Study of electric consumption of individual housing construction facilities of different stories and area
- Authors: Akhmetshin A.R.1,2
-
Affiliations:
- Kazan State Power Engineering University
- Roselectromontazh Association
- Issue: Vol 31, No 4 (2023)
- Pages: 34-48
- Section: Energy and Electrical Engineering
- URL: https://bakhtiniada.ru/1991-8542/article/view/254538
- DOI: https://doi.org/10.14498/tech.2023.4.3
- ID: 254538
Cite item
Full Text
Abstract
In the Russian Federation, the construction of individual housing construction projects is being carried out at an increasing pace, for the construction of electrical networks for which there are no regulatory documents with an adequate methodology for calculating electrical loads. This situation led to low load on power grid equipment, and accordingly, investments became non-refundable. Sustainable development of private and industrial construction of individual housing projects is possible only with the development of regulatory technical documents that meet modern trends. To accomplish this task, research work was carried out to develop regulatory documents used in the design of electrical networks in cottage villages, taking into account the different number of floors and area of individual housing construction projects. Using the example of two cottage villages in Kazan, based on the parameter of daily and monthly electricity consumption, it was possible to obtain a sample whose data obeys the law of normal distribution. The analysis of sample sets of cottages in the villages shows that according to the power consumption parameter they can be grouped depending on the number of floors and area of the houses. The results obtained make it possible to formulate a future methodology for calculating electrical loads with amendments to the Federal Code of Rules.
Full Text
Введение
В Российской Федерации нарастающими темпами осуществляется строительство объектов индивидуального жилищного строительства (ОИЖС) благодаря реализации указов президента, федеральных проектов с одновременным выполнением проекта развития индивидуального жилищного строительства. На сегодняшний день ежегодно возводятся 350–450 тысяч ОИЖС средней площадью 130–140 м2. Доля ОИЖС в общем объеме ввода жилья выросла с 43 % (2018) до 56 % (2022) (рис. 1). Стратегия развития строительной отрасли включает в себя комплекс мер, направленных на развитие индустриального строительства ОИЖС.
Рис. 1. Ввод объектов индивидуального жилищного строительства в Российской Федерации с 2018 до 2022 гг.
Одной из проблем развития индустриального строительства является отсутствие адекватной нормативно-технической базы по проектированию электрических сетей. Устойчивое развитие строительства индивидуальных и индустриальных ОИЖС возможно только при разработке современных нормативных технических документов по расчету электрических нагрузок.
Выполнению разработки нормативных технических документов способствует цифровая трансформация в электроэнергетике, в частности внедрение интеллектуальных приборов учета электроэнергии (ИПУЭЭ) [1–4]. Внедрение ИПУЭЭ позволяет выполнять мониторинг фактических электрических нагрузок в течение нескольких лет [5–13] с последующим проведением расчетов по прогнозированию электрических нагрузок [14–17].
Научно-исследовательская работа, выполненная ассоциацией «Росэлектромонтаж» совместно с АО «Сетевая компания», выявила низкую загрузку электросетевого оборудования (менее 20 %) в поселках городских и сельских агломераций [3]. Построенные электрические сети и трансформаторные подстанции 10/0,4 кВ по факту оказываются недогруженными [5–9, 18], тем самым инвестиционные ресурсы сетевых компаний используются неэффективно, а центры питания, построенные и реконструированные для нужд технологического присоединения, не обеспечены заявленной потребителями мощностью.
Разработка нормативных технических документов, основанных на фактических замерах, обеспечит выбор силовых трансформаторов с оптимальным коэффициентом загрузки и приведет к минимизации потерь электроэнергии [19–22], а также позволит выбрать генерирующее оборудование (возобновляемые источники энергии, газотурбинные и газопоршневые станции), обеспечивающее необходимые выходные параметры с высоким КПД [23] для энергоснабжения изолированных и дальних районов. Затраты при строительстве электрических сетей уменьшатся за счет сокращения количества и мощности силовых трансформаторов, длины и сечения кабельных линий [5–12].
Важно отметить, что стоимость технологического присоединения к электрическим сетям возросла в соответствии с Федеральным законом от 16.02.2022 № 12-ФЗ «О внесении изменения в статью 23.2 Федерального закона «Об электроэнергетике». Например, в Самарской области вместо 550 руб. стоимость технологического присоединения составит 63 840 руб. за 15 кВт (4 256 руб. за 1 кВт) при условии, что расстояние от энергопринимающих устройств до существующих объектов электросетевого хозяйства сетевых организаций составляет не более 200 м в городах и поселках городского типа и не более 300 м в сельской местности. Стоимость подключения зависит от региона (рис. 2).
Рис. 2. Стоимость технологического присоединения к электрическим сетям в разных регионах страны
Ассоциация «Росэлектромонтаж» разработала дорожную карту, позволяющую существенно снизить стоимость строительства электрических сетей для ОИЖС. Она включает в себя актуализацию нормативных электрических нагрузок ОИЖС и разработку новой методики по выбору электросетевого оборудования.
Статистическая обработка по значениям среднемесячного электропотребления за период наблюдений
В качестве исследуемой выборки были рассмотрены два коттеджных поселка г. Казани. Исследование данной выборки проводилось по величине расхода электроэнергии ОИЖС. Величина расхода электроэнергии определялась по суточным профилям активной мощности с шагом в 30 минут. Для проведения статистической обработки использовались суточные профили активной мощности коттеджных поселков № 1 (71 коттеджа) и № 2 (62 коттеджей). Период наблюдений для поселка № 1 – с 1 октября 2021 г. по 20 февраля 2022 г., для поселка № 2 – с 1 февраля по 5 марта 2022 г.
По профилям активной мощности было определено среднемесячное электропотребление коттеджей. В результате статистической обработки электропотребления были получены основные показатели выборок (табл. 1).
Таблица 1
Основные статистические показатели среднемесячного электропотребления выборок ОИЖС рассматриваемых поселков
Объем выборки, шт. | Среднемесячное электропотребление, кВт∙ч | Среднеквадратическое отклонение, кВт∙ч | Медиана, кВт∙ч | Минимальное значение, кВт∙ч | Максимальное значение, кВт∙ч |
Поселок № 1 | |||||
71 | 505,43 | 481,88 | 364,68 | 100,66 | 2725,53 |
Поселок № 2 | |||||
62 | 508,98 | 380,13 | 366,24 | 57,78 | 1686,6 |
Как видно из табл. 1, среднемесячное электропотребление ОИЖС составляет в среднем 507 кВтч/месяц. Максимальное значение электропотребления (2725 и 1686,6 кВт∙ч) может свидетельствовать о наличии электрических обогревательных приборов, а минимальное значение (57,78 и 100,66 кВт∙ч), в свою очередь, о том, что в домах не живут постоянно. Поскольку возможны случаи, что в течение месяца ОИЖС не эксплуатируются, в дальнейшем будет использоваться суточное электропотребление.
Статистическая обработка по значениям суточного электропотребления за сутки с максимальной нагрузкой
Построение гистограмм распределения электропотребления позволит визуально оценить его характер, что даст возможность сделать вывод о существовании обособленных, имеющих статистически значимые различия групп внутри выборочной совокупности ОИЖС.
Для построения гистограмм распределения электропотребления были определены сутки с максимальным электропотреблением в течение всего периода наблюдений.
Для оценки численных значений возможных выбросов была построена ящичная диаграмма электропотребления выборок ОИЖС за день с максимальным электропотреблением 19 декабря 2021 г. (поселок № 1) и 2 февраля 2022 г. (поселок № 2).
Из выборки коттеджей поселка № 1 были исключены выбросы значениями выше 25,6 кВт∙ч/сутки (12 объектов), из выборки коттеджей поселка № 2 – выбросы значениями выше 28,0 кВт∙ч/сутки (10 объектов) для выполнения закона нормального распределения [24, 25]. В результате исключения выбросов из исследуемых выборочных совокупностей коттеджей поселков № 1 и № 2 для 83 % объектов (поселок № 1 – 59 коттеджей, поселок № 2 – 52 коттеджа) выборок поселков был выявлен признак зависимости по электропотреблению. Остальные 17 % объектов не укладываются в статистические закономерности, причем исключительно со стороны максимальных значений выборки.
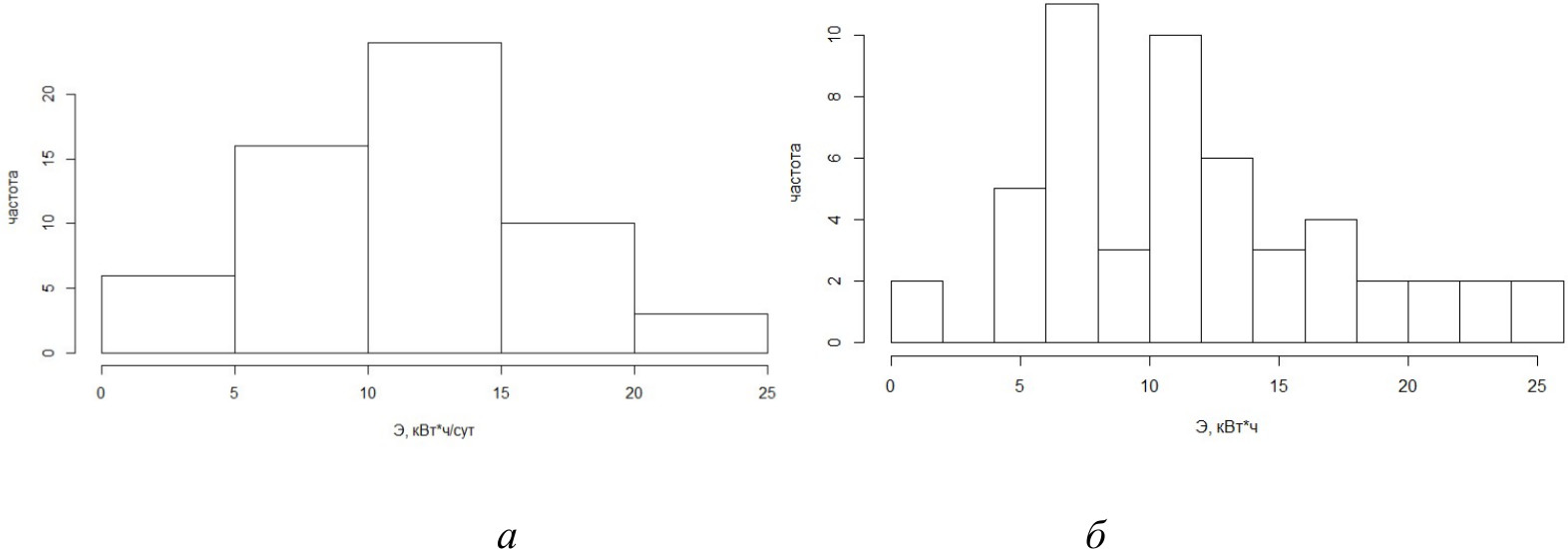
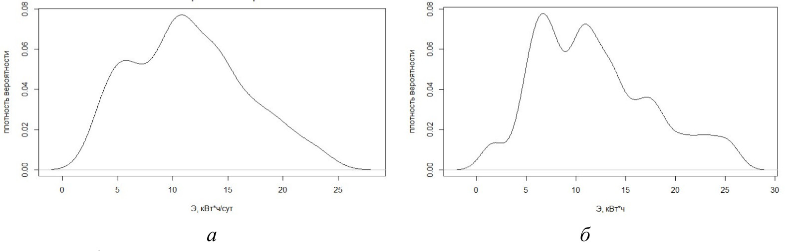
На рис. 3 и рис. 4 приведены гистограмма распределения электропотребления и плотность распределения вероятности, полученная методом «ядерного сглаживания», график квантиль-квантиль.
Рис. 3. Гистограмма распределения выборочной совокупности после отбраковки выбросов: а – поселок № 1; б – поселок № 2
Рис. 4. Плотность распределения вероятности, полученная методом «ядерного сглаживания» после отбраковки выбросов: а – поселок № 1; б – поселок № 2
Анализ графиков позволяет выдвинуть гипотезу о нормальности распределения данных выборок. Данная гипотеза была проверена расчетными тестами.
Наличие «горбов» (см. рис. 4) на графиках плотности распределения вероятности, полученной методом «ядерного сглаживания», позволяет выдвинуть гипотезу о наличии внутри пилотных выборок ОИЖС нескольких обособленных групп.
Выделение групп в совокупности ОИЖС
Исследования проводились на основании данных коттеджных поселков № 1 и № 2. Объем выборочной совокупности поселка № 1 составил 67 объектов, поселка № 2 – 61 объект (из исходной пилотной выборки были исключены объекты в связи с отсутствием данных: количество этажей и площадь).
Данные по площади и количеству этажей ОИЖС коттеджных поселков были получены с официального сайта Федеральной службы государственной регистрации, кадастра и картографии (Росреестр) [26].
Выборки формировались по значениям суточного (за сутки с максимальной нагрузкой) и среднемесячного (за период наблюдений) электропотребления.
Деление ОИЖС на группы по количеству этажей
Выборочные совокупности суточного и среднемесячного электропотребления ОИЖС поселков № 1 и № 2 были разделены на группы в зависимости от количества этажей ОИЖС.
Поселок № 1:
– 1-я группа – одноэтажные коттеджи (13 объектов);
– 2-я группа – двухэтажные коттеджи (49 объектов).
Поселок № 2:
– 1-я группа – одноэтажные коттеджи (12 объектов);
– 2-я группа – двухэтажные коттеджи (44 объекта).
Третья группа (3-этажные коттеджи) у обоих поселков была исключена из дальнейшего рассмотрения ввиду своей малочисленности.
Оценка статистической значимости разделения ОИЖС на группы по количеству этажей
Для проверки предположения о статистической значимости групп ОИЖС отобразим рассчитанные по выборкам групп статистические показатели на ящичной диаграмме. Данные для двух групп ОИЖС обоих поселков по значениям суточного электропотребления за сутки с максимальной нагрузкой и среднемесячного электропотребления за период наблюдений показаны на рис. 5 и рис. 6 соответственно. Для наглядности из групп ОИЖС были исключены грубые выбросы.
Признаком статистической значимости разницы средних в группах ОИЖС является условие, что «ящики» распределений не пересекаются. Как видно из диаграммы на рис. 5, «ящики» распределений 1-й и 2-й групп ОИЖС практически не пересекаются. Это позволяет выдвинуть гипотезу о том, что данные группы являются обособленными. По диаграмме на рис. 6 однозначного вывода сделать нельзя. Результаты проверки выборок двух групп поселков расчетными тестами по параметрам среднесуточного (за сутки с максимальной нагрузкой) и среднемесячного (за период наблюдений) электропотребления представлены в табл. 2.
Рис. 5. Ящичная диаграмма суточного электропотребления групп ОИЖС: а – поселок № 1; б – поселок № 2
Рис. 6. Ящичная диаграмма среднемесячного электропотребления групп ОИЖС: а – поселок № 1; б – поселок № 2
Таблица 2
Значение p-value для рассматриваемых поселков
Показатель | Название теста | |
Тест Уэлча | Тест Уилкоксона | |
Суточное электропотребление | Поселок № 1 | |
7,8·10-05<0,05 – разные группы | 0,001<0,05 – разные группы | |
Поселок № 2 | ||
0,049<0,05 – разные группы | 0,04<0,05 – разные группы | |
Среднемесячное электропотребление | Поселок № 1 | |
3,8·10-06<0,05 – разные группы | 0,0005<0,05 – разные группы | |
Поселок № 2 | ||
0,025<0,05 – разные группы | 0,008<0,05 – разные группы | |
Согласно проведенным тестам (см. табл. 2) отклоняем гипотезу о равенстве средних, т. е. различия значений суточного электропотребления по группам являются статистически значимыми. Значит, принятое разбиение ОИЖС на группы по количеству этажей корректно. На рис. 7 представлен диапазон изменения площади ОИЖС в зависимости от этажности.
Как видно из рис. 7, ОИЖС могут иметь разную этажность, но одинаковую площадь. В связи с этим было выполнено исследование на предмет группировки домов по площади.
Рис. 7. Диапазон изменения площади объектов индивидуального жилищного строительства в зависимости от этажности: а – поселок № 1; б – поселок № 2
Деление ОИЖС на группы по площади
Выборки ОИЖС поселков № 1 и № 2 были разделены на группы в зависимости от площади ОИЖС.
Ввиду своей малочисленности были исключены группы до 100 м2 и свыше 400 м2 для коттеджного поселка № 1 и группы до 100 м2 и свыше 300 м2 для коттеджного поселка № 2.
Для остальных групп была проведена статистическая обработка значений суточного и среднемесячного электропотребления.
Поселок № 1:
– 1-я группа – коттеджи площадью 100÷200 м2 (26 объектов);
– 2-я группа – коттеджи площадью 200÷300 м2 (18 объектов) ;
– 3-я группа – коттеджи площадью 300÷400 м2 (15 объектов).
Поселок № 2:
– 1-я группа – коттеджи площадью 100÷200 м2 (38 объектов);
– 2-я группа – коттеджи площадью 200÷300 м2 (14 объектов).
Оценка статистической значимости разделения ОИЖС на группы по площади
Для проверки предположения о статистической значимости полученных групп ОИЖС отобразим рассчитанные по выборкам групп статистические показатели на ящичной диаграмме. Данные для групп ОИЖС поселков по значениям суточного (за сутки с максимальной нагрузкой) и среднемесячного (за период наблюдений) электропотребления показаны на рис. 8 и рис. 9.
Рис. 8. Ящичная диаграмма суточного электропотребления групп ОИЖС: а – поселок № 1; б – поселок № 2
Рис. 9. Ящичная диаграмма среднемесячного электропотребления групп ОИЖС: а – поселок № 1; б – поселок № 2
Как видно из диаграмм на рис. 8 и рис. 9, «ящики» распределений 1-й и 2‑й групп поселков практически не пересекаются между собой. Это позволило выдвинуть гипотезу о том, что данные группы являются обособленными. «Ящик» 3-й группы поселка № 1 полностью совпадает с «ящиком» 2-й группы, поэтому объединяем их и получаем группу 2.
Проводим проверку групп 1 и 2 на равенство средних поселка № 1. Ящичная диаграмма суточного электропотребления групп 1 и 2 приведена на рис. 10.
Как видно из рис. 10, «ящики» распределений групп ОИЖС пересекаются. Результаты проверки выборок двух групп поселков расчетными тестами по параметрам среднесуточного и среднемесячного электропотребления представлены в табл. 3.
Рис. 10. Ящичная диаграмма суточного электропотребления групп ОИЖС поселка № 1
Таблица 3
Значение p-value для 1-й и 2-й групп коттеджных поселков
Показатель | Название теста | |
Тест Уэлча | Тест Уилкоксона | |
Суточное электропотребление | 1 и 2 | 1 и 2 |
Поселок № 1 | ||
0,015<0,05 – разные группы | 0,011<0,05 – разные группы | |
Поселок № 2 | ||
0,002<0,05 – разные группы | 0,0001<0,05 – разные группы | |
Среднемесячное электропотребление | 1 и 2 | 1 и 2 |
Поселок № 1 | ||
1,3е-04<0,05 – разные группы | 6e-11<0,05 – разные группы | |
Поселок № 2 | ||
0,030<0,05 – разные группы | 0,0008<0,05 – разные группы | |
Согласно проведенным тестам (см. табл. 3) отклоняем гипотезу о равенстве средних, т. е. различия значений суточного электропотребления по группам являются статистически значимыми. Следовательно, принятое разбиение ОИЖС на группы по площади корректно.
Заключение
Для разработки нормативных значений удельных нагрузок на один ОИЖС необходимо оперировать репрезентативными выборками. Результаты выполненных расчетов показали, что полученная информация в количественном отношении недостаточна. Связано это с большим разбросом значений электропотребления в отличие от аналогичных показателей для МКД.
По параметру суточного электропотребления удалось получить выборку, данные которой подчиняются закону нормального распределения, но при этом из пилотной выборки были удалены 17 % объектов, причем исключительно со стороны максимальных значений выборки.
Проведенный анализ выборочных совокупностей ОИЖС поселков № 1 и № 2 показывает, что по параметру электропотребления их можно группировать в зависимости от количества этажей и площади ОИЖС; соответственно, электрическая нагрузка поселка будет зависеть от этих параметров.
В зависимости от количества этажей ОИЖС можно разделять на группы по 1 и 2 этажам и площади до 200 м2 и свыше 200 м2. Также важно отметить, что ОИЖС площадью 200 и 300 м2 относятся к одной группе.
Полученные результаты позволят сформировать будущую методику расчета электрических нагрузок коттеджных поселков с внесением изменений в Федеральный свод правил, что, в свою очередь, приведет к экономическому эффекту за счет выбора силовых трансформаторов с оптимальной загрузкой и кабельно-проводниковой продукцией с оправданным сечением.
About the authors
Azat R. Akhmetshin
Kazan State Power Engineering University; Roselectromontazh Association
Author for correspondence.
Email: ahmetshin.ar@mail.ru
Ph.D. (Techn.), assistant professor
Russian Federation, 51, Krasnoselskaya st., Kazan, 420066; room 5, building 1, 3/10, Elektrichesky lane, Moscow, 123557References
- Soluyanov Yu.I., Fedotov A.I., Akhmetshin A.R. et al. Aktualizatsiya udel'nykh elektricheskikh nagruzok mnogokvartirnykh zhilykh domov Moskvy i Moskovskoy oblasti [Updating the specific electrical loads of apartment buildings in Moscow and the Moscow region] // Elektrichestvo. 2023. № 7. Pp. 52–65. (In Russian)
- Zhilkina Yu.V. Protsessy reformirovaniya elektroenergetiki v Rossii [Processes of reforming the elec-tric power industry in Russia] // Energetik. 2020. № 1. Pp. 29–32. (In Russian)
- Zhilkina Yu.V. Kontseptsii interneta veshchey kak sposob motivatsii k energosberezheniyu [Concepts of the Internet of Things as a way to motivate energy saving] // Elektricheskiye stantsii. 2020. № 2 (1063). Pp. 23–26. (In Russian)
- Mayorov A.V. Razvitiye sistemy operativno-tekhnologicheskogo upravleniya elektrosetevym kom-pleksom v ramkakh kontseptsii tsifrovoy transformatsii 2030 [Development of an operational and technological management system for the electric grid complex within the framework of the concept of digital transformation 2030] // Elektroenergiya. Peredacha i raspredeleniye. 2019. № S2 (13). Pp. 2–7. (In Russian)
- Soluyanov Yu.I., Fedotov A.I., Galitsky Yu.Ya. et al. Aktualizatsiya normativnykh znacheniy udel'noy elektricheskoy nagruzki mnogokvartirnykh domov v Respublike Tatarstan [Updating the standard val-ues of the specific electrical load of apartment buildings in the Republic of Tatarstan] // Elektrichestvo. 2021. № 6. Pp. 62–71. (In Russian)
- Soluyanov Yu.I., Fedotov A.I., Chernova N.V. et al. Analiz fakticheskikh elektricheskikh nagruzok ob"yektov individual'nogo zhilishchnogo stroitel'stva [Analysis of actual electrical loads of individual housing construction objects] // Elektroenergiya. Peredacha i raspredeleniye. 2021. № 5 (68). Pp. 60–65. (In Russian)
- Morsin I.A., Shvedov G.V. Formirovaniye elektricheskikh nagruzok na shinakh vvodnogo raspredeli-tel'nogo ustroystva sovremennykh mnogokvartirnykh domov [Formation of electrical loads on the buses of the input switchgear of modern apartment buildings] // Promyshlennaya energetika. 2023. № 7. Рp. 22–29. (In Russian)
- Solovyova A.S., Shvedov G.V. Sravnitel'nyy analiz zimnikh i letnikh grafikov elektricheskoy nagruzki rabochikh i vykhodnykh dney mnogokvartirnykh domov s elektroplitami v sistemakh elektrosnab-zheniya krupnykh gorodov [Comparative analysis of winter and summer schedules of electrical load on working days and weekends of apartment buildings with electric stoves in power supply systems of large cities] // Vestnik Yuzhno-Ural'skogo gosudarstvennogo universiteta. Seriya: Energetika. 2023. T. 23, № 1. Pр. 27–37. (In Russian)
- Morsin I.A., Shvedov G.V. Matematicheskaya model' elektricheskoy nagruzki vvodnogo raspredelitel'nogo ustroystva mnogokvartirnogo zhilogo doma [Mathematical model of the electrical load of the input switchgear of an apartment building] // Elektroenergiya. Peredacha i raspredeleniye. 2023. № 5 (80). Рp. 20–25. (In Russian)
- Nadtoka I.I., Pavlov A.V. Povysheniye tochnosti rascheta elektricheskikh nagruzok mnogokvartirnykh domov s elektroplitami [Increasing the accuracy of calculating electrical loads of apartment buildings with electric stoves] // Izvestiya vuzov. Severo-Kavkazskiy region. Tekhnicheskiye nauki. 2015. № 2. Рp. 45–48. (In Russian)
- Nadtoka I.I., Pavlov A.V. Raschety elektricheskikh nagruzok zhiloy chasti mnogokvartirnykh domov s elektricheskimi plitami, osnovannyye na srednikh nagruzkakh kvartir [Calculations of electrical loads of the residential part of apartment buildings with electric stoves, based on the average loads of apart-ments] // Izvestiya vuzov. Elektromekhanika. 2014. № 3. Рp. 36–39. (In Russian)
- Nadtoka I.I., Pavlov A.V., Novikov S.I. Problemy rascheta elektricheskikh nagruzok kommunal'nobytovykh potrebiteley mikrorayonov megapolisov [Problems of calculating electrical loads of munici-pal consumers in microdistricts of megacities] // Izvestiya vuzov. Elektromekhanika. 2013. № 1. Рp. 136–139. (In Russian)
- Tavarov S.Sh., Sidorov A.I., Suvorov I.F., Svyatikh A.B. Metod prognozirovaniya i raschota elektricheskoy nagruzki kommunal'no-bytovykh potrebiteley v usloviyakh neopredelonnosti [Method for fore-casting and calculating the electrical load of municipal consumers under conditions of uncertainty] // iPolytech Journal. 2023. T. 27, № 3. Pр. 565–573. (In Russian)
- Goldshtein V.G., Nurbosynov D.N., Tabachnikova T.V. Razrabotka matematicheskoy modeli elektrotekhnicheskogo kompleksa uzlovoy podstantsii [Development of a mathematical model of the electrical complex of a junction substation] // Vestnik Samarskogo gosudarstvennogo tekhnicheskogo universiteta. Seriya: Tekhnicheskiye nauki. 2018. № 1 (57). Рp. 83–91. (In Russian)
- Vedernikov A.S., Shipilov A.S., Yarygina E.A. Faktory, vliyayushchiye na prognozirovaniye elektropotrebleniya sistemy sobstvennykh nuzhd AES [Factors influencing the forecasting of power consump-tion of the NPP auxiliary system] // Vestnik Samarskogo gosudarstvennogo tekhnicheskogo universiteta. Seriya: Tekhnicheskiye nauki. 2023. T. 31. № 2 (78). Рp. 129–141. (In Russian)
- Gofman A.V., Vedernikov A.S., Shelushenina O.N. Primeneniye skol'zyashchego smeshcheniya sredney temperatury pri prognozirovanii elektropotrebleniya [Application of a sliding displacement of aver-age temperature in forecasting power consumption] // Vestnik Samarskogo gosudarstvennogo tekhnicheskogo universiteta. Seriya: Tekhnicheskiye nauki. 2012. № 1(33). Рp. 114–118. (In Rus-sian)
- Vedernikov A.S., Yarygina E.A. Razrabotka programmy dlya resheniya zadach kratkosrochnogo prognozirovaniya elektropotrebeleniya na osnove iskusstvennykh neyronnykh setey [Development of a program for solving problems of short-term forecasting of power consumption based on artificial neural networks] // Energetik. 2019. № 2. Pр. 32–35. (In Russian)
- Gracheva E.I., Naumov O.V., Fedotov E.A. Vliyaniye nagruzochnoy sposobnosti silovykh transformatorov na ikh ekspluatatsionnyye kharakteristiki [The influence of the load capacity of power transform-ers on their operational characteristics] // Izvestiya vysshikh uchebnykh zavedeniy. Problemy energetiki. 2017. T. 19. № 7–8. Рp. 71–77. (In Russian)
- Voropai N.I., Retans K., Hager U. et al. Razrabotka innovatsionnykh tekhnologiy i sredstv dlya otsenki i povysheniya gibkosti sovremennykh energosistem [Development of innovative technologies and tools for assessing and increasing the flexibility of modern energy systems] // Elektroenergiya. Peredacha i raspredeleniye. 2021. № 1 (64). Рp. 52–63. (In Russian)
- Loskutov A.B., Loskutov A.A., Zyrin D.V. Razrabotka i issledovaniye gibkoy intellektual'noy elektricheskoy seti srednego napryazheniya, osnovannoy na geksagonal'noy strukture [Development and re-search of a flexible intelligent medium voltage electrical network based on a hexagonal structure] // Trudy NGTU im. R.Ye. Alekseyeva. N. Novgorod, 2016. № 3 (114). Рp. 85–94. (In Russian)
- Loskutov A.B., Sosnina E.N., Loskutov A.A. et al. Intellektual'nyye raspredelitel'nyye seti 10–20 kV s geksagonal'noy konfiguratsiyey [Intelligent distribution networks 10–20 kV with a hexagonal config-uration] // Promyshlennaya energetika. 2013. № 12. Pр. 3–7. (In Russian)
- Voropai N.I., Stychinski Z.A., Kozlova E.V. et al. Optimizatsiya sutochnykh grafikov nagruzki aktivnykh potrebiteley. [Optimization of daily load schedules of active consumers] // Izvestiya Rossiyskoy akademii nauk. Energetika. 2014, № 1. Рp. 84–90. (In Russian)
- Ilyushin P.V. Osobennosti ucheta parametrov nagruzki pri analize perekhodnykh protsessov v setyakh s ob"yektami raspredelennoy generatsii [Features of taking into account load parameters when analyz-ing transient processes in networks with distributed generation facilities] // Elektroenergiya. Peredacha i raspredeleniye. 2018. № 6 (51). Рp. 54–61. (In Russian)
- Goreeva N.M., Demidova L.N. Statistika [Statistics] // M.: Prometey, 2019. 496 рp. (In Russian)
- James G., Witten D., Hatie T., Tibshirani R. An introduction to statistical learning with Applications in R 2nd ed. Cham: Springer. 2021. 612 pр.
- Federal’naya sluzhba gosudarstvennoy registratsii, kadastra i kartografii (Rosreyestr). URL: https://rosreestr.gov.ru/ (дата обращения: 22.11.2023).
Supplementary files












