ионов метилциклопента[b]пиррилия не реализуется.
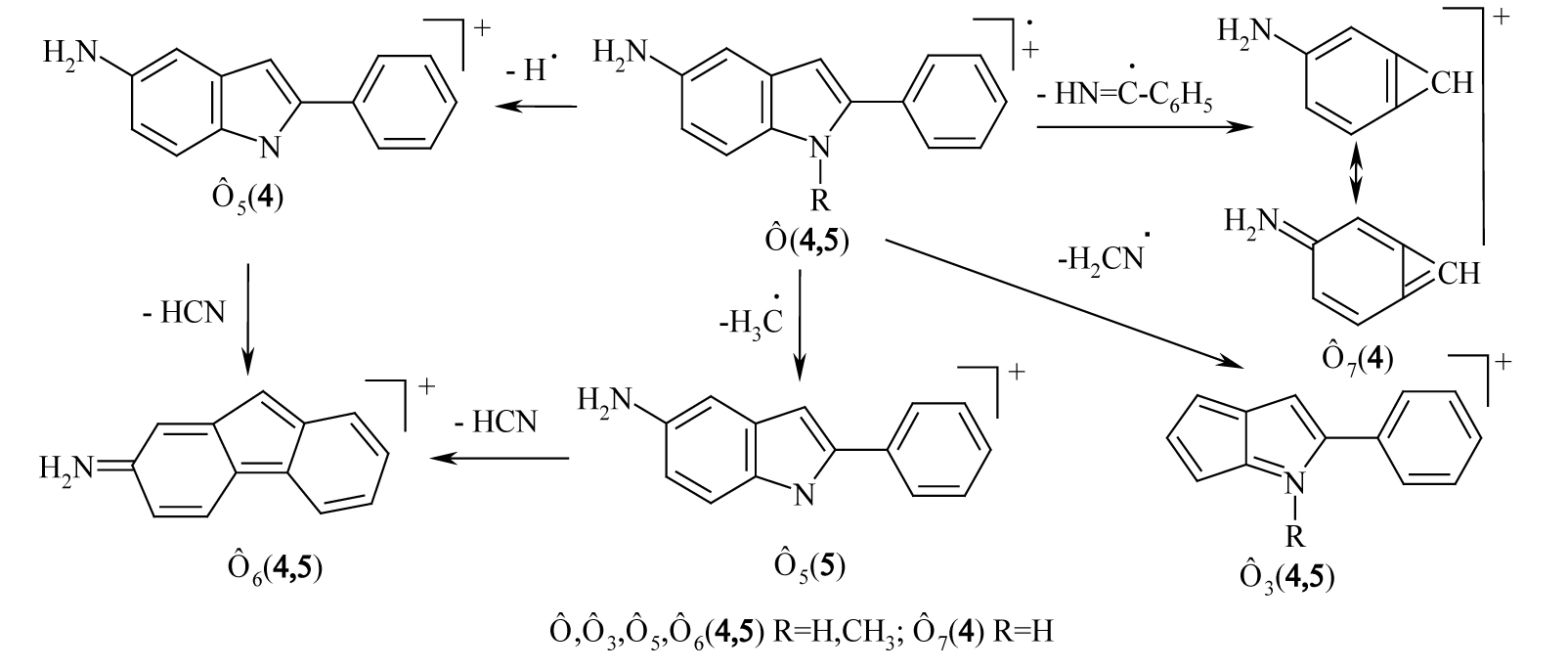
В масс-спектрах соединений 13, 14 храктеристическими являются сигналы молекулярных ионов Ф(4, 5) соединений 4, 5 с m/z 208(4), 222(5), фрагментных ионов Ф5 с m/z 207(4, 5), Ф6 с m/z 180(4, 5) и Ф7 с m/z 104(4). Наличие в спектре соли 13 сигнала фрагментного иона Ф7 с m/z 104 (аналогия с солью 12) свидетельствует о том, что в образовании ее молекулы принимает участие 2-фенил-1Н-индолиламин. Перегруппировочный ион Ф7 предположительно структуры бицикло[4.1.0]гепта-1,3,5-триенил-3-иламина, стабилизированный за счет наличия резонансной формы иона бицикло[4.1.0]гепта-1,4,6-триен-3-иминия, возникает за счет деструкции 2-фенилпиррольного кольца в молекулярном ионе Ф(4) путем элиминирования иминофенилметанильного радикала [HN = C-C6H5] (рис. 4).
Рис. 4. Схема распада ионов Ф(4, 5) в условиях электронной ионизации
Как уже отмечалось в случае соединения 3, такая фрагментация характерна для β-незамещенных индолов. Сигнал фрагментного иона Ф5 с m/z 207(4, 5) в масс-спектре как соединения 4, так и 5 следует объяснить элиминированием атома водорода от молекулярного иона Ф(4) и метильного радикала от – Ф(5). Наличие в масс-спектрах солей 13, 14 сигнала фрагментного иона Ф6(4, 5) с m/z 180 дает возможность судить о характерной для производных 2-фенил-1Н-индола перегруппировке иона Ф5 с потерей молекулы цианистого водорода [6], что подтверждают соединения 4, 5 как производные 2-фенил- и 1-метил-2-фенил-1Н-индолов. Сигналы фрагментных ионов Ф3(4, 5) с m/z 180(4), 194(5) в спектрах солей 13, 14 отвечают элиминированию от молекулярных ионов Ф(4, 5) частицы СН2N с массовым числом 28 и дают возможность свидетельствовать о том, что Ф(4, 5) являются молекулярными ионами 2-фенил- и 1-метил-2-фенил-1Н-индол-5-иламинов, а соединения 13, 14 их трифторацетатами.
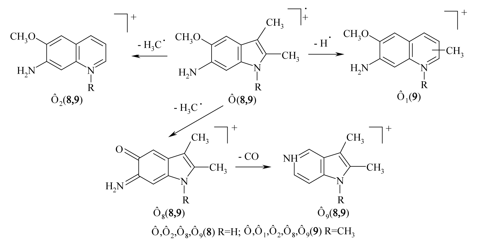
В масс-спектрах соединений 17, 18 наряду с сигналами молекулярных ионов Ф(8) с m/z 190, Ф(9) с m/z 204 с максимальной интенсивностью проявляются также высокоинтенсивные сигналы фрагментных ионов Ф2(8) с m/z 175, Ф2(9) с m/z 189, соответствующие по массовому числу элиминированию метильного радикала от молекулярных ионов. Это свидетельствует о том, что соединения 8, 9 являются 2,3-диметилированными индольными структурами (рис. 5).
Рис. 5. Схема распада ионов Ф(8, 9) в условиях электронной ионизации
Однако значительно более высокие значения относительных интенсивностей фрагментных ионов Ф2(8, 9) к молекулярному иону (в среднем ~85 %) по сравнению с относительными интенсивностями таких же ионов для выше рассмотренных полиметилированных индолов (в среднем ~38 %) дает возможность констатировать, что для молекулярных ионов Ф(8, 9) фрагментация с потерей метильного радикала протекает и по другому направлению. Об этом свидетельствует и наличие в их масс-спектрах сигналов фрагментных ионов Ф9(8) с m/z 147, Ф9(9) с m/z 161, предположительно представляющие структуры 2,3-диметил- и 1,2,3-триметил-1Н-пирроло[3,2-с]пиридин-6-иния, которые могут образоваться только перегруппировочным элиминированием молекулы оксида углерода от фрагментных ионов Ф8(8, 9). При этом по интенсивности сигналов ионов Ф9 (в среднем ~58%) можно судить о степени реализации этого направления распада. Такая фрагментация в условиях электронной ионизации характерна для соединений с орто-расположенными амино- и метоксильной группами в бензольном цикле [7]. Исходя из этого следует констатировать, что ионы Ф(8, 9) являются молекулярными ионами 2,3-диметил-5-метокси- и 1.2,3-триметил-5-метокси-1Н-индол-6-аминов 8, 9, а соединения 17, 18 их трифторацетатами.
ЗАКЛЮЧЕНИЕ
Таким образом, при идентификации 1Н-индол-5-,6-иламиния трифторацетатов с противомикробным действием возможно использование масс-спектрального метода, для проведения которого достаточно незначительного количества (2–3 мг) анализируемого вещества. Из картины масс-спектров солей 10–18 следует, что их высокотемпературная электронная ионизация протекает с образованием молекулярных ионов соответствующих органических оснований – 1Н-индол-5-,6-иламинов и фрагментных частиц распада трифторуксусной кислоты с m/z 69, 45, 28, что свидетельствует о солях – трифторацетатах. Также по характеристикам сигналов (m/z, Iотн.) фрагментных ионов в масс-спектрах и имеющимся литературным данным по масс-спектрометрии замещенных индолов, ароматических аминов, карбоновых кислот составлены и обсуждены обоснованные схемы распада молекулярных ионов органических оснований – 1Н-индолиламинов, в которых даны механизм образования, строение фрагментных ионов, возникающих в условиях электронной ионизации. Выявленные общие, а также индивидуальные для отдельных представителей с определенным характером и местом замещения в индольном бицикле закономерности поведения в условиях масс-спектральной съемки ионрадикалов 1Н-индолиламинов дают возможность судить об их строении, а, следовательно, в целом о строении замещенных 1Н-индол-5-, 6-иламиния трифторацетатов.
Об авторах
Ирина Семеновна Степаненко
Волгоградский государственный медицинский университет
Автор, ответственный за переписку.
Email: ymahkina@mail.ru
ORCID iD: 0000-0001-5793-438X
доктор медицинских наук, доцент, заведующий кафедрой микробиологии, вирусологии, иммунологии с курсом клинической микробиологии, главный внештатный специалист по медицинской микробиологии Комитета здравоохранения Волгоградской области
Россия, ВолгоградСемен Александрович Ямашкин
Мордовский государственный педагогический университет имени М. Е. Евсевьева
Email: yamashk@yandex.ru
ORCID iD: 0000-0001-8601-2640
профессор, доктор химических наук, профессор кафедры химии, технологии и методики обучения
Россия, СаранскЛюдмила Викторовна Михайлова
Волгоградский государственный медицинский университет
Email: L.V.Vasilenko@mail.ru
ORCID iD: 0009-0009-1432-048X
кандидат медициснких наук, доцент кафедры микробиологии, вирусологии, иммунологии с курсом клинической микробиологии
Россия, ВолгоградАнна Самовна Тимофеева
Волгоградский государственный медицинский университет
Email: annapitersen@mail.ru
ORCID iD: 0009-0009-7483-7245
кандидат медицинских наук, доцент кафедры микробиологии, вирусологии, иммунологии с курсом клинической микробиологии
Россия, ВолгоградАльберт Нуриевич Ахмедов
Волгоградский государственный медицинский университет
Email: ahmedovalbert@mail.ru
ORCID iD: 0009-0002-9768-8333
кандидат медицинских наук, доцент кафедры микробиологии, вирусологии, иммунологии с курсом клинической микробиологии
Россия, ВолгоградТатьяна Николаевна Платкова
Мордовский государственный университет имени Н. П. Огарева
Email: platkovatatjana@gmail.com
ORCID iD: 0000-0002-7925-127X
соискатель кафедры иммунологии, микробиологии и вирусологии медицинского института
Россия, СаранскСписок литературы
- Степаненко И.С., Ямашкин С.А., Батаршева А.А., Сластников Е.Д. Способ получения трифторацетатов замещенных 6-аминоиндолов, обладающих противомикробным действием. Патент. РФ № 2019125299. Патентообладатель ФГБОУ ВО «Национальный исследовательский Мордовский государственный университет им. Н. П. Огарева». 2020. Бюл. № 15.
- Ямашкин С.А., Степаненко И.С. Синтез и противомикробная активность N-(индол-5-ил)трифторацетамидов и трифторацетатов индол-5-иламиния, имеющих заместители в пиррольном цикле. Известия Академии наук. Серия химическая. 2022;5:1043–1049.
- Лебедев А.Т., Заикин В.Г. Масс-спектрометрия органических соединений в начале ХХI века. Журнал аналитической химии. 2008;63(12):1236–1264.
- Борисов Р.С., Закиров М.И., Овчаров М.В., Заикин В.Г. Исследование 1,1›-дизамещенных солей 4,4›-бипиридиния различными вариантами масс-спектрометрии. Масс-спектрометрия. 2013;10(1):19–24.
- Васильев Е.С., Волков Н.Д., Карпов Г.В. и др. Особенности масс-спектрометрического анализа токсичных хлоруксусных кислот и пиридина. Химическая безопасность. 2019;3(S):78–88.
- Хмельницкий Р.А. Масс-спектрометрия индольных соединений. Химия гетероциклических соединений. 1974;3:291–309.
- Лебедев А.Т. Масс-спектрометрия в органической химии. 2-е изд., перераб. и доп. М.: ТЕХНОСФЕРА. 2015. 704 с.
- Ильиных Е.С., Ким Д.Г. Масс-спектрометрия в органической химии: учебное пособие. Челябинск: Издательский центр ЮУрГУ. 2016. 63 с.
Дополнительные файлы






