Analytical solution of the boundary value problem of mathematical modeling for non-stationary oil flows through the trunk pipeline in the presence of internal pressure sources
- Authors: Afinogentov A.A.1, Tychinina Y.A.1
-
Affiliations:
- Samara State Technical University
- Issue: Vol 30, No 4 (2022)
- Pages: 6-19
- Section: Information Technology and Communications
- URL: https://bakhtiniada.ru/1991-8542/article/view/142706
- DOI: https://doi.org/10.14498/tech.2022.4.1
- ID: 142706
Cite item
Full Text
Abstract
The main oil pipeline, due to its spatial extent, can be considered as a control object with distributed parameters (ODP). The dependences on time and coordinates of the flow velocity and pressure in the pipeline are considered as controlled output values of the ODP. The boundary value problem of mathematical modeling of the process of pipeline transportation of oil in the standard form is presented in the form of a linear partial differential equation of the second order. The paper presents a solution to the boundary value problem of mathematical modeling of unsteady oil flow through a trunk pipeline in the presence of internal concentrated pressure sources in the form of functions describing the dependences on time and spatial coordinates of pressures and average cross-section pipeline oil flow rates. To represent the solution of the boundary value problem in the form of convolution integrals, Green's functions and standardizing functions are obtained, which makes it possible to use non-smooth (discontinuous) dependencies to describe programs for changing the values of internal concentrated pressure sources over time. The solutions obtained make it possible to use the methods of the theory of optimal control of systems with distributed parameters to solve the problems of optimal control of the process of pipeline transportation of oil.
Full Text
Введение
Магистральные трубопроводы (МТП), предназначенные для транспортировки нефти и нефтепродуктов, имеют большую протяженность, ввиду чего с позиции задачи управления их следует рассматривать как объекты с распределенными параметрами (ОРП) [1–4]. Для решения широкого круга прикладных задач оптимального управления системами с распределенными параметрами, таких как поиск оптимальных программ управления и синтез систем регулирования с обратной связью, востребованными остаются аналитические модели управляемых процессов [3–7]. Такие проблемно-ориентированные модели могут быть получены путем решения соответствующих краевых задач математической физики [8–11]. Проблемная ориентированность моделей для целей синтеза систем оптимального управления подразумевает применение специальных методов решения краевой задачи, в частности метода функций Грина [2, 9–11].
Движение условно несжимаемой нефти по трубопроводу постоянного диаметра описывается уравнениями математической физики гиперболического типа [8, 9]. В частности, в работах [1, 5] на основе системы одномерных уравнений нестационарного движения жидкости И.А. Чарного [12], широко используемой для описания гидродинамики магистральных нефтепроводов [13, 14], предложена краевая задача математического моделирования процесса трубопроводного транспорта нефти при наличии внутренних сосредоточенных источников давления и расхода. Численное решение задачи получено в работе [1], в работах [4, 5] с использованием метода функций Грина получено решение линеаризованной задачи для пространственно-временного распределения скорости потока при наличии в трубопроводе внутренних сосредоточенных источников давления. В то же время более востребованными для решения задач оптимального управления режимами работы магистральных нефтепроводов являются модели, описывающие пространственно-временное распределение внутренних давлений в трубопроводе [5, 12–14]. В статье будет представлено аналитическое решение описанной выше краевой задачи математического моделирования процесса трубопроводного транспорта нефти для пространственно-временного распределения давлений в МТП при наличии внутренних источников давления, сосредоточенных в некоторых точках расположения нефтеперекачивающих станций (НПС).
Краевая задача математического моделирования нестационарного течения нефти по магистральному трубопроводу при наличии внутренних источников давления
Взаимосвязь внутреннего избыточного давления P и средней по сечению скорости ω потока нефти плотностью ρ, движущейся по трубопроводу постоянного диаметра D и длиной L, в любой точке x, по направлению движения потока и в любой момент времени t, описывается согласно [1, 10–14] системой двух одномерных дифференциальных уравнений в частных производных:
, (1)
, (2)
где – угол наклона оси трубопровода к произвольной горизонтальной поверхности; – ускорение свободного падения; c – скорость распространения волн в жидкости, текущей в стальной трубе с толщиной стенки , определяется по формуле Жуковского [1, 12, 14].
Система уравнений (1), (2) дополняется начальными условиями
(3)
или соответствующими условиям (3) начальными условиями
, (4)
описывающими исходное стационарное состояние в трубопроводе, которое сохраняется до момента появления в некоторой внутренней точке с координатой источника давления, величина которого во времени меняется согласно зависимости . В (1) и (4) и – коэффициенты линеаризации. Тогда в уравнении (1) функция распределения по длине трубопровода внутренних источников давления, приложенных в точках расположения НПС, имеет вид
, (5)
где – функции Дирака; – индекс работающих НПС; – индекс работающих на каждой k-ой НПС насосных агрегатов.
Граничные условия краевой задачи формулируются с учетом допущения, что при наличии больших резервуаров в начале и конце МТП изменение уровней взлива и потерь давления в коммуникациях начального и конечного пунктов за время протекания нестационарных процессов будет несущественным по сравнению с давлениями в линейной части МТП. Тогда в качестве граничных можно принять условия
, (6)
или соответствующие условиям (6) граничные условия
, . (7)
Совместно уравнения (1), (2) с начальными условиями (3), (4) и граничными условиями (6), (7) составляют краевую задачу математического моделирования нестационарного течения нефти по магистральному трубопроводу при наличии внутренних источников давления с пространственно-временной функцией распределения в форме (5).
Схемы линеаризации уравнения (1) описаны в [10, 12] и основаны на замене произведения нелинейной функции гидравлических потерь и квадрата средней скорости потока в трубопроводе линейной зависимостью
, (8)
как показано на рис. 1.
Рис. 1. Схема выбора коэффициентов линеаризации уравнения (1)
Схема выбора коэффициентов линеаризации (см. рис. 1) содержит две точки пересечения прямой и исходной нелинейной зависимости , которая может быть построена по формулам гидравлических сопротивлений для зоны гидравлически гладких труб и зоны смешанного трения турбулентного режима течения [15], характерных для большинства режимов транспортировки нефти и нефтепродуктов.
Система уравнений (1), (2) приводится в работах [10, 11] к каноническому виду в форме
, (9)
где определяется как
. (10)
В качестве типовой программы пуска (останова) насосного агрегата может рассматриваться программа с постоянной скоростью роста () или снижения () перепада давления на насосе, приведенная в [5], функциональная зависимость от времени которой имеет вид
(11)
(12)
и приведена на рис. 2.
Рис. 2. Программа пуска и останова sk-го насосного агрегата k-й НПС
Стандартная форма, функция Грина и стандартизирующая функция краевой задачи математического моделирования нестационарного течения нефти по магистральному трубопроводу при наличии внутренних источников давления
Аналитическое решение задачи относительно скорости потока жидкости в трубопроводе получено в [11] с помощью метода функций Грина. Представим краевую задачу (9) относительно пространственно-временной функции распределения скоростей потока с начальными условиями (3), граничными условиями (7) и функцией распределения внутренних источников давления (10) в стандартной форме. Под стандартной формой будем понимать эквивалентную задаче (9), (3), (7), (10) краевую задачу с нулевыми начальными и однородными граничными условиями [2–4, 9]. Характеристикой краевой задачи в стандартной форме или ее импульсной переходной функцией будет являться функция Грина
, (13)
такая, что позволяет получить аналитическую зависимость для в виде интеграла
, (14)
где – стандартизирующая функция, позволяющая представить исходную краевую задачу (9), (3), (7), (10) с ненулевыми начальными и, в общем случае, неоднородными граничными условиями в виде эквивалентной краевой задачи с нулевыми начальными и однородными граничными условиями.
С учетом аналитического решения рассматриваемой краевой задачи относительно скорости потока жидкости в трубопроводе , полученной в [11], и правил, установленных в [2–4], получим следующие выражения для :
(15)
(16)
где – целое число, полученное округлением в меньшую сторону отношения . Выражение для стандартизирующей функции принимает вид
. (17)
Проинтегрировав в (14) по пространственной координате ξ, с учетом свойств δ-функции и линейности интеграла свертки получим выражение для в более простом виде:
. (18)
Аналитическое решение исходной краевой задачи относительно пространственно-временного распределения давлений можно получить в виде функции Грина путем подстановки (15) в уравнение (2) и последующего интегрирования результата подстановки
(19)
по схеме, приведенной далее, и составления новой стандартизирующей функции , удовлетворяющей начальным условиям (4) и граничным условиям (6).
Интегрирование по t правой части (19) сводится к получению двух интегралов:
, (20)
. (21)
Введем новые переменные интегрирования:
, (22)
. (23)
Тогда (20), (21) примут вид
, (24)
, (25)
Получение интеграла (24) не представляет особой сложности после раскрытия выражения для . Результат интегрирования (24) имеет вид
, (26)
. (27)
Для интегрирования (25) выделим интеграл:
, (28)
. (29)
Для получения решений в (28) выполним двойное интегрирование по частям и сведем интеграл к «самому себе». Для интегрирования по частям в (28) положим:
, (30)
, (31)
тогда после первого этапа интегрирования по частям получим:
(32)
Для повторного интегрирования по частям (32) положим вместо (31)
, (33)
тогда после второго этапа интегрирования по частям (32) примет вид
(34)
Как видно из выражения (34), интеграл свелся к «самому себе», и после незначительных преобразований получим
. (35)
Выражение для (21) примет вид
. (36)
После подстановки (22) и (27) в (26) получим:
. (37)
После подстановки (23) и (28) в (36) получим:
. (38)
Тогда результат интегрирования (19) окончательно примет вид:
(39)
Функция Грина (39) является решением задачи (1), (2) при нулевых начальных условиях, обращается в ноль при t=0, начальные условия являются статичными и не зависят от τ (следовательно, можно принять τ=0), тогда постоянные интегрирования и должны удовлетворять тождеству
(40)
Отсюда и определяются как
, . (41)
Соответствие граничных условий (7) условиям (6) и начальных условий (3) условиям (4) позволяет провести замену в (17) следующим выражением:
, (42)
после чего вместо стандартизирующей функции для граничных условий (7) и начальных условий (3) можно использовать функцию для граничных условий (6) и начальных условий (4) в форме
, (43)
а аналитическое решение краевой задачи (1), (2) относительно находится в виде интеграла:
. (44)
Проинтегрировав в (44) по пространственной координате ξ аналогично (18), получим решение для в виде
, (45)
где . (46)
Сравнительный анализ результатов аналитического и численного решения краевой задачи
Полученные интегральные формы (18) и (45) позволяют получить в аналитическом виде в любой момент времени функции распределения давлений и средних скоростей потока нефти по длине магистрального трубопровода при наличии внутренних источников давления, которые в достаточно полной мере описывают гидродинамику изотермических нефтепроводов. Методика численного решения в пакете MathCAD нелинейной краевой задачи математического моделирования гидродинамики магистрального нефтепровода представлена в работе [1].
В данном разделе приводится сравнение результатов аналитического решения в форме (18), (45) и численного решения по методике [1] линеаризованной краевой задачи (1) – (7) на примере технологического участка магистрального трубопровода, имеющего протяженность L = 200 км, внутренний диаметр D = 1200 мм. Транспортируемый продукт – нефть плотностью , вязкостью , для условий течения которой определены коэффициенты линеаризации , согласно схеме (см. рис. 1).
В начальный момент времени режим течения нефти в трубопроводе стационарный со средней по сечению скоростью потока , давления в начале и в конце трубопровода составляют соответственно , , профиль трассы ровный. В момент времени в точке расположения НПС км происходит пуск насосного агрегата по программе (11), (12) с параметрами и . Для расчетов учитывались первые 400 членов ряда в (15) и (40), при N*=1 численный расчет по методике [1] реализован на сетке размером 400×400.
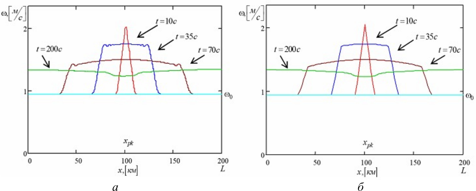
Результаты расчетов распределения по длине трубопровода средних по сечению скоростей потока представлены на рис. 3, распределения давлений – на рис. 4 для четырех моментов времени (10 с, 35 с, 70 с, 200 с).
Рис. 3. Распределение скорости потока по длине трубопровода в различные моменты времени: а – численное решение; б – аналитическое решение
Рис. 4. Распределение давления по длине трубопровода в различные моменты времени: а – численное решение; б – аналитическое решение
Сравнительный анализ результатов численного и аналитического решения линеаризованной краевой задачи (1) – (7) показывает:
– высокую степень совпадения результатов расчетов во временной области: характер распределения функций и в частности положение фронта волны давления (скорости потока), полученные как по численной, так и по аналитической модели, совпадают в моменты времени, отличные друг от друга менее чем на 1 %;
– высокую степень совпадения результатов расчетов по пространственной координате: абсолютные значения функций и , полученные как по численной, так и по аналитической модели и совпадающие по характеру в некоторые моменты времени, отличаются друг от друга менее чем на 1 %;
– зависимость точности совпадения результатов расчетов от количества узлов сетки численной модели (шага расчета по пространственной и временной координате) и количества членов ряда в (15) и (40). Указанная выше точность совпадения результатов расчетов достигается для следующих параметров численной и аналитической моделей: шаг сетки по пространственной координате численной модели , шаг сетки по временной координате численной модели , количество членов ряда в (15) и (40) .
Заключение
В работе представлено аналитическое решение краевой задачи математического моделирования нестационарного течения нефти по магистральному трубопроводу в виде функций, описывающих зависимости от времени и пространственной координаты давлений и средних по сечению трубопровода скоростей потока нефти, рассматриваемых в качестве управляемых величин объекта управления с распределенными параметрами, при наличии внутренних источников давления, сосредоточенных в точках расположения нефтеперекачивающих станций.
Получены функции Грина и стандартизирующие функции для представления решения краевой задачи в форме интегралов свертки, что позволяет использовать негладкие (разрывные) функции для описания программ изменения во времени внутренних сосредоточенных источников давления, рассматриваемых в качестве управляющих воздействий для объекта управления с распределенными параметрами.
Проведенный сравнительный анализ результатов численного и аналитического решений краевой задачи показал высокую степень совпадения результатов расчетов во временной и пространственной области. Позволил определить требования к параметрам численной и аналитической моделей, обеспечивающих высокую точность решения краевой задачи.
Полученные в работе аналитические зависимости от времени и пространственной координаты давлений и средних по сечению трубопровода скоростей потока нефти позволяют приступить к решению задач оптимального программного управления и задач синтеза замкнутых систем регулирования процесса транспортировки нефти по магистральному трубопроводу с использованием методов теории оптимального управления системами с распределенными параметрами.
About the authors
Alexander A. Afinogentov
Samara State Technical University
Email: Pondex@yandex.ru
ORCID iD: 0000-0003-3498-6587
SPIN-code: 9243-2840
Scopus Author ID: 56695164500
ResearcherId: N-4453-2014
Ph.D. (Techn.), Associate Professor
Russian Federation, 244, Molodogvardeyskaya st., Samara, 443100Yulia A. Tychinina
Samara State Technical University
Author for correspondence.
Email: ytychinina@list.ru
SPIN-code: 5315-1230
Ph.D. (Techn.), Associate Professor
Russian Federation, 244, Molodogvardeyskaya st., Samara, 443100References
- Afinogentov A.A., Pleshivceva Yu.E., Snopkov A.S. Matematicheskoe modelirovanie upravlyaemyh gidrodinamicheskih processov truboprovodnogo transporta zhidkih uglevodorodov // Vestn. Samar. gosud. tekhn. un-ta. Cer.: Tekhnicheskie nauki. 2010. № 7(28). P. 137–144.
- Butkovskij A.G. Harakteristiki sistem s raspredelennymi parametrami. M.: Nauka, 1979. 224 pp.
- Butkovskij A.G. Metody upravleniya sistemami s raspredelennymi parametrami. M.: Nauka, 1975. 568 pp.
- Rapoport E.Ya. Optimal'noe upravlenie sistemami s raspredelennymi parametrami. M.: Vyssh. shk., 2009. 677 pp.
- Afinogentov A.A., Pleshivtseva Yu.E., Efimov A.P. Optimal'noe po bystrodejstviyu upravlenie perekhodnymi rezhimami raboty magistral'nogo nefteprovoda // Vestn. Samar. gosud. tekhn. un-ta. Cer.: Tekhnicheskie nauki. 2011. № 3(31). P. 6–13.
- Rapoport E.Ya. Strukturnoe modelirovanie ob"ektov i sistem upravleniya s raspredelennymi parametrami. M.: Vyssh. shk., 2003. 300 pp.
- Rapoport E.Ya. Analiz i sintez sistem avtomaticheskogo upravleniya s raspredelennymi parametrami. M.: Vyssh. shk., 2005. 292 pp.
- Tihonov A.N., Samarskij A.A. Uravneniya matematicheskoj fiziki. M.: Nauka, 1966. 724 pp.
- Arsenin V.Ya. Metody matematicheskoj fiziki i special'nye funkcii. M.: Nauka, 1984. 384 pp.
- Afinogentov A.A., Tychinina Yu.A. Reshenie kraevoj zadachi matematicheskogo modelirovaniya processa truboprovodnogo transporta nefti metodom Fur'e // Vestn. Samar. gosud. tekhn. un-ta. Cer.: Tekhnicheskie nauki. 2013. № 2(38). P. 188–196.
- Afinogentov A.A., Tychinina Yu.A., Popov A.V. Reshenie kraevoj zadachi matematicheskogo modelirovaniya processa truboprovodnogo transporta nefti metodom funkcij Grina // Vestn. Samar. gosud. tekhn. un-ta. Cer.: Tekhnicheskie nauki. 2014. № 2(42). P. 164–173.
- Charnyj I.A. Neustanovivsheesya dvizhenie real'noj zhidkosti v trubah. M.: Nedra, 1975. 296 pp.
- Mirzadzhanzade A.H., Gallyamov A.K., Maron V.I., Yufin V.A. Gidrodinamika truboprovodnogo transporta nefti i nefteproduktov. M.: Nedra, 1984. 287 pp.
- Lur'e M.V. Matematicheskoe modelirovanie processov truboprovodnogo transporta nefti, nefte-produktov i gaza. M.: RGU nefti i gaza im. I.M. Gubkina, 2012. 456 pp.
- Idel'chik I.E. Spravochnik po gidravlicheskim soprotivleniyam. M.: Mashinostroenie, 1992. 672 pp.
Supplementary files






