Землетрясение 26 декабря 2023 года в Кировско-Кажимском авлакогене
- Авторы: Носкова Н.Н.1
-
Учреждения:
- Институт геологии имени академика Н. П. Юшкина Коми научного центра Уральского отделения Российской академии наук
- Выпуск: № 3 (2024): Науки о Земле
- Страницы: 98-105
- Раздел: Статьи
- URL: https://bakhtiniada.ru/1994-5655/article/view/260432
- DOI: https://doi.org/10.19110/1994-5655-2024-3-98-105
- ID: 260432
Цитировать
Полный текст
Аннотация
26 декабря 2023 г. зарегистрировано землетрясение в Зуевском районе Кировской области, в верхнем течении р. Чепца. Целью настоящей работы являются анализ сейсмических данных, полученных региональными сейсмостанциями, расчет основных параметров сейсмического события 26 декабря 2023 г. и определение сейсмотектонической позиции эпицентра. Сейсмическое событие зарегистрировали сейсмические станции республик Коми и Башкортостан, Пермского края, Архангельской, Кировской, Оренбургской, Самарской, Саратовской, Свердловской областей. В обработке события использовались волновые формы 24 станций с эпицентральными расстояниями от 81 до 1352 км, азимутальное окружение – 18–359.5°, GAP=80°.
В результате инструментальной обработки получены следующие параметры землетрясения 26 декабря: координаты 58.4843N, 50.794E, время в очаге t0=01:44:36 (UTC), глубина h=4 км, энергетический класс по Т. Г. Раутиан Kp=10.2/4, локальная магнитуда ML=3.6/5, Ms=2.7/5, эллипс ошибок: Azmajor=60°, Rminor=4.5 км, Rmajor=5.5 км. Оно является тектоническим и приурочено к Кировско-Кажимскому авлакогену Волго-Уральской антеклизы. Здесь известны ощутимые исторические землетрясения, а также периодически фиксируются инструментальные. Предыдущая активизация авлакогена происходила в 2020 г., также в центральном его фланге. Возникновение сейсмических событий свидетельствует, что он является сейсмически активной структурой.
Полный текст
Введение
Северо-восток Восточно-Европейской платформы (далее – ВЕП) относится к территориям со слабой и редкой сейсмичностью, тем не менее здесь периодически возникают землетрясения. Они происходят в основном в Кировской области и на юге Республики Коми. Данную площадь следует рассматривать как единую, поскольку административные границы условны, когда речь идет о сейсмичности. Причины в сейсмическом потенциале тектонические, а тектонические структуры могут занимать несколько административно-территориальных единиц. В тектоническом отношении Кировскую область и юг Республики Коми занимает единая структура – Кировско-Кажимский авлакоген, а также прилегающие к нему системы сводовых поднятий Волго-Уральской антеклизы Русской плиты. На данной территории возникают редкие и низкомагнитудные землетрясения. Возможная максимальная интенсивность сейсмических сотрясений в соответствии с картами ОСР-2016-А, В составляет 5 баллов, ОСР-2016-С – 6 баллов [1]. Платформенная сейсмичность представляет особый интерес, так как редкие проявления сейсмической активности делают каждое зарегистрированное землетрясение уникальным событием, которое детально изучается.
26 декабря 2023 г. произошло землетрясение в Кировской области (рис. 1). Его зарегистрировали сейсмические станции республик Коми и Башкортостан, Пермского края, Архангельской, Кировской, Оренбургской, Самарской, Саратовской, Свердловской областей. Цель настоящей работы – анализ сейсмических данных, полученных региональными сейсмостанциями, расчет основных параметров сейсмического события 26 декабря 2023 г. и определение сейсмотектонической позиции эпицентра. Определение сейсмического потенциала имеет научное и практическое значение. Исследования сейсмичности важны для решения задач сейсмического районирования ВЕП, оценки сейсмической опасности при строительстве и эксплуатации промышленных и гражданских объектов.
Рисунок 1. Эпицентр землетрясения 26 декабря 2023 г. (1) и конфигурация сейсмостанций, его зарегистрировавших (2)
Figure 1. Epicentre of the earthquake happened on December 26, 2023 (1) and configuration of seismic stations registered it (2)
Материалы и методы
Сейсмологический мониторинг Кировской области осуществляется сейсмической станцией «Киров» (KIRV) Службы спецконтроля Министерства обороны Российской Федерации, а также сейсмическими сетями соседних регионов – станциями Федерального исследовательского центра «Единая геофизическая служба РАН» (ФИЦ ЕГС РАН, г. Обнинск), Института геологии имени академика Н. П. Юшкина Коми НЦ УрО РАН (ИГ ФИЦ Коми НЦ УрО РАН, г. Сыктывкар), Горного института УрО РАН (ГИ УрО РАН, г. Пермь) и Архангельской сейсмической сети (ФИЦКИА УрО РАН).
На территории Республики Коми сейсмические наблюдения в 2023 г. проводились станциями ИГ ФИЦ Коми НЦ УрО РАН «Сыктывкар» (SYK) в г. Сыктывкаре, «Пожег» (PZG) в с. Пожег Усть-Куломского района и «Инта» в г. Инте. В конце года произошли изменения: 17 октября была открыта сейсмостанция «Воч» в с. Нижний Воч Усть-Куломского района, а 6 декабря закрыта станция «Пожег». Новая станция имеет следующие характеристики: код VOCH, координаты 61.2051N, 54.1615E, h=149 м, оборудование СМ-3КВ+UGRA.
Таким образом, в обработке сейсмического события 26 декабря 2023 г. использовались волновые формы (рис. 2) 24 станций: «Сыктывкар» (SYK), «Воч» (VOCH) ИГ ФИЦ Коми НЦ УрО РАН; «Верхнечусовские городки» (PR0R), «Добрянка» (PR2R), «Кунгур» (PR3R), «Власы» (PR41R), «Екимята» (PR6R), «Сараны» (PR7R) ГИ УрО РАН [2]; «Байтуган-1» (BT1), «Байтуган-2» (BT2), «Байтуган-3» (BT3) Отдела геоэкологии Оренбургского ФИЦ УрО РАН [3]; «Оренбург» (ORR) ФИЦ ЕГС РАН и Отдела геоэкологии Оренбургского ФИЦ УрО РАН; «Романово» (PR1R), «Североуральск» (SVUR), «Уфа» (BA1R), «Свердловск» (SVE), «Каменск-Уральский» (KAUR), «Катав-Ивановск» (KAIR) ФИЦ ЕГС РАН; «Лешуконское» (LSH), «Амдерма» (AMDE1) Архангельской сейсмической сети [4]; «Андозеро» (ADZ) ФИЦ ЕГС РАН и Архангельской сейсмической сети; «Киров» (KIRV), «Белогорное» (BELG) ФИЦ ЕГС РАН; «Арти» (ARTI) ФИЦ ЕГС РАН совместно с IMS CTBTO, доступ к которым осуществлялся через электронный ресурс корпорации EarthScope Consortium (США) [5]. Таким образом, эпицентральные расстояния составили от 81 (KIRV) до 1352 (AMDE1) км, азимутальное окружение – 18–359.5°, достаточно равномерное, максимальная азимутальная брешь GAP=80°. Конфигурация перечисленных сейсмостанций показана на рис. 1.
Рисунок 2. Фрагменты сейсмограмм вертикальной компоненты землетрясения 26 декабря 2023 г., расположенные по времени прихода первой фазы
Figure 2. Fragments of vertical component seismograms of the earthquake happened on December 26, 2023, arranged by the arrival time of the first phase
Определение параметров гипоцентра на сейсмических записях выполняли в программах WSG [6] методом минимизации невязок и NAS [7] методом Generalized beamforming. При этом применялась скоростная модель для ВЕП [8], дополненная глубокими слоями модели AK-135 [9]. Для вычисления значений локальной магнитуды ML (MWA) и магнитуды по поверхностным волнам (Ms) использовали реализованные в WSG способы расчета, основанные на осредненной по Северной Евразии калибровочной функции [10] и рекомендациях, указанных в работе И. П. Габсатаровой [11] соответственно. Для распознавания природы сейсмического события применяли программы В. Э. Асминга PSRatio и Spec [12].
Инструментальные параметры землетрясения 26 декабря 2023 года.
В результате инструментальной обработки получены следующие параметры землетрясения 26 декабря: координаты 58.4843N, 50.794E, время в очаге t0=01:44:36 (UTC), глубина h=4 км, энергетический класс по Т. Г. Раутиан Kp=10.2/4, локальная магнитуда ML=3.6/5, Ms=2.7/5, эллипс ошибок: Azmajor=60°, Rminor=4.5 км, Rmajor=5.5 км. В таблице представлен сейсмический бюллетень события. По нашим расчетам землетрясение произошло в верхнем течении р. Чепца, в границах Семушинского сельского поселения Зуевского района Кировской области. Ближайшие к эпицентру землетрясения населенные пункты: пос. Мотоус, дер. Целоус Зуевского района, пос. Семушино, д. Косинка, входящие в Семушинское сельское поселение Зуевского района Кировской области. В 3 км расположены железнодорожные станции Рехино и Береговой и железнодорожная линия Киров–Пермь.
Станционный бюллетень сейсмического события 26 декабря 2023 года
Station bulletin of the seismic event happened on December 26, 2023
Код станции | Время вступления сейсмических фаз, ч мин с | ∆, ° | AZM, ° | A, мкм | T, c | Магнитуда | |
P | S | ||||||
KIRV | 01:44:48.42 | 01:44:57.46 | 0.7 | 278.6 | |||
PR41R | 01:45:18.43 | 01:45:51.61 | 2.6 | 100.4 | |||
PR6R | 01:45:21.85 | 01:45:55.88 | 2.8 | 94.2 | 0.198 | 0.40 | ML=3.7 |
PR2R | 01:45:22.11 | 01:45:56.76 | 2.8 | 86.4 | 0.135 0.086 | 0.30 3.90 | ML=3.5 Ms=2.4 |
SYK0 | 01:45:26.93 | 01:46:04.62 | 3.2 | 359.5 | 0.115 0.142 | 0.30 3.26 | ML=3.6 Ms=2.8 |
PR1R | 01:45:26.97 | 01:46:04.76 | 3.2 | 74.7 | |||
VOCH | 01:45:27.71 | 01:46:05.67 | 3.2 | 30.5 | 0.102 0.063 | 0.28 3.12 | ML=3.5 Ms=2.4 |
PR0R | 01:45:29.33 | 01:46:09.25 | 3.4 | 92.2 | |||
PR3R | 01:45:30.92 | 01:46:11.79 | 3.5 | 104.8 | |||
PR7R | 01:45:39.87 | 01:46:28.34 | 4.2 | 85.7 | |||
BT2 | 01:45:42.04 | 01:46:32.23 | 4.3 | 167.7 | |||
BT3 | 01:45:42.59 | 01:46:33.08 | 4.4 | 167.0 | |||
BT1 | 01:45:43.89 | 01:46:35.23 | 4.5 | 168.2 | |||
ARTI | 01:45:45.74 | 01:46:38.31 | 4.6 | 113.9 | 0.049 0.094 | 0.35 3.65 | ML=3.6 Ms=2.8 |
BA1R | 01:45:47.53 | 01:46:41.73 | 4.8 | 143.0 | |||
SVUR | 01:45:50.32 | 01:46:47.12 | 5.0 | 66.0 | |||
SVE | 01:47:00.52 | 5.5 | 103.2 | ||||
KAIR | 01:45:59.98 | 01:47:03.57 | 5.7 | 129.9 | |||
KAUR | 01:46:05.58 | 01:47:14.24 | 6.1 | 105.0 | |||
BELG | 01:47:19.84 | 6.4 | 197.8 | ||||
LSH | 01:46:16.06 | 01:47:31.20 | 6.9 | 341.6 | |||
ORR | 01:46:20.96 | 01:47:40.79 | 7.2 | 160.0 | |||
ADZ | 01:46:32.94 | 01:48:01.55 | 8.1 | 317.4 | |||
AMDE1 | 01:47:26.31 | 01:49:36.62 | 12.2 | 18.1 | 0.067 | 7.44 | Ms=3.1 |
Эпицентр события по данным ГИ УрО РАН [13] расположен в 12 км севернее нашего и имеет близкие параметры: t0=01:44:34, 58.578N, 50.770E, ML=3.3. Кроме того, в бюллетене норвежского сейсмологического центра NORSAR (Норвегия) зафиксировано решение, рассчитанное по записям станций FINESS Array, Hagfors Array и NORESS Array. Согласно бюллетеню [14], землетрясение произошло в Вологодской области, его параметры: t0=01:45:35.0, 59.74N, 42.34E, М=2.4/3. Расхождение в определении положения эпицентра составило более 500 км.
Тектоническое происхождение землетрясения не вызывает сомнений, так как на рассматриваемой территории, которая, как уже отмечалось, относится к слабосейсмичной, регулярно происходят землетрясения, в том числе известны исторические. Тем не менее с целью накопления статистики для последующих исследований различий тектонических и техногенных событий на записях сейсмических станций «Киров», «Екимята», «Воч» и «Арти» применили некоторые критерии идентификации взрывов и землетрясений, разработанные в Кольском филиале ФИЦ ЕГС РАН к.ф.-м.н. В. Э. Асмингом [12] для определения природы сейсмического события. Оценивались приведенные ниже параметры.
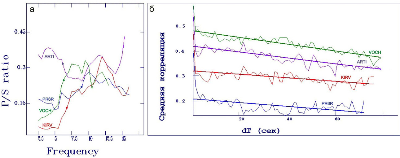
Отношение амплитуд объемных волн P и S. Рассчитанное в программе PSRatio (рис. 3, а) отношение P/S свидетельствует о тектонической природе. Низкие значения (меньше 0.3) служат аргументом в пользу того, что сейсмическое событие является землетрясением.
Рисунок 3. Отношение амплитуд P/S (а) и средняя корреляция спектра во времени (б) сейсмического события 26 декабря 2023 г. для станций KIRV, PR6R, VOCH, ARTI
Figure 3. P/S amplitude ratio (a) and mean spectrum correlation in time (б) of the seismic event happened on December 26, 2023 for stations KIRV, PR6R, VOCH, ARTI
Спектральные свойства события. Построенные в программе Spec диаграммы (рис. 3, б), характеризующие изменения спектра во времени, также свидетельствуют о природном происхождении сейсмического события (значения параметра a ниже 0.5). Спектральные диаграммы (сонограммы) станций ARTI, KIRV, PR6R, VOCH события 26 декабря 2023 г. (рис. 4) указывают на то, что оно является землетрясением. Спектральная плотность взрывов меняется во времени медленнее, чем для землетрясений, что выражается в «полосах» на сейсмограммах [12]. В нашем случае этого не наблюдается, частотный состав изменчив во времени.
Рисунок 4. Сонограммы события 26 декабря 2023 г. станций KIRV, PR6R, VOCH, ARTI
Figure 4. Sonograms of the event happened on December 26, 2023 for stations KIRV, PR6R, VOCH, ARTI
Форма сейсмических сигналов. Волновая картина события 26 декабря 2023 г. (рис. 2) – более сильные и высокоамплитудные S-волны по сравнению с Р-волной, характерна для тектонических землетрясений и также говорит о природном происхождении.
Изучение горнодобывающей активности в регионе. В данном районе Кировской области, согласно Геоинформационной системе Кировской области [15], добыча полезных ископаемых не производится, отсутствуют действующие промышленные карьеры и предприятия. За время инструментальных наблюдений техногенные сейсмические события в Зуевском районе не зафиксированы.
Время в очаге (04:44 по местному времени) также указывает на вероятный естественный процесс возникновения события.
Таким образом, все рассмотренные параметры свидетельствуют о природном происхождении сейсмического события 26 декабря 2023 г. и нами оно классифицируется как «тектоническое землетрясение».
Результаты и их обсуждение
В тектоническом плане землетрясение 26 декабря 2023 г. относится к Кировско-Кажимскому авлакогену Волго-Уральской антеклизы, который является сейсмоактивной структурой. На рис. 5 вынесены исторические и инструментальные эпицентры землетрясений на северо-востоке Русской плиты, в пределах Кировско-Кажимского авлакогена и прилегающих к нему Котельнич-Сысольской и Северо-Татарско-Коми-Пермяцкой систем сводовых поднятий Волго-Уральской антеклизы. За инструментальный период сильных событий в рассматриваемом районе отмечено не было, значения локальной магнитуды (ML) составили от 2.1 до 3.9.
Рисунок 5. Фрагмент схемы тектонического районирования территории Российской Федерации и прилегающих акваторий, масштаб 1 : 2 500 000 [16, 17]: 1 – эпицентры землетрясений: а – исторические, б – инструментальные; 2 – разломы кристаллического фундамента; 3 – континентальные рифты, авлакогены; 4 – надвиги. Римскими цифрами обозначены названия структур: I – Кировско-Кажимский авлакоген, II – Коми-Пермяцкий свод, III – Северо-Татарский свод, IV – Котельничский свод, V – Сысольский свод, VI – Московская синеклиза, VII – Среднерусский авлакоген, VIII – Мезенская синеклиза, IX – Вычегодский прогиб, X - Тиманское поднятие
Figure 5. Fragment of the tectonic zoning scheme of the territory of the Russian Federation and adjacent water areas, scale 1 : 2 500 000 [16, 17]: 1 – epicentres of earthquakes: a – historical, б – instrumental; 2 – crystalline basement faults, 3 – continental rifts, aulacogens, 4 – thrust faults. Roman numerals denote the names of structures: I – Kirov-Kazhim aulacogen, II – Komi-Permyak vault, III – North-Tatar vault, IV – Kotelnichy vault, V – Sysola vault, VI – Moscow syneclise, VII - Middle Russian aulacogen, VIII – Mezen syneclise, IX - Vychegda trough, X - Timan uplift
Эпицентры распределены неравномерно, наибольшее количество событий локализуется в центральной части авлакогена. Особенно заметные землетрясения на данной площади – 6-балльное Вятское 1897 г. [18] и 5-балльное Верхошижемское 2000 г. [19]. Землетрясение 1897 г. – одно из сильнейших исторических землетрясений севера ВЕП, оно ощущалось по всей центральной части Вятской губернии и представительно обеспечено макросейсмическими сведениями в местных газетах 1897 г. Кроме того, вблизи эпицентральной области землетрясения 26 декабря 2023 г. известны ощутимые исторические землетрясения Вятского края 1795 и 1908 гг., информация о которых содержится в изданиях того времени [20–22].
Последняя активизация авлакогена происходила в 2020 г. [23] также в его центральном фланге и в пределах восточного борта. Землетрясение 26 декабря 2023 г. приурочено к восточному борту авлакогена. Землетрясения в основном происходят на бортах авлакогена и, вероятно, приурочены к разломам, контролирующим наиболее погруженный центральный грабен авлакогена. Глубина гипоцентра 26 декабря 2023 г. соответствует залеганию поверхности фундамента. В целом для Кировско-Кажимского авлакогена характерны преимущественно мелкофокусные очаги с глубинами до 10 км.
Выводы
Землетрясение 26 декабря 2023 г., ML=3.6, по нашим расчетам произошло в Зуевском районе Кировской области. Оно является тектоническим, верхнекоровым и приурочено к восточному борту Кировско-Кажимского авлакогена Волго-Уральской антеклизы. Вблизи эпицентральной области события известны ощутимые исторические землетрясения, а также зафиксированы инструментальные с ML=2.6–3.4. Предыдущая активизация авлакогена происходила в 2020 г. также в центральном его фланге. Возникновение сейсмических событий свидетельствует, что Кировско-Кажимский авлакоген является тектонически подвижной структурой. Землетрясения в основном происходят в бортах авлакогена и, вероятно, приурочены к разломам северо-восточного простирания, контролирующим наиболее погруженный центральный грабен авлакогена. Полученные результаты могут использоваться для оценки сейсмической опасности территории северо-востока Восточно-Европейской платформы.
Автор заявляет об отсутствии конфликта интересов.
Об авторах
Наталия Николаевна Носкова
Институт геологии имени академика Н. П. Юшкина Коми научного центра Уральского отделения Российской академии наук
Автор, ответственный за переписку.
Email: noskova@geo.komisc.ru
ORCID iD: 0000-0001-8590-011X
кандидат геолого-минералогических наук, старший научный сотрудник
Россия, СыктывкарСписок литературы
- Общее сейсмическое районирование территории Российской Федерации ОСР-2015. Приложение А // СП 14.13330.2018. Строительство в сейсмических районах. – Москва : Стандартинформ, 2018. – С. 59–99.
- Верхоланцев, Ф. Г. Сейсмичность Урала и Западной Сибири в 2018–2019 гг. / Ф. Г. Верхоланцев, И. В. Голубева, Р. А. Дягилев, Т. В. Злобина // Землетрясения Северной Евразии. – 2023. – Вып. 26 (2018–2019 гг.). – C. 225–238. – DOI: https://doi.org/10.35540/1818-6254.2023.26.19.
- Нестеренко, М. Ю. Автоматизированная распределенная ГИС система мониторинга и оценки риска функционирования природно-техногенных объектов нефтегазовой промышленности / М. Ю. Нестеренко, М. С. Карпюк, В. В. Влацкий // Российскому научному обществу анализа риска 15 лет: основные итоги и перспективы деятельности: сб. – Москва, 2018. – С. 347–352.
- Arkhangelsk Seismic Network. – URL: https://doi.org/10.7914/SN/AH (дата обращения: 15.01.2024).
- EarthScope Data Center (IRISDMC). (2023). NSF SAGE Facility. Global Seismograph Network – IRIS/IDA. International Federation of Digital Seismograph Networks. URL: https://doi.org/10.7914/SN/II (дата обращения: 11.01.2024).
- Красилов, С. А. Организация процесса обработки цифровых сейсмических данных с использованием программного комплекса WSG / С. А. Красилов, М. В. Коломиец, А. П. Акимов // Современные методы обработки и интерпретации сейсмологических данных: Материалы международной сейсмологической школы, посвященной 100-летию открытия сейсмических станций «Пулково» и «Екатеринбург». – Обнинск : ГС РАН, 2006. – С. 77–83.
- Фёдоров, А. В. Система автоматического мониторинга сейсмичности Европейской Арктики / А. В. Фёдоров, В. Э. Асминг, З. А. Евтюгина, А. В. Прокудина // Сейсмические приборы. – 2018. – Т. 54, № 1. – С. 29–39. – doi: 10.21455/si2018.1-3.
- Schueller, W. Crustal and uppermost mantle velocity structure of northern Eurasia along the profile Quartz / W. Schueller, I. B. Morozov, S. B. Smithson // Bulletin of the Seismological Society of America. – 1997. – № 87. – P. 414–426.
- Kennett, B. L. N. Constraints on seismic velocities in the Earth from travel times / B. L. N. Kennett, E. R. Engdahl, R. Buland // Geophysical Journal International. – 1995. – № 122. – P. 108–124.
- Габсатарова, И. П. Внедрение в рутинную практику подразделений Геофизической службы РАН процедуры вычисления локальной магнитуды / И. П. Габсатарова // Современные методы обработки и интерпретации сейсмологических данных. – Обнинск : ГС РАН, 2006. – С. 49–53.
- Габсатарова, И. П. Определение магнитуды MLV по поверхностным волнам региональных событий Кольского полуострова / И. П. Габсатарова // Современные методы обработки и интерпретации сейсмологических данных. Материалы Шестой Международной сейсмологической школы. – Обнинск : ГС РАН, 2011. – С. 107–113.
- Годзиковская, А. А. Ретроспективный анализ первичных материалов о сейсмических событиях, зарегистрированных на Кольском полуострове и прилегающих территориях в XX веке / А. А. Годзиковская, В. Э. Асминг, Ю. А. Виноградов. – Москва : Ваш полиграфический партнер, 2010. – 130 с.
- Сейсмологический мониторинг Западного Урала. – URL: http://pts.mi-perm.ru/mlp/?page_id=718&pic=regst (дата обращения: 15.01.2024).
- NORSAR (1971). NORSAR Seismic Bulletins, https://doi.org/10.21348/b.0001 (дата обращения: 11.01.2024).
- Геоинформационная система Кировской области. – URL: https://gis.geokirov.ru/ (дата обращения: 15.01.2024).
- Схема тектонического районирования территории Российской Федерации и прилегающих акваторий. Масштаб 1 : 2 500 000. Всероссийский научно-исследовательский институт им. А. П. Карпинского (ФГБУ «ВСЕГЕИ»). – URL: https://karpinskyinstitute.ru/ru/info/webmapget/index.php (дата обращения: 17.04.2024).
- Петров, О. В. Тектоническая карта Российской Федерации и прилегающих акваторий масштаба 1 : 2 500 000: принципы создания, содержание, предварительные результаты / О. В. Петров, Г. А. Бабин, А. И. Ханчук, С. Д. Соколов // Петрология и рудоносность магматических формаций. Материалы научной конференции, посвященной памяти член-корреспондента АН СССР и РАН Г. В. Полякова и профессора А. Г. Владимирова. – Новосибирск, 2022. – С. 153–155.
- Носкова, Н. Н. Макросейсмическое поле Вятского землетрясения 13 августа 1897 г. / Н. Н. Носкова, Ф. Г. Верхоланцев, Р. А. Дягилев // Современные методы обработки и интерпретации сейсмологических данных. Материалы XVII Международной сейсмологической школы / отв. ред. А. А. Маловичко. – Обнинск : ФИЦ ЕГС РАН, 2023. – С. 87.
- Габсатарова, И. П. Верхошижемское землетрясение 18 января 2000 года с MPSP=4.0, КР=11.2, I0=5 (Кировская область) / И. П. Габсатарова, Л. С. Чепкунас // Землетрясения Северной Евразии в 2000 году. – Обнинск : ГС РАН, 2006. – С. 230–235.
- Столетие Вятской губернии, 1780–1880. Т. 1 Вятский губернский статистический комитет, 1880. Национальная библиотека Удмуртской республики. – URL: https://elibrary.unatlib.ru/handle/123456789/7647 (дата обращения: 11.01.2024).
- Хроника. Землетрясение // Вятская речь. – 15 марта 1908 г. – № 23. – С. 3.
- Памятная книжка Вятской губернии и календарь на 1909 г. (Год ХХХ-й). Издание губернского статистического комитета. – Вятка : Губернская типография, 1909.
- Носкова, Н. Н. Землетрясение 16 сентября 2020 г. в Кировско-Кажимском авлакогене / Н. Н. Носкова // Вопросы инженерной сейсмологии. – 2020. – Т. 47, № 4. – С. 92–100. – https://doi.org/10.21455/VIS2020.4-6.
Дополнительные файлы






